Yuflyma® 80 mg Injektionslösung in einer Fertigspritze
Yuflyma® 80 mg Injektionslösung im Fertigpen
Yuflyma 80 mg Injektionslösung in einer Fertigspritze
Jede Einzeldosis-Fertigspritze mit 0,8 ml enthält 80 mg Adalimumab.
Yuflyma 80 mg Injektionslösung im Fertigpen
Jeder Einzeldosis-Fertigpen mit 0,8 ml enthält 80 mg Adalimumab.
Adalimumab ist ein rekombinanter humaner monoklonaler Antikörper, der in Ovarialzellen des Chinesischen Hamsters produziert wird.
Vollständige Auflistung der sonstigen Bestandteile, siehe Abschnitt 6.1.
Injektionslösung (Injektion)
Klare bis leicht opalisierende, farblose bis schwach braune Lösung.
Rheumatoide Arthritis
Yuflyma wird in Kombination mit Methotrexat angewendet zur:
Behandlung der mäßigen bis schweren aktiven rheumatoiden Arthritis bei erwachsenen Patienten, die nur unzureichend auf krankheitsmodifizierende Antirheumatika, einschließlich Methotrexat, angesprochen haben.
Behandlung der schweren, aktiven und progressiven rheumatoiden Arthritis bei Erwachsenen, die zuvor nicht mit Methotrexat behandelt worden sind.
Yuflyma kann im Falle einer Unverträglichkeit gegenüber Methotrexat, oder wenn die weitere Behandlung mit Methotrexat nicht sinnvoll ist, als Monotherapie angewendet werden.
Adalimumab reduziert in Kombination mit Methotrexat das Fortschreiten der radiologisch nachweisbaren strukturellen Gelenkschädigungen und verbessert die körperliche Funktionsfähigkeit.
Psoriasis
Yuflyma wird angewendet zur Behandlung der mittelschweren bis schweren chronischen Plaque-Psoriasis bei erwachsenen Patienten, die Kandidaten für eine systemische Therapie sind.
Hidradenitis suppurativa (Acne inversa)
Yuflyma wird angewendet zur Behandlung der mittelschweren bis schweren aktiven Hidradenitis suppurativa (HS) bei Erwachsenen und Jugendlichen ab einem Alter von 12 Jahren, die unzureichend auf eine konventionelle systemische HS‑Therapie ansprechen (siehe Abschnitte 5.1 und 5.2).
Morbus Crohn
Yuflyma wird angewendet zur Behandlung des mittelschweren bis schweren, aktiven Morbus Crohn bei erwachsenen Patienten, die trotz einer vollständigen und adäquaten Therapie mit einem Kortikosteroid und/oder einem Immunsuppressivum nicht ausreichend angesprochen haben oder die eine Unverträglichkeit gegenüber einer solchen Therapie haben oder bei denen eine solche Therapie kontraindiziert ist.
Morbus Crohn bei Kindern und Jugendlichen
Yuflyma wird angewendet zur Behandlung des mittelschweren bis schweren, aktiven Morbus Crohn bei Kindern und Jugendlichen (ab dem Alter von 6 Jahren), die nur unzureichend auf eine konventionelle Therapie, einschließlich primärer Ernährungstherapie und einem Kortikosteroid und/oder einem Immunsuppressivum, angesprochen haben oder die eine Unverträglichkeit gegenüber einer solchen Therapie haben oder bei denen eine solche Therapie kontraindiziert ist.
Colitis ulcerosa
Yuflyma wird angewendet zur Behandlung der mittelschweren bis schweren aktiven Colitis ulcerosa bei erwachsenen Patienten, die auf eine konventionelle Therapie, einschließlich Kortikosteroiden und 6‑Mercaptopurin (6‑MP) oder Azathioprin (AZA), unzureichend angesprochen haben oder die eine Unverträglichkeit gegenüber einer solchen Therapie haben oder bei denen eine solche Therapie kontraindiziert ist.
