Abibam® 500 mg Filmtabletten
Jede Filmtablette enthält 500 mg Abirateronacetat.
Sonstige Bestandteile mit bekannter Wirkung
Jede Filmtablette enthält 241 mg Lactose und 12 mg Natrium.
Vollständige Auflistung der sonstigen Bestandteile, siehe Abschnitt 6.1.
Filmtablette
Lila, ovale Filmtablette (circa 19 mm lang und 11 mm breit), geprägt mit „A7TN“ auf einer Seite und „500“ auf der anderen Seite.
Abibam ist indiziert mit Prednison oder Prednisolon:
zur Behandlung des neu diagnostizierten Hochrisiko-metastasierten hormonsensitiven Prostatakarzinoms (mHSPC) bei erwachsenen Männern in Kombination mit Androgenentzugstherapie (androgen deprivation therapy, ADT) (siehe Abschnitt 5.1).
zur Behandlung des metastasierten kastrationsresistenten Prostatakarzinoms (mCRPC) bei erwachsenen Männern mit asymptomatischem oder mild symptomatischem Verlauf der Erkrankung nach Versagen der Androgenentzugstherapie, bei denen eine Chemotherapie noch nicht klinisch indiziert ist (siehe Abschnitt 5.1).
zur Behandlung des mCRPC bei erwachsenen Männern, deren Erkrankung während oder nach einer Docetaxel-haltigen Chemotherapie progredient ist.
Dieses Arzneimittel sollte von einem Arzt, der Erfahrung mit der Behandlung eines metastasierten Prostatakarzinoms hat, verschrieben werden.
Dosierung
Die empfohlene Dosis beträgt 1.000 mg (zwei 500 mg Tabletten) als tägliche Einmalgabe, die nicht zusammen mit Nahrungsmitteln eingenommen werden darf (siehe „Art der Anwendung“ unten). Die Einnahme der Tabletten zusammen mit Nahrungsmitteln erhöht die systemische Exposition von Abirateron (siehe Abschnitte 4.5 und 5.2).
Dosierung von Prednison oder Prednisolon
Beim mHSPC wird Abibam mit 5 mg Prednison oder Prednisolon täglich angewendet. Beim mCRPC wird Abibam mit 10 mg Prednison oder Prednisolon täglich angewendet.
Eine medizinische Kastration mit einem luteinisierenden Hormon Releasing Hormon (LHRH)- Analogon soll während der Behandlung von Patienten, die nicht chirurgisch kastriert sind, fortgeführt werden.
Empfohlene Kontrollen
Serum-Transaminasen sollen vor Beginn der Behandlung, in den ersten drei Monaten der Behandlung alle zwei Wochen und anschließend einmal im Monat bestimmt werden. Blutdruck, Serum-Kalium und Flüssigkeitsretention sollen einmal im Monat kontrolliert werden. Patienten mit einem erheblichen Risiko für eine kongestive Herzinsuffizienz sollen in den ersten drei Monaten der Behandlung alle zwei Wochen und anschließend einmal im Monat kontrolliert werden (siehe Abschnitt 4.4).
Bei Patienten mit vorbestehender Hypokaliämie oder bei Patienten, die während der Behandlung mit Abibam eine Hypokaliämie entwickeln, ist ein Beibehalten des Kalium-Spiegels der Patienten von ≥ 4,0 mmol/l zu berücksichtigen.
Falls Patienten Toxizitäten im Schweregrad ≥ 3, einschließlich Hypertonie, Hypokaliämie, Ödeme und andere nicht mineralkortikoid-bedingte Toxizitäten, entwickeln, soll die Behandlung unterbrochen werden und eine entsprechende medizinische Versorgung eingeleitet werden. Die Behandlung mit Abibam soll nicht fortgesetzt werden, bis die Symptome der Toxizität auf Schweregrad 1 oder auf den Ausgangswert zurückgegangen sind.
Im Falle einer versäumten Tagesdosis von Abibam, Prednison oder Prednisolon soll die Behandlung am folgenden Tag mit der üblichen Tagesdosierung fortgeführt werden.
Hepatotoxizität
Falls Patienten während der Behandlung eine Hepatotoxizität entwickeln (Anstieg der Alaninaminotransferase [ALT] oder der Aspartataminotransferase [AST] über das 5-Fache der oberen Grenze des Normbereichs [upper limit of normal, ULN]), soll die Behandlung unverzüglich unterbrochen werden (siehe Abschnitt 4.4). Nach Rückgang der Leberwerte auf die Ausgangswerte des Patienten kann eine erneute Behandlung mit einer reduzierten Dosis von 500 mg (eine Tablette) einmal täglich erfolgen. Bei Patienten, die erneut behandelt werden, sollen die Serum-Transaminasen über drei Monate mindestens alle zwei Wochen und anschließend einmal monatlich überwacht werden. Tritt die Hepatotoxizität unter reduzierter Dosis von 500 mg täglich erneut auf, muss die Behandlung abgebrochen werden.
Wenn Patienten zu irgendeinem Zeitpunkt während der Behandlung eine schwere Hepatotoxizität entwickeln (ALT oder AST 20‑fach über der ULN), muss die Behandlung abgebrochen und diese Patienten dürfen nicht erneut behandelt werden.
Leberfunktionsstörung
Bei Patienten mit vorbestehender leichter Leberfunktionsstörung, Child-Pugh Klasse A, ist keine Dosisanpassung erforderlich.
Eine mäßige Leberfunktionsstörung (Child-Pugh Klasse B) erhöht die systemische Exposition von Abirateron nach einer oralen Einmaldosis von 1.000 mg Abirateronacetat um das ungefähr 4-Fache (siehe Abschnitt 5.2). Es liegen keine Daten zur klinischen Sicherheit und Wirksamkeit von multiplen Abirateronacetat-Dosen bei Patienten mit mäßiger bis schwerer Leberfunktionsstörung (Child-Pugh Klasse B oder C) vor. Es kann keine Empfehlung zur Dosisanpassung gegeben werden. Die Anwendung von Abibam soll bei Patienten mit mäßiger Leberfunktionsstörung, bei denen ein Nutzen deutlich das potenzielle Risiko überwiegt, mit Vorsicht bewertet werden (siehe Abschnitte 4.2 und 5.2). Abibam soll bei Patienten mit schwerer Leberfunktionsstörung nicht angewendet werden (siehe Abschnitte 4.3, 4.4 und 5.2).
Nierenfunktionsstörung
Bei Patienten mit Nierenfunktionsstörung ist keine Dosisanpassung erforderlich (siehe Abschnitt 5.2). Da jedoch bei Patienten mit Prostatakarzinom und schwerer Nierenfunktionsstörung keine klinischen Erfahrungen vorliegen, ist bei diesen Patienten Vorsicht geboten (siehe Abschnitt 4.4).
Kinder und Jugendliche
Es gibt keinen relevanten Nutzen von Abibam bei Kindern und Jugendlichen.
Art der Anwendung
Abibam ist zum Einnehmen.
Die Tabletten sollen mindestens eine Stunde vor oder frühestens zwei Stunden nach dem Essen eingenommen werden. Sie sollen unzerteilt mit Wasser geschluckt werden.
Überempfindlichkeit gegen den Wirkstoff oder einen der in Abschnitt 6.1 genannten sonstigen Bestandteile.
Frauen, die schwanger sind oder schwanger sein könnten (siehe Abschnitt 4.6).
schwere Leberfunktionsstörung [Child-Pugh Klasse C (siehe Abschnitte 4.2, 4.4 und 5.2)].
Abibam mit Prednison oder Prednisolon ist in der Kombination mit Ra-223 kontraindiziert.
Hypertonie, Hypokaliämie, Flüssigkeitsretention und Herzinsuffizienz infolge eines Mineralkortikoid- Überschusses
Abibam kann aufgrund der erhöhten Mineralkortikoid-Spiegel infolge der CYP17-Inhibition (siehe Abschnitt 5.1) Hypertonie, Hypokaliämie und Flüssigkeitsretention hervorrufen (siehe Abschnitt 4.8). Die gleichzeitige Gabe eines Kortikosteroids supprimiert die Ausschüttung des adrenokortikotropen Hormons (ACTH), wodurch die Inzidenz und die Schwere dieser Nebenwirkungen verringert werden. Vorsicht ist bei der Behandlung von Patienten geboten, deren Grunderkrankungen durch einen Blutdruckanstieg, Hypokaliämie (z. B. Patienten unter Herzglykosiden), oder Flüssigkeitsretention (z. B. Patienten mit Herzinsuffizienz, schwerer oder instabiler Angina pectoris, kürzlich aufgetretenem Myokardinfarkt oder ventrikulärer Arrhythmie beeinträchtigt werden könnten, sowie bei Patienten mit schwerer Nierenfunktionsstörung).
Bei Patienten mit einer kardiovaskulären Erkrankung in der Anamnese soll Abibam mit Vorsicht angewendet werden. Patienten mit unkontrollierter Hypertonie, klinisch signifikanter Herzerkrankung nachgewiesen durch Myokardinfarkt, arterielle thrombotische Ereignisse in den letzten 6 Monaten, schwere oder instabile Angina, Herzinsuffizienz der New York Heart Association (NYHA)-Klasse III oder IV (Studie 301) oder Herzinsuffizienz der Klasse II bis IV (Studien 3011 und 302) oder mit einer kardialen Ejektionsfraktion von
< 50% waren von der Phase-III-Studie mit Abibam ausgeschlossen. Patienten mit Vorhofflimmern oder anderen kardialen Arrhythmien, die eine medizinische Therapie benötigen, waren von den Studien 3011 und 302 ausgeschlossen. Die Sicherheit bei Patienten mit einer linksventrikulären Ejektionsfraktion (LVEF) von < 50% oder einer Herzinsuffizienz der NYHA- Klasse III oder IV (Studie 301) oder einer Herzinsuffizienz der NYHA-Klasse II bis IV (Studien 3011 und 302) wurde nicht nachgewiesen (siehe Abschnitte 4.8 und 5.1).
Vor Beginn der Behandlung von Patienten mit einem erheblichen Risiko für eine kongestive Herzinsuffizienz (z. B. Herzinsuffizienz, unkontrollierte Hypertonie oder kardiale Ereignisse wie ischämische Herzerkrankung in der Anamnese) ist eine Kontrolle der Herzfunktion (z. B. Echokardiogramm) in Betracht zu ziehen. Vor Beginn der Behandlung mit Abibam soll eine Herzinsuffizienz behandelt und die Herzfunktion optimiert werden. Hypertonie, Hypokaliämie, und Flüssigkeitsretention sollen korrigiert und kontrolliert werden. Während der Behandlung sollen Blutdruck, Serum-Kalium, Flüssigkeitsretention (Gewichtszunahme, periphere Ödeme) und andere Anzeichen und Symptome für eine Herzinsuffizienz über drei Monate alle zwei Wochen und anschließend einmal im Monat kontrolliert und Anomalien korrigiert werden. Eine QT-Verlängerung wurde bei Patienten beobachtet, die eine Hypokaliämie im Zusammenhang mit einer Abibam- Behandlung entwickelten. Die Herzfunktion ist nach klinischer Indikation zu kontrollieren, eine entsprechende Versorgung ist einzuleiten und ein Abbruch dieser Behandlung ist in Betracht zu ziehen, wenn eine klinisch signifikante Verminderung der Herzfunktion auftritt (siehe Abschnitt 4.2).
Hepatotoxizität und Leberfunktionsstörung
In kontrollierten klinischen Studien traten deutlich erhöhte Leberwerte auf, die zum Absetzen der Behandlung oder einer Dosismodifikation führten (siehe Abschnitt 4.8). Serum-Transaminasenspiegel sollen vor Beginn der Behandlung, in den ersten drei Monaten der Behandlung alle zwei Wochen und anschließend einmal im Monat bestimmt werden. Wenn klinische Symptome oder Anzeichen auftreten, die auf eine Hepatotoxizität hindeuten, sollen Serum-Transaminasen umgehend bestimmt werden. Wenn es zu irgendeinem Zeitpunkt zu einem Anstieg von ALT oder AST über das 5-Fache der ULN kommt, soll die Behandlung unverzüglich unterbrochen und die Leberfunktion engmaschig überwacht werden. Eine erneute Behandlung kann erst nach Rückgang der Leberwerte auf die Ausgangswerte des Patienten und mit einer reduzierten Dosierung durchgeführt werden (siehe Abschnitt 4.2).
Wenn Patienten zu irgendeinem Zeitpunkt während der Behandlung eine schwere Hepatotoxizität entwickeln (ALT oder AST 20‑fach über der ULN), muss die Behandlung abgebrochen und die Patienten dürfen nicht erneut behandelt werden.
Patienten mit einer aktiven oder symptomatischen viralen Hepatitis wurden von klinischen Studien ausgeschlossen. Daher liegen keine Daten vor, die die Anwendung von Abibam in dieser Population stützen.
Es liegen keine Daten zur klinischen Sicherheit und Wirksamkeit von multiplen Abirateronacetat- Dosen bei Patienten mit mäßiger bis schwerer Leberfunktionsstörung (Child-Pugh Klasse B oder C) vor. Die Anwendung von Abibam soll bei Patienten mit mäßiger Leberfunktionsstörung, bei denen ein Nutzen deutlich das potenzielle Risiko überwiegt, sorgfältig überprüft werden (siehe Abschnitte 4.2 und 5.2). Abibam soll bei Patienten mit schwerer Leberfunktionsstörung nicht angewendet werden (siehe Abschnitte 4.2, 4.3 und 5.2).
Nach Markteinführung liegen seltene Berichte über akutes Leberversagen und fulminante Hepatitis vor, einige mit tödlichem Ausgang (siehe Abschnitt 4.8).
Absetzen von Kortikosteroiden und Absicherung von Stresssituationen
Vorsicht ist geboten und eine Überwachung auf eine Insuffizienz der Nebennierenrinde soll erfolgen, wenn Patienten die Behandlung mit Prednison oder Prednisolon absetzen. Wenn die Behandlung mit Abibam nach Absetzen der Kortikosteroide fortgeführt wird, sollen die Patienten auf Symptome eines Überschusses an Mineralkortikoiden überwacht werden (siehe Informationen oben).
Bei Patienten unter Prednison oder Prednisolon, die ungewohntem Stress ausgesetzt sind, kann eine erhöhte Dosis von Kortikosteroiden vor, während und nach der Stresssituation indiziert sein.
Knochendichte
Bei Männern mit metastasiertem fortgeschrittenem Prostatakarzinom kann eine verminderte Knochendichte auftreten. Die Anwendung von Abibam zusammen mit einem Glucokortikoid könnte diesen Effekt verstärken.
Vorangegangene Therapie mit Ketoconazol
Bei Patienten, die zuvor wegen eines Prostatakarzinoms mit Ketoconazol behandelt wurden, könnten geringere Response-Raten auftreten.
Hyperglykämie
Die Anwendung von Glucokortikoiden kann eine Hyperglykämie verstärken. Daher soll der Blutzucker-Wert bei Patienten mit Diabetes häufig gemessen werden.
Hypoglykämie
Es wurden Fälle von Hypoglykämie berichtet, wenn Abibam mit Prednison/Prednisolon von Patienten angewendet wurde, die bei einem vorbestehenden Diabetes Pioglitazon oder Repaglinid erhielten (siehe Abschnitt 4.5). Daher soll der Blutzucker-Wert bei Patienten mit Diabetes beobachtet werden.
Anwendung zusammen mit Chemotherapie
Die Sicherheit und Wirksamkeit von Abibam bei gleichzeitiger Anwendung mit einer zytotoxischen Chemotherapie ist nicht erwiesen (siehe Abschnitt 5.1).
Potenzielle Risiken
Bei Männern mit metastasiertem Prostatakarzinom, einschließlich derer unter Behandlung mit Abibam, können Anämien und sexuelle Funktionsstörungen auftreten.
Einfluss auf die Skelettmuskulatur
Es wurden Fälle von Myopathie und von Rhabdomyolyse bei mit Abibam behandelten Patienten berichtet. Die meisten Fälle traten innerhalb der ersten 6 Monate der Behandlung auf und waren nach Absetzen von Abibam reversibel. Vorsicht ist geboten bei Patienten, die gleichzeitig mit Arzneimitteln behandelt werden, die mit der Entstehung von Myopathie/Rhabdomyolyse assoziiert sind.
Wechselwirkungen mit anderen Arzneimitteln
Starke CYP3A4-Induktoren sollen aufgrund des Risikos einer verringerten Exposition von Abirateron während der Behandlung vermieden werden, es sei denn, es gibt keine therapeutische Alternative (siehe Abschnitt 4.5).
Kombination von Abirateron und Prednison/Prednisolon mit Ra-223
Die Behandlung mit Abirateron und Prednison/Prednisolon in der Kombination mit Ra-223 ist kontraindiziert (siehe Abschnitt 4.3). Grund hierfür ist ein erhöhtes Frakturrisiko und ein Trend zu einer erhöhten Mortalität bei Patienten mit asymptomatischem oder mild symptomatischem Prostatakarzinom, wie in klinischen Studien beobachtet wurde.
Es wird empfohlen, eine nachfolgende Behandlung mit Ra-223 nicht vor Ablauf von 5 Tagen nach Einnahme der letzten Dosis Abibam in Kombination mit Prednison/Prednisolon zu beginnen.
Sonstige Bestandteile
Dieses Arzneimittel enthält Lactose. Patienten mit der seltenen hereditären Galactose-Intoleranz, völligem Lactase-Mangel oder Glucose-Galactose-Malabsorption sollten dieses Arzneimittel nicht einnehmen.
Dieses Arzneimittel enthält 24 mg Natrium pro Tagesdosis von 2 Tabletten, entsprechend 1% der von der WHO für einen Erwachsenen empfohlenen maximalen täglichen Natriumaufnahme mit der Nahrung von 2 g.
Einfluss von Nahrungsmitteln auf Abirateronacetat
Die Anwendung zusammen mit Nahrungsmitteln erhöht die Resorption von Abirateronacetat erheblich. Die Wirksamkeit und Sicherheit bei Gabe zusammen mit Nahrungsmitteln wurde nicht nachgewiesen. Daher darf dieses Arzneimittel nicht zusammen mit Nahrungsmitteln eingenommen werden (siehe Abschnitte 4.2 und 5.2).
Wechselwirkungen mit anderen Arzneimitteln
Potentieller Einfluss von anderen Arzneimitteln auf die Exposition von Abirateron
In einer klinischen pharmakokinetischen Interaktionsstudie mit gesunden Probanden, die mit einem starken CYP3A4-Induktor Rifampicin 600 mg täglich über 6 Tage vorbehandelt wurden, gefolgt von einer Einzeldosis Abirateronacetat 1.000 mg, war die mittlere Plasma AUC∞ von Abirateron um 55% verringert.
Starke CYP3A4-Induktoren (z. B. Phenytoin, Carbamazepin, Rifampicin, Rifabutin, Rifapentin, Phenobarbital, Johanniskraut [Hypericum perforatum]) sollen während der Behandlung vermieden werden, es sei denn, es gibt keine therapeutische Alternative.
In einer separaten klinischen pharmakokinetischen Interaktionsstudie mit gesunden Probanden hatte die gleichzeitige Anwendung von Ketokonazol, einem starken CYP3A4-Inhibitor, keinen klinisch relevanten Einfluss auf die Pharmakokinetik von Abirateron.
Potentieller Einfluss auf die Exposition von anderen Arzneimitteln
Abirateron ist ein Inhibitor der Arzneimittel-metabolisierenden Leberenzyme CYP2D6 und CYP2C8.
In einer Studie, die die Wirkung von Abirateronacetat (plus Prednison) auf eine Einzeldosis des CYP2D6-Substrats Dextromethorphan untersuchte, war die systemische Exposition mit Dextromethorphan (AUC) um etwa 2,9‑fach erhöht. Die AUC24 für Dextrorphan, den aktiven Metaboliten von Dextromethorphan, stieg um ca. 33% an.
Vorsicht ist geboten bei Anwendung zusammen mit Arzneimitteln, die durch CYP2D6 aktiviert oder metabolisiert werden, insbesondere bei Arzneimitteln mit enger therapeutischer Breite. Bei Arzneimitteln mit enger therapeutischer Breite, die durch CYP2D6 metabolisiert werden, soll eine Reduzierung der Dosis in Betracht gezogen werden. Arzneimittel, die durch CYP2D6 metabolisiert werden, sind beispielsweise Metoprolol, Propranolol, Desipramin, Venlafaxin, Haloperidol, Risperidon, Propafenon, Flecainid, Codein, Oxycodon und Tramadol (die drei letzten Arzneimittel benötigen CYP2D6, um ihre aktiven analgetisch wirksamen Metaboliten zu bilden).
In einer CYP2C8-Arzneimittel-Interaktionsstudie mit gesunden Probanden war die AUC von Pioglitazon bei gleichzeitiger Gabe einer 1.000 mg Einzeldosis Abirateronacetat um 46% erhöht und die AUCs von M-III und M-IV, den aktiven Metaboliten von Pioglitazon, jeweils um 10% verringert. Patienten sollen auf Anzeichen einer Toxizität in Verbindung mit einem CYP2C8-Substrat mit enger therapeutischer Breite überwacht werden, wenn dieses gleichzeitig angewendet wird. Beispiele für Arzneimittel, die über CYP2C8 metabolisiert werden, sind u. a. Pioglitazon und Repaglinid (siehe Abschnitt 4.4).