Colitis ulcerosa bei Kindern und Jugendlichen
Yuflyma wird angewendet zur Behandlung der mittelschweren bis schweren aktiven Colitis ulcerosa bei Kindern und Jugendlichen (ab dem Alter von 6 Jahren), die nur unzureichend auf eine konventionelle Therapie, einschließlich Kortikosteroiden und/oder 6‑Mercaptopurin (6‑MP) oder Azathioprin (AZA), angesprochen haben oder die eine Unverträglichkeit gegenüber einer solchen Therapie haben oder bei denen eine solche Therapie kontraindiziert ist.
Uveitis
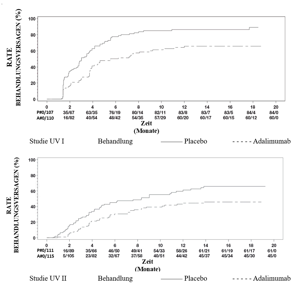
Yuflyma wird angewendet zur Behandlung der nicht infektiösen Uveitis intermedia, Uveitis posterior und Panuveitis bei erwachsenen Patienten, die nur unzureichend auf Kortikosteroide angesprochen haben, eine Kortikosteroid sparende Behandlung benötigen oder für die eine Behandlung mit Kortikosteroiden nicht geeignet ist.
Uveitis bei Kindern und Jugendlichen
Yuflyma wird angewendet zur Behandlung der chronischen nicht infektiösen Uveitis anterior bei Kindern und Jugendlichen ab dem Alter von 2 Jahren, die unzureichend auf eine konventionelle Therapie angesprochen haben oder die eine Unverträglichkeit gegenüber einer solchen Therapie haben oder für die eine konventionelle Therapie nicht geeignet ist.
Die Behandlung mit Yuflyma sollte von einem Facharzt mit Erfahrung in der Diagnose und Behandlung von Krankheitszuständen, für die Yuflyma indiziert ist, eingeleitet und überwacht werden. Augenärzten wird angeraten, vor der Einleitung einer Yuflyma-Therapie einen entsprechenden Spezialisten zurate zu ziehen (siehe Abschnitt 4.4). Patienten, die mit Yuflyma behandelt werden, sollte der spezielle Patientenpass ausgehändigt werden.
Nach einer entsprechenden Einweisung in die Injektionstechnik können Patienten Yuflyma selbst injizieren, falls ihr Arzt dies für angemessen hält und medizinische Nachuntersuchungen nach Bedarf erfolgen.
Während der Behandlung mit Yuflyma sollten andere Begleittherapien (z. B. Kortikosteroide und/oder Immunsuppressiva) optimiert werden.
Dosierung
Rheumatoide Arthritis
Bei erwachsenen Patienten mit rheumatoider Arthritis beträgt die empfohlene Dosis von Yuflyma 40 mg Adalimumab, die jede zweite Woche als Einzeldosis subkutan injiziert wird. Die Anwendung von Methotrexat sollte während der Behandlung mit Yuflyma fortgesetzt werden.
Die Gabe von Kortikosteroiden, Salizylaten, nicht steroidalen Antiphlogistika oder Analgetika kann während der Behandlung mit Yuflyma fortgesetzt werden. Bezüglich der Kombination mit anderen krankheitsmodifizierenden Antirheumatika als Methotrexat siehe Abschnitte 4.4 und 5.1.
Einige der Patienten, die ausschließlich mit Yuflyma behandelt werden und nur unzureichend auf Yuflyma 40 mg jede zweite Woche ansprechen, könnten von einer Erhöhung der Dosierung auf 40 mg Adalimumab jede Woche oder 80 mg jede zweite Woche profitieren.
Die verfügbaren Daten weisen darauf hin, dass ein klinisches Ansprechen üblicherweise innerhalb von 12 Behandlungswochen erreicht wird. Die Fortsetzung der Therapie sollte bei einem Patienten, der innerhalb dieser Zeitspanne nicht anspricht, nochmals überdacht werden.
Psoriasis
Die empfohlene Dosierung von Yuflyma für erwachsene Patienten mit Psoriasis beträgt 80 mg Adalimumab, subkutan als Induktionsdosis verabreicht, gefolgt von 40 mg Adalimumab subkutan jede zweite Woche, beginnend eine Woche nach der Induktionsdosis. Für die Erhaltungsdosis steht Yuflyma 40 mg Injektionslösung als Fertigspritze und/oder Fertigpen zur Verfügung.