In vitro zeigten die Hauptmetabolite Abirateron-Sulfat und N-Oxid-Abirateron-Sulfat eine Hemmung des hepatischen Aufnahmetransporters OATP1B1, was infolgedessen zu einem Anstieg der Konzentrationen von Arzneimitteln führen kann, die durch OATP1B1 eliminiert werden. Es liegen keine klinischen Daten vor, die eine Transporter-basierte Interaktion bestätigen.
Anwendung mit Arzneimitteln, die bekanntermaßen das QT-Intervall verlängern
Da eine Androgendeprivationstherapie das QT-Intervall verlängern kann, ist bei gleichzeitiger Anwendung von Abibam mit Arzneimitteln, die bekanntermaßen das QT-Intervall verlängern, oder mit Arzneimitteln, die Torsades de Pointes induzieren können, wie Antiarrhythmika der Klasse IA (z.B. Chinidin, Disopyramid) oder der Klasse III (z.B. Amiodaron, Sotalol, Dofetilid, Ibutilid), Methadon, Moxifloxacin, Antipsychotika etc., Vorsicht geboten.
Anwendung mit Spironolacton
Spironolacton bindet an den Androgenrezeptor und kann die Serumlevel des prostataspezifischen Antigens (PSA) erhöhen. Die gleichzeitige Anwendung mit Abibam wird nicht empfohlen (siehe Abschnitt 5.1).
Frauen im gebärfähigen Alter
Es liegen keine Daten zur Anwendung von Abibam in der Schwangerschaft beim Menschen vor. Dieses Arzneimittel ist nicht zur Anwendung bei Frauen im gebärfähigen Alter bestimmt.
Kontrazeption bei Männern und Frauen
Es ist nicht bekannt, ob Abirateron oder seine Metabolite im Sperma vorhanden sind. Ein Kondom ist erforderlich, wenn der Patient mit einer schwangeren Frau sexuell aktiv ist. Hat der Patient Geschlechtsverkehr mit einer Frau im gebärfähigen Alter, ist sowohl ein Kondom als auch eine andere zuverlässige Verhütungsmethode erforderlich. Tierexperimentelle Studien haben eine Reproduktionstoxizität gezeigt (siehe Abschnitt 5.3).
Schwangerschaft
Abibam ist nicht zur Anwendung bei Frauen bestimmt und ist kontraindiziert bei Frauen, die schwanger sind oder sein könnten (siehe Abschnitte 4.3 und 5.3).
Stillzeit
Abibam ist nicht zur Anwendung bei Frauen bestimmt.
Fertilität
Abirateron beeinträchtigte die Fertilität männlicher und weiblicher Ratten. Diese Effekte waren jedoch vollständig reversibel (siehe Abschnitt 5.3).
Abibam hat keinen oder einen zu vernachlässigenden Einfluss auf die Verkehrstüchtigkeit und die Fähigkeit zum Bedienen von Maschinen.
Zusammenfassung des Sicherheitsprofils
Die Analyse der Nebenwirkungen aus kombinierten Phase-III-Studien mit Abibam zeigte folgende Nebenwirkungen bei ≥ 10% der Patienten: periphere Ödeme, Hypokaliämie, Hypertonie, Harnwegsinfektion und Anstieg der Alaninaminotransferase (ALT) und/oder Anstieg der Aspartataminotransferase (AST).
Sonstige wichtige Nebenwirkungen schließen Herzerkrankungen, Hepatotoxizität, Frakturen und allergische Alveolitis ein.
Abibam kann als pharmakodynamische Folge seines Wirkmechanismus zu Hypertonie, Hypokaliämie und Flüssigkeitsretention führen. In Phase-III-Studien wurden die erwarteten mineralkortikoiden Nebenwirkungen häufiger bei Patienten beobachtet, die mit Abirateronacetat behandelt wurden, als bei Patienten der Placebo-Gruppe: Hypokaliämie bei 18% gegenüber 8%, Hypertonie bei 22% gegenüber 16% und Flüssigkeitsretention (periphere Ödeme) bei 23% gegenüber 17%. Bei mit Abirateronacetat behandelten Patienten gegenüber mit Placebo behandelten Patienten wurden bei 6% gegenüber 1% Hypokaliämie der CTCAE-Schweregrade 3 und 4 (Version 4.0), bei 7% gegenüber 5% Hypertonie der CTCAE-Schweregrade 3 und 4 (Version 4.0) sowie bei 1% gegenüber 1% Flüssigkeitsretention (periphere Ödeme) der Schweregrade 3 und 4 beobachtet. Mineralkortikoide Wirkungen konnten im Allgemeinen erfolgreich medizinisch behandelt werden. Die gleichzeitige Anwendung eines Kortikosteroids verringert die Inzidenz und die Schwere dieser Nebenwirkungen (siehe Abschnitt 4.4).
Tabellarische Auflistung der Nebenwirkungen
In Studien mit Patienten mit metastasiertem fortgeschrittenem Prostatakarzinom, die mit einem LHRH-Analogon behandelt wurden oder bei denen vorher eine Orchiektomie durchgeführt worden war, wurde Abibam in einer Dosierung von 1.000 mg täglich in Kombination mit niedrig dosiertem Prednison oder Prednisolon (entweder 5 oder 10 mg täglich, je nach Indikation) gegeben.
Im Folgenden werden die Nebenwirkungen, die in klinischen Studien und nach Markteinführung beobachtet wurden, nach ihrer Häufigkeit aufgeführt. Bei den Häufigkeitsangaben werden folgende Kategorien zugrunde gelegt: sehr häufig (≥ 1/10); häufig (≥ 1/100, < 1/10); gelegentlich (≥ 1/1.000, < 1/100); selten (≥ 1/10.000, < 1/1.000); sehr selten (< 1/10.000) und nicht bekannt (Häufigkeit auf Grundlage der verfügbaren Daten nicht abschätzbar).
In jeder Häufigkeitskategorie werden die Nebenwirkungen in abnehmendem Schweregrad dargestellt.
Tabelle 1: Nebenwirkungen, die in klinischen Studien und nach Markteinführung aufgetreten sind
Systemorganklasse |
Nebenwirkung und Häufigkeit |
Infektionen und parasitäre Erkrankungen |
Sehr häufig: Harnwegsinfektion |
Erkrankungen des Immunsystems |
Nicht bekannt: anaphylaktische Reaktionen |
Endokrine Erkrankungen |
Gelegentlich: Nebenniereninsuffizienz |
Stoffwechsel- und Ernährungsstörungen |
Sehr häufig: Hypokaliämie Häufig: Hypertriglyceridämie |
Herzerkrankungen |
Häufig: Herzinsuffizienz*, Angina Pectoris, Vorhofflimmern, Tachykardie Gelegentlich: andere Arrhythmien |
Gefäßerkrankungen |
Sehr häufig: Hypertonie |
Erkrankungen der Atemwege, des |
Selten: allergische Alveolitisa |
Erkrankungen des Gastrointestinaltrakts |
Sehr häufig: Diarrhö |
Leber- und Gallenerkrankungen |
Sehr häufig: erhöhte Alaninaminotransferase |
Erkrankungen der Haut und des |
Häufig: Hautausschlag |
Skelettmuskulatur-, Bindegewebs- und |
Gelegentlich: Myopathie, Rhabdomyolyse |
Erkrankungen der Niere und der |
Häufig: Hämaturie |
Allgemeine Erkrankungen und |
Sehr häufig: periphere Ödeme |
Verletzung, Vergiftung und durch |
Häufig: Frakturen** |
* Herzinsuffizienz umfasst auch kongestive Herzinsuffizienz, linksventrikuläre Dysfunktion und verminderte Ejektionsfraktion
** Frakturen beinhalten Osteoporose sowie alle Frakturen mit Ausnahme der pathologischen Frakturen
a Nebenwirkungsmeldungen nach Markteinführung
b Erhöhte Alaninaminotransferase und/oder erhöhte Aspartataminotransferase umfasst erhöhte ALT, erhöhte AST und abnormale Leberfunktion.
Die folgenden Nebenwirkungen des CTCAE-Schweregrades 3 (Version 4.0) traten bei Patienten, die mit Abirateronacetat behandelt wurden, auf: Hypokaliämie 5%, Harnwegsinfektion 2%, erhöhte Alaninaminotransferase und/oder erhöhte Aspartataminotransferase 4%, Hypertonie 6%, Frakturen 2%, periphere Ödeme, Herzinsuffizienz 1% und Vorhofflimmern 1%. Im CTCAE-Schweregrad 3 (Version 4.0) traten bei < 1% der Patienten Hypertriglyceridämie und Angina Pectoris auf. Im CTCAE-Schweregrad 4 (Version 4.0) traten bei < 1% der Patienten Harnwegsinfektion, erhöhte Alaninaminotransferase und/oder erhöhte Aspartataminotransferase, Hypokaliämie, Herzinsuffizienz, Vorhofflimmern und Frakturen auf.
In der hormonsensitiven Population (Studie 3011) wurde eine höhere Inzidenz für Hypertonie und Hypokaliämie beobachtet. Bei 36,7% der Patienten der hormonsensitiven Population wurde über Hypertonie berichtet (Studie 3011) im Vergleich zu 11,8% bzw. 20,2% in den Studien 301 und 302.
Hypokaliämie wurde bei 20,4% der Patienten der hormonsensitiven Population beobachtet (Studie 3011) im Vergleich zu 19,2% bzw. 14,9% in den Studien 301 und 302.
Inzidenz und Schweregrad der Nebenwirkungen waren höher in der Subgruppe der Patienten mit einem initialen ECOG-Performance-Status Grad 2 sowie auch bei älteren Patienten (≥ 75 Jahre).
Beschreibung ausgewählter Nebenwirkungen
Kardiovaskuläre Reaktionen
Patienten mit unkontrollierter Hypertonie, klinisch signifikanter Herzerkrankung im Sinne eines Myokardinfarktes, eines arteriellen thrombotischen Ereignisses in den letzten 6 Monaten, einer schweren oder instabilen Angina, einer Herzinsuffizienz der NYHA-Klasse III oder IV (Studie 301) oder einer Herzinsuffizienz der Klasse II bis IV (Studien 3011 und 302) oder einer kardialen Ejektionsfraktion von < 50% waren von den drei Phase-III-Studien ausgeschlossen. Alle eingeschlossenen Patienten (aktiv behandelte und mit Placebo behandelte Patienten) erhielten eine begleitende Androgenentzugstherapie, vorwiegend unter Verwendung von LHRH-Analoga, die mit Diabetes, Myokardinfarkt, zerebrovaskulären Ereignissen und plötzlichem Herztod in Verbindung gebracht wird.
Die Inzidenz für kardiovaskuläre Nebenwirkungen in den Phase-III-Studien bei Patienten, die Abirateronacetat eingenommen haben, verglichen mit Patienten, die Placebo eingenommen haben, war wie folgt: Vorhofflimmern 2,6% vs. 2,0%, Tachykardie 1,9% vs. 1,0%, Angina Pectoris 1,7% vs. 0,8%, Herzinsuffizienz 0,7% vs. 0,2% und Arrhythmie 0,7% vs. 0,5%.
Hepatotoxizität
Bei Patienten, die mit Abirateronacetat behandelt wurden, wurde über Hepatotoxizität mit erhöhten Werten für ALT, AST und Gesamt-Bilirubin berichtet. In klinischen Phase-III-Studien wurde von Hepatotoxizität Grad 3 und 4 (bzw. ALT- oder AST-Anstieg von > 5‑fach ULN oder Bilirubin- Anstieg von > 1,5‑fach ULN), typischerweise während der ersten 3 Monate nach Behandlungsbeginn, bei ungefähr 6% der Patienten berichtet, die Abirateronacetat erhielten. In Studie 3011 trat Hepatotoxizität Grad 3 oder 4 bei 8,4% der mit Abibam behandelten Patienten auf. Bei zehn Patienten, die Abibam erhielten, kam es wegen Hepatotoxizität zum Behandlungsabbruch; bei zwei lag eine Hepatotoxizität Grad 2 vor, bei sechs lag eine Hepatotoxizität Grad 3 vor und bei zwei lag eine Hepatotoxizität Grad 4 vor. Kein Patient verstarb in der Studie 3011 aufgrund von Hepatotoxizität. In den klinischen Phase-III-Studien traten erhöhte Leberwerte eher bei den Patienten mit erhöhten ALT- oder AST-Ausgangswerten auf als bei den Patienten mit normalen Ausgangswerten. Wenn um > 5‑fach ULN erhöhte ALT- oder AST-Werte oder um > 3‑fach ULN erhöhte Bilirubinwerte gemessen wurden, wurde die Gabe von Abirateronacetat ausgesetzt oder abgebrochen. In zwei Fällen kam es zu deutlich erhöhten Leberwerten (siehe Abschnitt 4.4). Diese zwei Patienten mit einer normalen Baseline-Leberfunktion entwickelten eine Erhöhung der ALT- oder AST-Werte um 15- bis 40‑fach ULN und der Bilirubin-Werte um 2- bis 6‑fach ULN. Nach Absetzen der Behandlung normalisierten sich die Leberwerte bei beiden Patienten und ein Patient wurde erneut behandelt, ohne dass die erhöhten Werte noch einmal auftraten. In Studie 302 wurden bei 35 (6,5%) Patienten, die mit Abirateronacetat behandelt wurden, Erhöhungen der ALT- oder AST-Werte beobachtet. Erhöhungen der Aminotransferase zeigten sich bei allen bis auf 3 Patienten rückläufig (2 mit neuen multiplen Lebermetastasen und 1 mit Erhöhung des AST-Wertes ungefähr 3 Wochen nach der letzten Abirateronacetat-Dosis). In klinischen Phase-III-Studien wurde über ein Absetzen der Behandlung aufgrund von Erhöhungen der ALT- und AST-Werte oder abnormaler Leberfunktion bei 1,1% der mit Abirateronacetat behandelten Patienten sowie bei 0,6% der mit Placebo behandelten Patienten berichtet; es wurde über keine Todesfälle aufgrund hepatotoxischer Ereignisse berichtet.
In klinischen Studien wurde das Risiko für eine Hepatotoxizität durch Ausschluss von Patienten mit einer Hepatitis oder signifikanten Veränderungen der Leberwerte zu Beginn der Studie verringert. In der Studie 3011 wurden Patienten mit ALT- und AST-Ausgangswerten von > 2,5‑fach ULN, Bilirubinwerten von > 1,5‑fach ULN oder Patienten mit aktiver oder symptomatischer viraler Hepatitis oder chronischer Lebererkrankung, Aszites oder Blutgerinnungsstörungen infolge einer Leberfunktionsstörung ausgeschlossen. In der Studie 301 wurden Patienten mit ALT- und AST-Ausgangswerten von ≥ 2,5‑fach ULN ohne Lebermetastasen bzw. > 5‑fach ULN bei vorhandenen Lebermetastasen ausgeschlossen. In der Studie 302 waren Patienten mit Lebermetastasen nicht eingeschlossen und Patienten mit ALT- und AST-Ausgangswerten ≥ 2,5‑fach ULN wurden ausgeschlossen. Traten bei Patienten während der klinischen Studien abnormale Leberwerte auf, wurden unverzüglich die nötigen Maßnahmen ergriffen: Ein Abbruch der Behandlung war erforderlich und eine erneute Behandlung wurde erst wieder aufgenommen, wenn die Leberwerte wieder auf die Ausgangswerte des Patienten zurückgegangen waren (siehe Abschnitt 4.2). Patienten mit erhöhten ALT- oder AST-Werten > 20‑fach ULN wurden nicht erneut behandelt. Die Sicherheit einer erneuten Behandlung bei diesen Patienten ist nicht bekannt. Der Mechanismus für eine Hepatotoxizität ist nicht bekannt.
Meldung des Verdachts auf Nebenwirkungen
Die Meldung des Verdachts auf Nebenwirkungen nach der Zulassung ist von großer Wichtigkeit. Sie ermöglicht eine kontinuierliche Überwachung des Nutzen-Risiko-Verhältnisses des Arzneimittels. Angehörige von Gesundheitsberufen sind aufgefordert, jeden Verdachtsfall einer Nebenwirkung dem Bundesinstitut für Arzneimittel und Medizinprodukte, Abt. Pharmakovigilanz, Kurt-Georg-Kiesinger-Allee 3, D-53175 Bonn, Website: http://www.bfarm.de anzuzeigen.
Erfahrungen zur Überdosierung von Abibam beim Menschen sind begrenzt.
Es gibt kein spezifisches Antidot. Im Falle einer Überdosierung soll die Behandlung ausgesetzt und allgemeine unterstützende Maßnahmen eingeleitet werden, einschließlich der Überwachung von Arrhythmien, Hypokaliämie und hinsichtlich Anzeichen und Symptomen einer Flüssigkeitsretention. Auch die Leberfunktion soll untersucht werden.
Pharmakotherapeutische Gruppe: Endokrine Therapie, andere Hormonantagonisten und verwandte Mittel, ATC-Code: L02BX03
Wirkmechanismus
Abirateronacetat (Abibam) wird in vivo zu Abirateron, einem Androgen-Biosynthese-Inhibitor umgewandelt. Abirateron inhibiert selektiv das Enzym 17α-Hydroxylase/C17,20-lyase (CYP17). Dieses Enzym wird in Hoden, Nebennieren und Prostata-Tumorgewebe exprimiert und ist für die Androgen-Biosynthese erforderlich. CYP17 katalysiert die Umwandlung von Pregnenolon bzw. Progesteron in die Testosteron-Vorstufen DHEA bzw. Androstenedion durch 17α-Hydroxylierung und Spaltung der C17,20-Bindung. Die CYP17-Inhibition führt außerdem zu einer erhöhten Mineralkortikoid-Produktion in den Nebennieren (siehe Abschnitt 4.4).
Androgensensitive Prostatakarzinome sprechen auf eine androgenspiegelsenkende Behandlung an. Androgenentzugstherapien, wie eine Behandlung mit LHRH-Analoga oder eine Orchiektomie, senken die Androgenproduktion in den Hoden, wirken sich jedoch nicht auf die Androgenproduktion in den Nebennieren oder im Tumor aus. Eine Behandlung mit Abirateronacetat senkt den Serum-Testosteron-Spiegel auf nicht nachweisbare Konzentrationen (bei Verwendung handelsüblicher Tests), wenn es gemeinsam mit LHRH-Analoga gegeben wird (oder eine Orchiektomie vorgenommen wurde).
Pharmakodynamische Wirkungen
Abibam senkt den Spiegel von Serum-Testosteron und anderen Androgenen auf Konzentrationen, die geringer sind als die, die durch die alleinige Gabe von LHRH-Analoga oder eine Orchiektomie erreicht werden. Dies resultiert aus der selektiven Inhibition des für die Androgen-Biosynthese erforderlichen Enzyms CYP17. PSA dient als Biomarker bei Patienten mit Prostatakarzinom. In einer klinischen Phase-III-Studie an Patienten, die auf eine vorherige Chemotherapie mit Taxanen nicht mehr angesprochen hatten, wiesen 38% der Patienten, die mit Abirateronacetat behandelt wurden, und 10% der Patienten unter Placebo einen Rückgang des PSA-Werts um mindestens 50% gegenüber dem Ausgangswert auf.
Klinische Wirksamkeit und Sicherheit
Die Wirksamkeit wurde in drei randomisierten, Placebo-kontrollierten, multizentrischen, klinischen Phase-III-Studien an Patienten mit mHSPC (Studie 3011) und mCRPC (Studien 302 und 301) nachgewiesen. In die Studie 3011 wurden Patienten eingeschlossen, die maximal 3 Monate vor Randomisierung neu mit mHSPC diagnostiziert wurden und Hochrisiko-Prognosefaktoren aufwiesen. Hochrisiko-Prognose war definiert als Vorliegen von mindestens 2 der folgenden 3 Risikofaktoren:
(1) Gleason-Score von ≥ 8; (2) Vorliegen von mindestens 3 Läsionen in der Knochenszintigraphie;
(3) Vorliegen von messbaren viszeralen Metastasen (ausgeschlossen Lymphknotenbefall). Im aktiven Arm wurde Abirateronacetat in einer Dosierung von 1.000 mg täglich in Kombination mit niedrig dosiertem Prednison 5 mg einmal täglich zusätzlich zur ADT (LHRH-Agonist oder Orchiektomie) gegeben. Letztere entsprach der Standardbehandlung. Patienten im Kontroll-Arm erhielten ADT und Placebo für sowohl Abirateronacetat als auch Prednison. Die in der Studie 302 eingeschlossenen Patienten waren Docetaxel-naïv; Patienten hingegen, die in der Studie 301 eingeschlossen waren, hatten zuvor Docetaxel erhalten. Den Patienten wurde entweder ein LHRH-Analogon gegeben, oder es war zuvor eine Orchiektomie bei ihnen vorgenommen worden. Im aktiven Behandlungsarm wurde Abirateronacetat in einer Dosierung von 1.000 mg täglich in Kombination mit niedrig dosiertem Prednison oder Prednisolon 5 mg zweimal täglich gegeben. Die Kontrollgruppe erhielt Placebo mit niedrig dosiertem Prednison oder Prednisolon 5 mg zweimal täglich.