Bei Patienten, die 16 Wochen lang nicht auf die Therapie angesprochen haben, sollte eine Weiterbehandlung sorgfältig geprüft werden.
Nach 16 Wochen kann bei Patienten, die unzureichend auf Yuflyma 40 mg jede zweite Woche ansprechen, eine Erhöhung der Dosierung auf 40 mg jede Woche oder 80 mg jede zweite Woche von Nutzen sein. Bei Patienten, die auch nach Erhöhung der Dosierung unzureichend ansprechen, sollten Nutzen und Risiko einer fortgesetzten Behandlung mit 40 mg jede Woche oder 80 mg jede zweite Woche sorgfältig abgewogen werden (siehe Abschnitt 5.1). Bei Erreichen eines ausreichenden Ansprechens mit 40 mg jede Woche oder 80 mg jede zweite Woche kann die Dosierung anschließend auf 40 mg jede zweite Woche reduziert werden.
Hidradenitis suppurativa
Die empfohlene Dosis von Yuflyma für erwachsene Patienten mit Hidradenitis suppurativa (HS) beträgt anfänglich 160 mg an Tag 1 (verabreicht als zwei Injektionen von 80 mg innerhalb eines Tages oder als eine Injektion von 80 mg pro Tag an zwei aufeinanderfolgenden Tagen), gefolgt von 80 mg zwei Wochen später an Tag 15. Zwei Wochen später (Tag 29) wird die Behandlung mit einer Dosis von 40 mg jede Woche oder 80 mg jede zweite Woche fortgesetzt. Falls notwendig, kann eine Antibiotikatherapie während der Behandlung mit Yuflyma weitergeführt werden. Es wird empfohlen, dass die Patienten während der Behandlung mit Yuflyma täglich eine topische antiseptische Waschlösung an ihren HS‑Läsionen anwenden.
Eine Fortsetzung der Therapie länger als 12 Wochen sollte sorgfältig abgewogen werden bei Patienten, die innerhalb dieser Zeitspanne keine Verbesserung zeigen.
Sollte eine Unterbrechung der Behandlung erforderlich sein, kann wieder mit einer Behandlung mit Yuflyma 40 mg jede Woche oder 80 mg jede zweite Woche begonnen werden (siehe Abschnitt 5.1).
Nutzen und Risiko einer Langzeitbehandlung sollten regelmäßig beurteilt werden (siehe Abschnitt 5.1).
Morbus Crohn
Die empfohlene Induktionsdosis für Yuflyma beträgt bei Erwachsenen mit mittelschwerem bis schwerem, aktivem Morbus Crohn 80 mg in Woche 0, gefolgt von 40 mg in Woche 2. Ist ein schnelleres Ansprechen auf die Therapie erforderlich, kann die Dosis auf 160 mg in Woche 0 (verabreicht als zwei Injektionen von 80 mg innerhalb eines Tages oder als eine Injektion von 80 mg pro Tag an zwei aufeinanderfolgenden Tagen) gefolgt von 80 mg in Woche 2 erhöht werden, allerdings sollte beachtet werden, dass dies das Risiko für unerwünschte Ereignisse während der Therapieeinleitung erhöht.
Nach der Induktionsbehandlung beträgt die empfohlene Dosis 40 mg als subkutane Injektion jede zweite Woche. Wenn Yuflyma abgesetzt wurde, kann es erneut verabreicht werden, wenn die Anzeichen und Symptome der Erkrankung wieder auftreten. Zu einer erneuten Verabreichung nach mehr als 8 Wochen seit der letzten Dosis liegen nur wenige Erfahrungen vor.
Während der Erhaltungstherapie können Kortikosteroide gemäß den klinischen Empfehlungen ausgeschlichen werden.
Einige Patienten, bei deren Behandlung mit Yuflyma 40 mg jede zweite Woche ein Wirkverlust auftritt, können von einer Erhöhung der Dosierung auf 40 mg jede Woche oder 80 mg jede zweite Woche profitieren.