Änderungen in der PSA-Konzentration im Serum allein sind nicht immer ein Hinweis auf einen klinischen Nutzen. Daher wurde in allen Studien empfohlen, die Studienbehandlungen der Patienten so lange beizubehalten, bis die weiter unten aufgeführten Abbruchkriterien der jeweiligen Studie erreicht wurden.
In allen Studien war die Anwendung von Spironolacton nicht erlaubt, da Spironolacton an den Androgenrezeptor bindet und die Serum-PSA-Werte erhöhen kann.
Studie 3011 (Patienten mit neu diagnostiziertem Hochrisiko-mHSPC)
Das mediane Alter der in Studie 3011 (n = 1.199) eingeschlossenen Patienten betrug 67 Jahre. Die Anzahl mit Abirateronacetat behandelter Patienten betrug bezogen auf ihre ethnische Herkunft 832 Kaukasier (69,4%), 246 Asiaten (20,5%), 25 Schwarz- oder Afro-Amerikaner (2,1%), 80 anderer ethnischer Herkunft (6,7%), 13 unbekannter/nicht berichteter Herkunft (1,1%) und 3 mit indianischem oder alaskischem Ursprung (0,3%). Der ECOG-Performance-Status war bei 97% der Patienten 0 oder 1. Patienten mit bekannten Hirnmetastasen, unkontrollierter Hypertonie, klinisch relevanter Herzerkrankung oder Herzinsuffizienz der New York Heart Association (NYHA)-Klasse II-IV waren ausgeschlossen. Patienten mit vorheriger Arzneimitteltherapie, Strahlentherapie oder Operation eines metastasierten Prostatakarzinoms waren ausgeschlossen mit Ausnahme von bis zu 3 Monaten ADT oder 1 palliativen Bestrahlungszyklus oder einer chirurgischen Behandlung von Symptomen, die durch Metastasen verursacht wurden. Co-primäre Wirksamkeitsendpunkte waren Gesamtüberleben (overall survial, OS) und radiographisch progressionsfreies Überleben (radiographic progression free survival, rPFS). Der mediane Schmerzausgangswert, gemessen anhand des brief pain inventory-short form (BPI-SF) betrug sowohl in der Behandlungs- als auch in der Placebo-Gruppe 2,0. Neben den co-primären Endpunkten wurde auch der Nutzen anhand folgender Faktoren beurteilt: Zeit bis zum nächsten skelettalen Ereignis (skeletal-related event, SRE), Zeit bis zur Folgetherapie des Prostatakarzinoms, Zeit bis zum Beginn einer Chemotherapie, Zeit bis zur Schmerzprogression und Zeit bis zur PSA-Progression. Die Behandlung wurde bis zur Krankheitsprogression, zum Widerruf der Einwilligung, zum Auftreten von inakzetabler Toxizität oder zum Tod fortgesetzt.
Radiographisch progressionsfreies Überleben war definiert als Zeit von der Randomisierung bis zum Auftreten einer radiographischen Progression oder zum Tod aufgrund jeglicher Ursache.
Radiographische Progression umfasste den Progressionsnachweis anhand einer Knochenszintigraphie (nach den modifizierten Kriterien der prostate cancer working group 2, PCWG2) oder den Progressionsnachweis von Weichteilläsionen anhand von CT oder MRT (nach den Kriterien für die Bewertung des Ansprechens der Behandlung bei soliden Tumoren = response evaluation criteria in solid tumors, RECIST 1.1).
Es wurde ein signifikanter Unterschied im rPFS zwischen den Behandlungsgruppen beobachtet (siehe Tabelle 2 und Abbildung 1).
Tabelle 2: Radiographisch progressionsfreies Überleben – Stratifizierte Analyse, Intent-To-Treat- Population (Studie PCR3011)
AA-P |
Placebo |
|
Randomisierte Patienten |
597 |
602 |
Ereignis |
239 (40,0%) |
354 (58,8%) |
Zensiert |
358 (60,0%) |
248 (41,2%) |
Zeit bis Ereignis (in Monaten) |
||
Median (95% KI) |
33,02 (29,57, NE) |
14,78 (14,69, 18,27) |
Bereich |
(0,0+, 41,0+) |
(0,0+, 40,6+) |
p-Werta |
< 0,0001 |
|
Hinweis: + = zensierte Beobachtung, NE (not estimable) = nicht auswertbar. Die radiographische Progression und der Tod sind in der Definition des rPFS-Ereignisses berücksichtigt. AA-P = Patienten, die Abirateronacetat und Prednison erhielten.
a p-Wert stammt aus einem Log-Rank-Test, stratifiziert nach ECOG-PS-Score (0/1 oder 2) und viszeralen Läsionen (nicht vorhanden oder vorhanden).
b Hazard Ratio geht auf ein stratified proportional hazards model zurück. Hazard Ratio < 1 favorisiert AA-P.
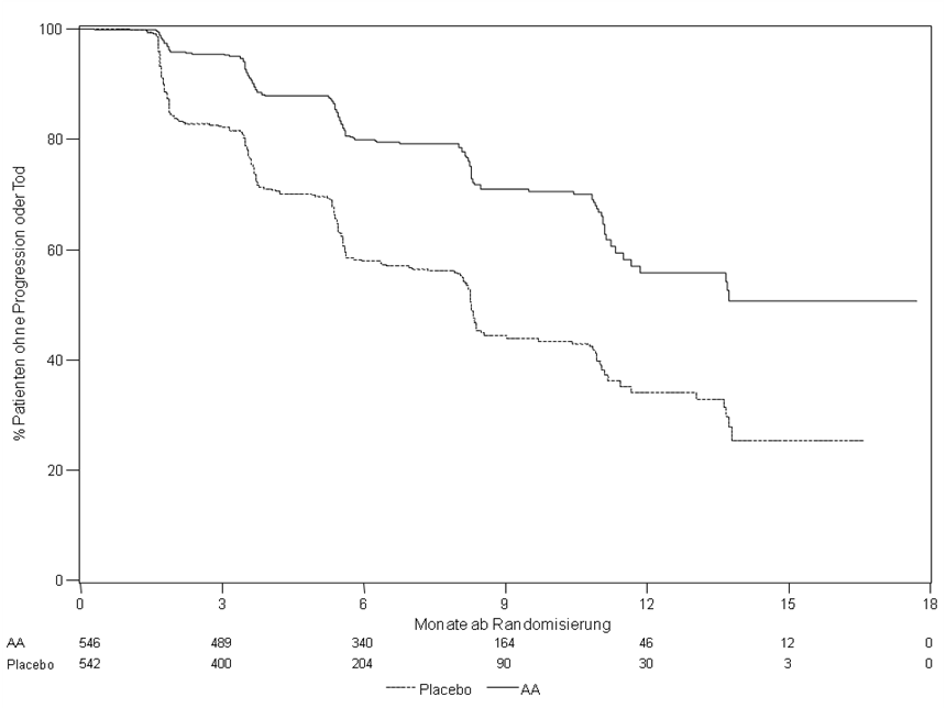
Abbildung 1: Kaplan-Meier-Kurve des radiographisch progressionsfreien Überlebens, Intent-To-Treat-Population (Studie PCR3011)

Im Vergleich zu Placebo plus ADT war eine statistisch signifikante Verbesserung des Gesamtüberlebens (OS) zugunsten von AA-P plus ADT mit einer 34%igen Reduktion des Risikos zu versterben zu beobachten (HR = 0,66; 95% KI: 0,56; 0,78; p< 0,0001), (siehe Tabelle 3 und Abbildung 2).
Tabelle 3: Gesamtüberleben der Patienten, die entweder mit Abirateronacetat oder mit Placebos in Studie PCR3011 behandelt wurden (Intent-to-Treat Analyse)
Gesamtüberleben |
Abirateronacetat mit Prednison |
Placebos |
(N=597) |
(N=602) |
|
Todesfälle (%) |
275 (46%) |
343 (57%) |
Medianes Überleben (Monate) |
53,3 |
36,5 |
(95% KI) |
(48,2; NE) |
(33,5; 40,0) |
NE=nicht auswertbar
1 Das Hazard-Ratio geht auf ein stratified proportional hazards model zurück. Ein Hazard Ratio < 1 favorisiert Abirateronacetat mit Prednison.
Abbildung 2: Kaplan-Meier-Kurve des Gesamtüberlebens; Intent-To-Treat Population in Studie PCR3011

Die Subgruppen-Analysen fallen konsistent zugunsten der Behandlung mit Abirateronacetat aus. Der Behandlungseffekt von AA-P in Hinblick auf das rPFS und OS erwies sich in allen vordefinierten Subgruppen als vorteilhaft und stimmte konsistent mit dem der Gesamtstudienpopulation überein, mit Ausnahme der Subgruppe mit einem ECOG-Score von 2, bei der kein vorteilhafter Trend beobachtet wurde; hier können keine aussagekräftigen Schlussfolgerungen aufgrund des geringen Stichprobenumfangs (n = 40) gezogen werden.
Zusätzlich zu den beobachteten positiven Effekten hinsichtlich Gesamtüberleben und rPFS zeigte sich ein Vorteil für Abirateronacetat im Vergleich zur Placebo-Behandlung bezüglich aller prospektiv definierten sekundären Endpunkte.
Studie 302 (Chemotherapie-naïve Patienten)
In diese Studie waren Chemotherapie-naïve Patienten eingeschlossen, die asymptomatisch oder mild symptomatisch waren, und bei denen eine Chemotherapie noch nicht klinisch indiziert war. Ein Brief Pain Inventory-Short Form (BPI-SF)-Score von 0-1 als stärkster Schmerz in den letzten 24 Stunden wurde als asymptomatisch definiert und ein Score von 2-3 als mild symptomatisch.
Das mittlere Alter der in Studie 302 eingeschlossenen Patienten betrug 71 Jahre für die mit Abirateronacetat plus Prednison oder Prednisolon behandelten Patienten und 70 Jahre für die mit Placebo plus Prednison oder Prednisolon. Die Anzahl mit Abirateronacetat behandelter Patienten betrug bezogen auf ihre ethnische Herkunft 520 Kaukasier (95,4%), 15 Schwarze (2,8%), 4 Asiaten (0,7%) und 6 Patienten waren anderer ethnischer Herkunft (1,1%). Die eingeschlossenen Patienten wiesen in beiden Studienarmen einen Eastern Cooperative Oncology Group (ECOG)-Performance-Status von 0 bei 76% und von 1 bei 24% der Patienten auf. 50% der Patienten hatten nur Knochenmetastasen, weitere 31% der Patienten hatten Knochen- und Weichteil- oder Lymphknotenmetastasen und 19% der Patienten hatten nur Weichteil- oder Lymphknotenmetastasen. Patienten mit viszeralen Metastasen waren ausgeschlossen. Co-primäre Endpunkte waren Gesamtüberleben und radiographisch progressionsfreies Überleben (rPFS). Zusätzlich zu den co-primären Endpunkten wurde ein Vorteil durch Zeit bis zum Opiatgebrauch bei krebsbedingten Schmerzen, Zeit bis zum Beginn einer zytotoxischen Chemotherapie, Zeit bis zur Verschlechterung des ECOG-Performance-Score um ≥ 1 Punkt und Zeit bis zur PSA-Progression nach den Kriterien der Prostate Cancer Working Group-2 (PCWG2) beurteilt. Die Studienbehandlung wurde zum Zeitpunkt des eindeutigen klinischen Progresses abgebrochen. Die Behandlung konnte nach Ermessen des Prüfarztes auch zum Zeitpunkt des bestätigten radiographischen Progresses beendet werden.
Das radiographisch progressionsfreie Überleben (rPFS) wurde anhand sequentieller bildgebender Verfahren nach Kriterien der PCWG2 (für Knochenläsionen) und modifizierter Kriterien zur Bewertung des Ansprechens solider Tumore (für Weichteilläsionen, Response Evaluation Criteria In Solid Tumors, RECIST) bestimmt. Zur Analyse des rPFS wurden zentral geprüfte Befunde des radiographischen Progresses verwendet.
Zum Zeitpunkt der geplanten rPFS-Analyse waren 401 Ereignisse eingetreten: 150 (28%) der mit Abirateronacetat behandelten Patienten und 251 (46%) der mit Placebo behandelten Patienten wiesen einen radiographischen Nachweis eines Progresses auf oder waren verstorben. Es wurde ein signifikanter Unterschied im rPFS zwischen den Behandlungsgruppen beobachtet (Tabelle 4 und Abbildung 3).
Tabelle 4: Studie 302: Radiographisch progressionsfreies Überleben von Patienten, die entweder mit Abirateronacetat oder Placebo in Kombination mit Prednison oder Prednisolon plus LHRH-Analoga oder vorheriger Orchiektomie behandelt wurden
Abirateronacetat (N=546) |
Placebo (N=542) |
|
Radiographisch |
||
Progression oder Tod |
150 (28%) |
251 (46%) |
Medianes rPFS in Monaten (95% KI) |
Nicht erreicht (11,66; NE) |
8,3 |
p-Wert* |
<0,0001 |
|
Hazard Ratio** (95% KI) |
0,425 |
|
NE = nicht auswertbar
* p-Wert berechnet mit einem Log-Rank-Test stratifiziert nach ECOG-Score zu Beginn der Studie (0 oder 1)
** Hazard Ratio < 1 zugunsten von Abirateronacetat
Abbildung 3: Kaplan Meier Kurven des radiographisch progressionsfreien Überleben von Patienten, die entweder mit Abirateronacetat oder Placebo in Kombination mit Prednison oder Prednisolon plus LHRH-Analoga oder vorheriger Orchiektomie behandelt wurden

AA=Abirateronacetat
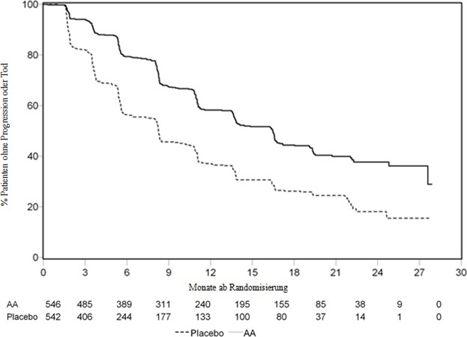
Patientendaten wurden über den Zeitpunkt der zweiten Interimanalyse des Gesamtüberlebens (OS) hinaus gesammelt. Eine Sensitivitätsanalyse der Nachbeobachtungsdaten des rPFS nach Einschätzung des Prüfarztes ist in Tabelle 5 und Abbildung 4 dargestellt.
Sechshundertsieben (607) Patienten hatten einen radiographischen Progress oder waren verstorben: 271 (50%) in der Abirateronacetat-Gruppe und 336 (62%) in der Placebo-Gruppe. Die Behandlung mit Abirateronacetat reduzierte das Risiko der radiographischen Progression oder Tod um 47% im Vergleich zu Placebo (HR=0,530; 95% KI: [0,451; 0,623], p<0,0001). Das mediane rPFS betrug 16,5 Monate in der Abirateronacetat-Gruppe und 8,3 Monate in der Placebo-Gruppe.
Tabelle 5: Studie 302: Radiographisch progressionsfreies Überleben von Patienten, die entweder mit Abirateronacetat oder Placebo in Kombination mit Prednison oder Prednisolon plus LHRH-Analoga oder vorheriger Orchiektomie behandelt wurden (Zum Zeitpunkt der zweiten Interimsanalyse des OS – Einschätzung des Prüfarztes)
Abirateronacetat (N=546) |
Placebo (N=542) |
|
Radiographisch progressionsfreies |
||
Progression oder Tod |
271 (50%) |
336 (62%) |
Medianes rPFS in Monaten (95% KI) |
16,5 |
8,3 |
p-Wert* |
< 0,0001 |
|
Hazard Ratio** (95% KI) |
0,530 |
|
* p-Wert berechnet mit einem Log-Rank-Test stratifiziert nach ECOG-Score zu Beginn der Studie (0 oder 1)
** Hazard Ratio < 1 zugunsten von Abirateronacetat
Abbildung 4: Kaplan Meier Kurven des radiographisch progressionsfreien Überleben von Patienten, die entweder mit Abirateronacetat oder Placebo in Kombination mit Prednison oder Prednisolon plus LHRH-Analoga oder vorheriger Orchiektomie behandelt wurden (Zum Zeitpunkt der zweiten Interimsanalyse des OS – Einschätzung des Prüfarztes)

AA=Abirateronacetat
Eine geplante Interimsanalyse (IA) des OS wurde nach 333 beobachteten Todesfällen durchgeführt. Die Studie wurde aufgrund des Ausmaßes des klinischen Vorteils entblindet und Patienten in der Placebogruppe eine Behandlung mit Abirateronacetat angeboten. Das Gesamtüberleben war unter Abirateronacetat länger als unter Placebo mit einer 25%-igen Reduktion des Risikos zu versterben (HR =0,752; 95% KI: [0,606; 0,934], p=0,0097), aber das OS war nicht ausgereift und die Interimsergebnisse erreichten nicht die präspezifizierte Abbruchgrenze für eine statistische Signifikanz (siehe Tabelle 6). Die Nachbeobachtung des Überlebens wurde nach dieser IA fortgesetzt.
Die geplante finale Analyse für das OS wurde durchgeführt, nachdem 741 Todesfälle beobachtet worden waren (bei medianer Nachbeobachtung von 49 Monaten). Fünfundsechzig Prozent (354 von 546) der mit Abirateronacetat behandelten Patienten im Vergleich zu 71% (387 von 542) der mit Placebo behandelten Patienten waren verstorben. Ein statistisch signifikanter Vorteil des OS zugunsten der Abirateronacetat -Behandlungsgruppe wurde mit einer 19,4%-igen Reduktion des Risikos zu versterben (HR=0,806; 95% KI: [0,697; 0,931], p=0,0033) und einer Verbesserung des medianen OS von 4,4 Monaten (Abirateronacetat 34,7 Monate, Placebo 30,3 Monate) gezeigt (siehe Tabelle 6 und Abbildung 5). Diese Verbesserung wurde gezeigt, obwohl 44% der Patienten im Placeboarm Abirateronacetat als Folgetherapie erhielten.
Tabelle 6: Studie 302: Gesamtüberleben von Patienten, die entweder mit Abirateronacetat oder Placebo in Kombination mit Prednison oder Prednisolon plus LHRH-Analoga oder vorheriger Orchiektomie behandelt wurden
Abirateronacetat (N=546) |
Placebo (N=542) |
|
Interimsanalyse des Gesamtüberlebens |
||
Todesfälle (%) |
147 (27%) |
186 (34%) |
Medianes Überleben (Monate) (95% KI) |
Nicht erreicht (NE; NE) |
27,2 |
p-Wert* |
0,0097 |
|
Hazard Ratio** (95% KI) |
0,752 |
|
Finale Analyse des Gesamtüberlebens |
||
Todesfälle |
354 (65%) |
387 (71%) |
Medianes Gesamtüberleben in Monaten (95% KI) |
34,7 (32,7; 36,8) |
30,3 (28,7; 33,3) |
p-Wert* |
0,0033 |
|
Hazard Ratio** (95% KI) |
0,806 (0,697; 0,931) |
|
NE= Nicht auswertbar
* p-Wert berechnet mit einem Log-Rank-Test stratifiziert nach ECOG-Score zu Beginn der Studie (0 oder 1)
** Hazard Ratio < 1 zugunsten von Abirateronacetat
Abbildung 5: Kaplan Meier Überlebenskurven von Patienten, die entweder mit Abirateronacetat oder Placebo in Kombination mit Prednison oder Prednisolon plus LHRH-Analoga oder vorheriger Orchiektomie behandelt wurden, finale Analyse

AA= Abirateronacetat
Zusätzlich zu den beobachteten Verbesserungen im Gesamtüberleben und rPFS zeigte sich ein Vorteil für Abirateronacetat im Vergleich zu Placebo hinsichtlich aller sekundären Endpunkte wie folgt:
Zeit bis zur PSA-Progression nach Kriterien der PCWG2: Die mediane Zeit bis zur PSA-Progression betrug 11,1 Monate bei Patienten, welche Abirateronacetat erhielten und 5,6 Monate bei Patienten, welche Placebo erhielten (HR=0,488; 95% KI: [0,420; 0,568], p < 0,0001). Die Zeit bis zur PSA-Progression wurde unter der Behandlung mit Abirateronacetat etwa verdoppelt (HR=0,488). Der Anteil an Patienten mit einem bestätigten PSA-Ansprechen war in der Abirateronacetat -Gruppe größer als in der Placebo-Gruppe (62% gegenüber 24%; p < 0,0001). Bei Patienten mit messbarer Weichteilmanifestation zeigten sich unter der Behandlung mit Abirateronacetat signifikant mehr Fälle vollständigen und partiellen Tumor- Ansprechens.
Zeit bis zum Opiatgebrauch bei krebsbedingten Schmerzen: Zum Zeitpunkt der finalen Analyse betrug die mediane Zeit bis zum Opiatgebrauch bei Schmerzen aufgrund von Prostatakrebs 33,4 Monate bei Patienten, welche Abirateronacetat erhielten und 23,4 Monate bei Patienten, welche Placebo erhielten (HR=0,721; 95% KI: [0,614; 0,846], p < 0,0001).
Zeit bis zum Beginn einer zytotoxischen Chemotherapie: Die mediane Zeit bis zum Beginn einer zytotoxischen Chemotherapie betrug 25,2 Monate bei Patienten, welche Abirateronacetat erhielten und 16,8 Monate bei Patienten, welche Placebo erhielten (HR=0,580; 95% KI: [0,487; 0,691], p < 0,0001).
Zeit bis zur Verschlechterung des ECOG-Performance-Score um ≥ 1 Punkt: Die mediane Zeit bis zur Verschlechterung des ECOG-Performance-Score um ≥ 1 Punkt betrug 12,3 Monate bei Patienten, welche Abirateronacetat erhielten und 10,9 Monate bei Patienten, welche Placebo erhielten (HR=0,821; 95% KI: [0,714; 0,943], p=0,0053).
Die folgenden Studienendpunkte zeigten einen statistisch signifikanten Vorteil zugunsten einer Behandlung mit Abirateronacetat:
Objektives Ansprechen: Objektives Ansprechen war definiert als der Anteil der Patienten mit messbarer Erkrankung, die ein vollständiges oder partielles Ansprechen nach RECIST-Kriterien erreichten (um als Ziel-Läsion berücksichtigt zu werden, wurde ein Lymphknotendurchmesser zu Beginn der Studie ≥ 2 cm vorausgesetzt). Der Anteil der Patienten mit messbarer Erkrankung zu Beginn der Studie, welche ein objektives Ansprechen erreichten, betrug 36% in der Abirateronacetat -Gruppe und 16% in der Placebo-Gruppe (p < 0.0001).
Schmerz: Die Behandlung mit Abirateronacetat reduzierte signifikant das Progressionsrisiko der mittleren Schmerzintensität um 18% im Vergleich zu Placebo (p=0,0490). Die mediane Zeit bis zur Progression betrug 26,6 Monate in der Abirateronacetat -Gruppe und 18,4 Monate in der Placebo-Gruppe.
Zeit bis zur Verschlechterung des FACT-P (Gesamt-Punktzahl): die Behandlung mit Abirateronacetat senkte das Risiko einer Verschlechterung des FACT-P (Gesamtpunktzahl) um 22% im Vergleich zu Placebo (p=0,0028). Die mediane Zeit bis zur Verschlechterung des FACT-P (Gesamt-Score) betrug 12,7 Monate in der Abirateronacetat -Gruppe und 8,3 Monate in der Placebo-Gruppe.
Studie 301 (Patienten, welche eine vorangegangene Chemotherapie erhalten hatten)
In der Studie 301 wurden Patienten eingeschlossen, welche zuvor Docetaxel erhalten hatten. Es war nicht erforderlich, dass die Patienten unter Docetaxel eine Krankheitsprogression zeigten, da die Chemotherapie auch aufgrund resultierender Toxizität abgebrochen werden konnte.
Die Studienbehandlung der Patienten wurde beibehalten, bis eine PSA-Progression (bestätigter Anstieg um 25% gegenüber dem Ausgangswert/Nadir des Patienten) zusammen mit einer im Protokoll definierten radiologischen Progression und symptomatischen oder klinischen Progression auftrat.
Patienten mit einer früheren Ketoconazol-Therapie zur Behandlung des Prostatakarzinoms wurden von dieser Studie ausgeschlossen. Der primäre Endpunkt war das Gesamtüberleben.
Das mittlere Alter der in die Studie eingeschlossenen Patienten betrug 69 Jahre (zwischen 39 und
95 Jahre). Die Anzahl mit Abirateronacetat behandelter Patienten betrug bezogen auf ihre ethnische Herkunft 737 Kaukasier (93,2%), 28 Schwarze (3,5%), 11 Asiaten (1,4%) und 14 Patienten waren anderer ethnischer Herkunft (1,8%). 11% der eingeschlossenen Patienten wiesen einen ECOG-Performance- Score von 2 auf. 70% zeigten im radiologischen Nachweis eine Progression der Erkrankung mit oder ohne PSA-Progression. 70% hatten zuvor eine und 30% zweimal eine zytotoxische Chemotherapie erhalten. Lebermetastasen waren bei 11% der mit Abirateronacetat behandelten Patienten vorhanden.
Aus einer geplanten Analyse, die nach 552 Todesfällen durchgeführt wurde, ging hervor, dass 42% (333 von 797) der mit Abirateronacetat behandelten Patienten und 55% (219 von 398) der mit Placebo behandelten Patienten verstorben waren. Eine statistisch signifikante Verbesserung des medianen Gesamtüberlebens war bei Patienten zu beobachten, die mit Abirateronacetat behandelt wurden (siehe Tabelle 7).
Tabelle 7: Gesamtüberleben von Patienten, die entweder mit Abirateronacetat oder Placebo in Kombination mit Prednison oder Prednisolon plus LHRH-Analoga oder vorheriger Orchiektomie behandelt wurden
Abirateronacetat (n=797) |
Placebo (n=398) |
|
Primäre Überlebensanalyse |
||
Todesfälle (%) |
333 (42%) |
219 (55%) |
Medianes Überleben (Monate) (KI 95%) |
14,8 (14,1; 15,4) |
10,9 (10,2; 12,0) |
p-Werta |
< 0,0001 |
|
Hazard Ratio (KI 95%)b |
0,646 (0,543; 0,768) |
|
Aktualisierte Überlebensanalyse |
||
Todesfälle (%) |
501 (63%) |
274 (69%) |
Medianes Überleben (Monate) (KI 95%) |
15,8 |
11,2 |
Hazard Ratio (KI 95%)b |
0,740 (0,638; 0,859) |
|
a Der p-Wert geht auf einen Log-Rank-Test zurück, der nach ECOG-Performance-Status-Score (0-1 versus 2), Schmerz-Score (fehlend versus vorhanden), Anzahl früherer Chemotherapien (1 versus 2) und Typ der Krankheitsprogression (nur PSA versus radiologisch) stratifiziert wurde.
b Hazard Ratio geht auf ein stratified proportional hazards model zurück. Hazard Ratio < 1 begünstigt Abirateronacetat
Nach den ersten Behandlungsmonaten hatte zu jedem Bewertungszeitpunkt ein höherer Anteil der mit Abirateronacetat behandelten Patienten im Vergleich zum Anteil der mit Placebo behandelten Patienten überlebt (siehe Abbildung 6).
Abbildung 6: Kaplan-Meier-Überlebenskurven von Patienten, die entweder mit Abirateronacetat oder Placebo in Kombination mit Prednison oder Prednisolon plus LHRH-Analoga oder vorheriger Orchiektomie behandelt wurden

AA= Abirateronacetat
Subgruppen-Analysen zum Überleben zeigten einen konsistenten Überlebensvorteil für die Behandlung mit Abirateronacetat (siehe Abbildung 7).
Abbildung 7: Gesamtüberleben nach Subgruppe: Hazard Ratio und 95% Konfidenzintervall

AA= Abirateronacetat; BPI=Brief Pain Inventory (Schmerz-Score); KI=Konfidenzintervall; ECOG=Performance-Score der Eastern Cooperative Oncology Group; HR=Hazard Ratio; NE=nicht auswertbar
Zusätzlich zur beobachteten Verbesserung des Gesamtüberlebens sprachen alle sekundären Endpunkte der Studie für Abirateronacetat und waren nach Anpassung für multiples Testen statistisch signifikant:
Patienten, die Abirateronacetat erhalten hatten, wiesen eine signifikant höhere PSA-Gesamt-Responserate auf (definiert als ≥ 50%iger Rückgang gegenüber dem Ausgangswert) als Patienten, die Placebo erhalten hatten: 38% gegenüber 10%, p < 0,0001.
Die mediane Zeit bis zur PSA-Progression betrug bei mit Abirateronacetat behandelten Patienten 10,2 Monate und bei mit Placebo behandelten Patienten 6,6 Monate (HR = 0,580; 95% KI: [0,462; 0,728], p < 0,0001).
Das mediane radiologische progressionsfreie Überleben betrug bei mit Abirateronacetat behandelten Patienten 5,6 Monate und bei Patienten, die Placebo erhielten, 3,6 Monate (HR = 0,673; 95% KI: [0,585; 0,776], p < 0,0001).
Schmerz
Der Anteil der Patienten mit einem Schmerzrückgang war in der Abirateronacetat -Gruppe statistisch signifikant höher als in der Placebo-Gruppe (44% gegenüber 27%, p = 0,0002). Ein Responder auf eine Schmerztherapie war definiert als Patient, bei dem ein Rückgang der Schmerzen um mindestens 30% gegenüber dem Ausgangswert auf der Skala für den stärksten Schmerz im BPI-Schmerz-Score (BPI-SF) über die letzten 24 Stunden ohne Erhöhung der Analgetika bei zwei aufeinander folgenden Bewertungen im Abstand von vier Wochen beobachtet werden konnte. Nur Patienten mit einem Schmerzausgangswert von ≥ 4 und mindestens einem nach dem Schmerzausgangswert erhobenen Wert gingen in die Bewertung zum Schmerzrückgang ein (n = 512).
Ein geringerer Anteil der mit Abirateronacetat behandelten Patienten verzeichnete im Vergleich zu placebobehandelten Patienten eine Schmerz-Progression nach 6 (22% gegenüber 28%), 12 (30% gegenüber 38%) und 18 Monaten (35% gegenüber 46%). Schmerz-Progression war definiert als Zunahme von ³ 30% gegenüber dem Ausgangswert auf der Skala für den stärksten Schmerz im BPI-Schmerz-Score (BPI-SF) über die letzten 24 Stunden ohne Verringerung der Analgetika bei zwei aufeinander folgenden Besuchen oder einer Erhöhung der Analgetika um ≥ 30% bei zwei aufeinander folgenden Besuchen. Die Zeit bis zur Schmerz-Progression beim 25. Perzentil betrug in der Abirateronacetat -Gruppe 7,4 Monate und in der Placebo-Gruppe 4,7 Monate.
Skelettale Ereignisse
Verglichen mit der Placebo-Gruppe hatte ein kleinerer Anteil der Patienten in der Abirateronacetat -Gruppe skelettale Ereignisse nach 6 Monaten (18% gegenüber 28%), nach 12 Monaten (30% gegenüber 40%) und nach 18 Monaten (35% gegenüber 40%). Die Zeit bis zum ersten skelettalen Ereignis in der 25. Perzentile war in der Abirateronacetat -Gruppe mit 9,9 gegenüber 4,9 Monaten doppelt so hoch wie in der Kontrollgruppe. Ein skelettales Ereignis was definiert als pathologische Fraktur, Rückenmarkskompression, palliative Knochenbestrahlung oder Operation am Knochen.
Kinder und Jugendliche
Die Europäische Arzneimittel-Agentur hat für Abirateronacetat eine Freistellung von der Verpflichtung zur Vorlage von Ergebnissen zu Studien in allen pädiatrischen Altersklassen in fortgeschrittenem Prostatakarzinom gewährt (siehe Abschnitt 4.2 bzgl. Informationen zur Anwendung bei Kindern und Jugendlichen).
Nach Gabe von Abirateronacetat wurde die Pharmakokinetik von Abirateron und Abirateronacetat bei gesunden Probanden, bei Patienten mit metastasiertem fortgeschrittenem Prostatakarzinom und bei Probanden ohne Krebserkrankung mit Leber- oder Nierenfunktionsstörung untersucht.
Abirateronacetat wird in vivo schnell in den Androgen-Biosynthese-Inhibitor Abirateron umgewandelt (siehe Abschnitt 5.1).
Resorption
Nach oraler Gabe von Abirateronacetat in nüchternem Zustand beträgt die Zeit bis zum Erreichen der maximalen Abirateron-Konzentration im Plasma etwa 2 Stunden.
Die Gabe von Abirateronacetat mit Nahrungsmitteln führt im Vergleich zur Gabe im nüchternen Zustand, abhängig vom Fettgehalt der Mahlzeit, zu einem bis zu 10‑fachen (AUC) und bis zu 17‑fachen (Cmax) Anstieg der mittleren systemischen Abirateron-Exposition. Angesichts der normalen Variation bei Inhalt und Zusammensetzung der Mahlzeiten führt die Einnahme von Abirateronacetat zusammen mit Mahlzeiten potenziell zu einer sehr variablen Exposition. Daher darf Abibam nicht zusammen mit Nahrungsmitteln eingenommen werden. Es soll mindestens eine Stunde vor oder frühestens zwei Stunden nach dem Essen eingenommen werden. Die Tabletten sollen unzerteilt mit Wasser geschluckt werden (siehe Abschnitt 4.2).
Verteilung
Die Plasma-Proteinbindung von 14C-Abirateron im menschlichen Plasma beträgt 99,8%. Das scheinbare Verteilungsvolumen beträgt etwa 5.630 l, was darauf hindeutet, dass sich Abirateron stark im peripheren Gewebe verteilt.
Biotransformation
Nach oraler Gabe von 14C-Abirateronacetat als Kapseln wird Abirateronacetat zu Abirateron hydrolysiert und dann durch Sulfatierung, Hydroxylierung und Oxidation primär in der Leber metabolisiert. Der Großteil der zirkulierenden Radioaktivität (etwa 92%) liegt in Form von Metaboliten von Abirateron vor. Von 15 nachweisbaren Metaboliten machen die beiden Hauptmetabolite Abirateron-Sulfat und N-Oxid-Abirateron-Sulfat jeweils 43% der gesamten Radioaktivität aus.
Elimination
Die mittlere Halbwertzeit von Abirateron im Plasma beträgt basierend auf Daten von gesunden Probanden etwa 15 Stunden. Nach oraler Gabe von 1.000 mg 14C-Abirateronacetat werden etwa 88% der radioaktiven Dosis im Fäzes und etwa 5% im Urin gefunden. Die Hauptbestandteile im Fäzes sind unverändertes Abirateronacetat und Abirateron (etwa 55% bzw. 22% der angewendeten Dosis).
Leberfunktionsstörung
Die Pharmakokinetik von Abirateronacetat wurde bei Probanden mit vorbestehender leichter (Child-Pugh-Klasse A) oder mäßiger (Child-Pugh-Klasse B) Leberfunktionsstörung und bei gesunden Kontrollpersonen untersucht. Die systemische Abirateron-Exposition stieg nach einmaliger oraler Gabe von 1.000 mg bei Probanden mit einer vorbestehenden leichten Leberfunktionsstörung um etwa 11% und bei Probanden mit einer vorbestehenden mäßigen Leberfunktionsstörung um 260% an. Die mittlere Halbwertzeit von Abirateron verlängert sich bei Probanden mit einer leichten Leberfunktionsstörung auf etwa 18 Stunden und bei Probanden mit einer mäßigen Leberfunktionsstörung auf etwa 19 Stunden.
In einer weiteren Studie wurde die Pharmakokinetik von Abirateron bei Probanden mit vorbestehender schwerer (Child-Pugh-Klasse C) Leberfunktionsstörung (N=8) und bei 8 gesunden Kontrollprobanden mit normaler Leberfunktion untersucht. Verglichen mit den Probanden mit normaler Leberfunktion stieg bei den Probanden mit einer schweren Leberfunktionsstörung die AUC von Abirateron um etwa 600% an und der Anteil an frei verfügbarem Wirkstoff erhöhte sich um 80%.
Bei Patienten mit vorbestehender leichter Leberfunktionsstörung ist keine Dosisanpassung erforderlich. Die Anwendung von Abirateronacetat soll bei Patienten mit mäßiger Leberfunktionsstörung, bei denen ein Nutzen deutlich das potentielle Risiko überwiegt, sorgfältig überprüft werden (siehe Abschnitte 4.2 und 4.4). Abirateronacetat soll bei Patienten mit schwerer Leberfunktionsstörung nicht angewendet werden (siehe Abschnitte 4.2, 4.3 und 4.4).
Bei Patienten, die während der Behandlung eine Hepatotoxizität entwickeln, kann eine Unterbrechung der Behandlung und eine Dosisanpassung erforderlich sein (siehe Abschnitte 4.2 und 4.4).
Nierenfunktionsstörung
Die Pharmakokinetik von Abirateronacetat wurde bei Patienten mit terminaler Niereninsuffizienz und festem Hämodialyse-Programm gegenüber Kontrollpersonen mit normaler Nierenfunktion nach der matched-pair-Methode verglichen. Die systemische Exposition von Abirateron stieg nach einmaliger oraler Gabe von 1.000 mg bei Personen mit dialysepflichtiger terminaler Niereninsuffizienz nicht an. Die Gabe bei Patienten mit einer Einschränkung der Nierenfunktion, einschließlich einer schweren Einschränkung der Nierenfunktion, erfordert keine Dosisreduktion (siehe Abschnitt 4.2). Allerdings liegen keine klinischen Erfahrungen bei Patienten mit Prostatakarzinom und schwerer Einschränkung der Nierenfunktion vor. Bei diesen Patienten ist Vorsicht geboten.
In allen tierexperimentellen Toxizitätsstudien waren die zirkulierenden Testosteron-Spiegel signifikant reduziert. Infolgedessen wurden eine Reduzierung der Organgewichte, morphologische und/oder histopathologische Veränderungen an Reproduktionsorganen sowie an Nebennieren, Hypophyse und Brustdrüsen beobachtet. Alle Veränderungen waren vollständig oder teilweise reversibel. Die Veränderungen an den Reproduktionsorganen und den Androgen-sensitiven Organen sind konsistent mit der Pharmakologie von Abirateron. Alle mit der Behandlung zusammenhängenden hormonellen Veränderungen waren reversibel oder zeigten sich nach einem Regenerationszeitraum von 4 Wochen rückläufig.
Abirateronacetat führte zu einer Herabsetzung der Fertilität in Reproduktionsstudien an männlichen und weiblichen Ratten, welche sich 4 bis 16 Wochen nach Absetzen des Abirateronacetats vollständig zurückbildete.
In einer Studie an Ratten zur Entwicklungstoxizität beeinflusste Abirateronacetat die Schwangerschaft und führte zu reduziertem Faetalgewicht und Überleben. Es wurden Auswirkungen auf die äußeren Geschlechtsorgane beobachtet, auch wenn Abirateronacetat nicht teratogen war.
In den Studien zur Reproduktions- und Entwicklungstoxizität an Ratten waren alle Veränderungen in Bezug zu der pharmakologischen Wirkung von Abirateron.
Abgesehen von den Veränderungen der Reproduktionsorgane, die in allen tierexperimentellen Toxizitätsstudien beobachtet wurden, lassen die präklinischen Daten, die auf den konventionellen Studien zur Sicherheitspharmakologie, Toxizität bei wiederholter Gabe, Genotoxizität und karzinogenes Potenzial basieren, keine besonderen Gefahren für den Menschen erkennen. In einer 6-monatigen Studie an transgenen Mäusen (Tg.rasH2) war Abirateronacetat nicht karzinogen. In einer 24-monatigen Karzinogenitätsstudie an Ratten erhöhte Abirateronacetat die Inzidenz für Interstitialzell-Neoplasien in den Hoden. Dieses Ergebnis wird mit der pharmakologischen Wirkung von Abirateron in Verbindung gebracht und ist rattenspezifisch. Bei weiblichen Ratten war Abirateronacetat nicht karzinogen.
Der Wirkstoff Abirateron stellt ein Umweltrisiko für die aquatische Umwelt dar, insbesondere für Fische.
Tablettenkern:
Lactose- Monohydrat
mikrokristalline Cellulose
Croscarmellose-Natrium
Hypromellose
Natriumdodecylsulfat
hochdisperses Siliciumdioxid
Magnesiumstearat (Ph. Eur.)
Filmüberzug:
Poly(vinylalkohol)
Titandioxid (E171)
Macrogol
Talkum
Eisen(II,III)-oxid (E172)
Eisen(III)-oxid (E172)
Nicht zutreffend.
2 Jahre.
Für dieses Arzneimittel sind keine besonderen Lagerungsbedingungen erforderlich.
PVC/PVDC/Alu-Blisterpackung mit 60, 90 oder 98 Filmtabletten.
Es werden möglicherweise nicht alle Packungsgrößen in den Verkehr gebracht.
Aufgrund seines Wirkmechanismus kann dieses Arzneimittel den sich entwickelnden Fetus schädigen. Daher sollen Frauen, die schwanger sind oder schwanger sein könnten, es nicht ohne Schutzvorkehrungen, z.B. Handschuhe, handhaben.
Nicht verwendetes Arzneimittel oder Abfallmaterial ist entsprechend den nationalen Anforderungen zu beseitigen. Dieses Arzneimittel kann für die aquatische Umwelt ein Risiko darstellen (siehe Abschnitt 5.3).
Dr. Pfleger Arzneimittel GmbH
Dr.-Robert-Pfleger-Straße 12
96052 Bamberg
Telefon: 0951/6043-0
Telefax: 0951/604329
E-Mail: info@dr-pfleger.de
2204713.00.00
Datum der Erteilung der Zulassung: 09.11.2021
August 2025
Verschreibungspflichtig