Einige Patienten, die bis Woche 4 noch nicht auf die Therapie angesprochen haben, können von einer Weiterführung der Erhaltungstherapie bis Woche 12 profitieren. Eine weitere Behandlung von Patienten, die in diesem Zeitraum nicht auf die Therapie angesprochen haben, sollte sorgfältig abgewogen werden.
Colitis ulcerosa
Die empfohlene Induktionsdosis für Yuflyma beträgt bei erwachsenen Patienten mit mittelschwerer bis schwerer Colitis ulcerosa 160 mg in Woche 0 (verabreicht als zwei Injektionen von 80 mg innerhalb eines Tages oder als eine Injektion von 80 mg pro Tag an zwei aufeinanderfolgenden Tagen) und 80 mg in Woche 2. Nach der Induktionsbehandlung beträgt die empfohlene Dosis 40 mg als subkutane Injektion jede zweite Woche.
Während der Erhaltungstherapie können Kortikosteroide gemäß den klinischen Empfehlungen ausgeschlichen werden.
Einige Patienten, bei deren Behandlung mit Yuflyma 40 mg jede zweite Woche ein Wirkverlust auftritt, können von einer Erhöhung der Dosierung auf 40 mg jede Woche oder 80 mg jede zweite Woche profitieren.
Die vorhandenen Daten legen nahe, dass ein klinisches Ansprechen gewöhnlich innerhalb von 2 bis 8 Behandlungswochen erreicht wird. Bei Patienten, die in dieser Zeit nicht ansprechen, sollte die Behandlung mit Yuflyma nicht fortgesetzt werden.
Uveitis
Die empfohlene Dosierung von Yuflyma für erwachsene Patienten mit Uveitis beträgt 80 mg als Induktionsdosis, gefolgt von 40 mg alle zwei Wochen, beginnend eine Woche nach der Induktionsdosis. Für die Erhaltungsdosis steht Yuflyma 40 mg als Fertigspritze und/oder Fertigpen zur Verfügung. Es liegen nur begrenzte Erfahrungen zur Einleitung von Adalimumab als Monotherapie vor. Die Behandlung mit Yuflyma kann in Kombination mit Kortikosteroiden und/oder anderen nicht biologischen Immunsuppressiva eingeleitet werden. Eine begleitende Anwendung von Kortikosteroiden kann gemäß gängiger klinischer Praxis ab zwei Wochen nach der Einleitung der Behandlung mit Yuflyma ausgeschlichen werden.
Es wird empfohlen, Nutzen und Risiko einer Langzeitbehandlung jährlich zu beurteilen (siehe Abschnitt 5.1).
Besondere Patientengruppen
Ältere Patienten
Eine Dosisanpassung ist nicht erforderlich.
Nieren- und/oder Leberfunktionsstörungen
Adalimumab wurde in dieser Patientengruppe nicht untersucht. Eine Dosisempfehlung kann nicht gegeben werden.
Kinder und Jugendliche
Plaque-Psoriasis bei Kindern und Jugendlichen
Die Sicherheit und Wirksamkeit von Yuflyma bei Kindern und Jugendlichen im Alter von 4 bis 17 Jahren wurden für die Indikation Plaque-Psoriasis untersucht. Die empfohlene Dosis von Yuflyma beträgt maximal 40 mg je Dosis.
Hidradenitis suppurativa bei Jugendlichen (ab 12 Jahren und mit einem Gewicht von mindestens 30 kg)
Es gibt keine klinischen Studien mit Adalimumab bei jugendlichen Patienten mit Hidradenitis suppurativa (HS). Die Dosierung von Adalimumab bei diesen Patienten wurde in pharmakokinetischen Modellen und Simulationen bestimmt (siehe Abschnitt 5.2).
Die empfohlene Dosis von Yuflyma beträgt 80 mg in Woche 0, gefolgt von 40 mg jede zweite Woche ab Woche 1 als subkutane Injektion.
Bei jugendlichen Patienten, die unzureichend auf 40 mg Yuflyma jede zweite Woche ansprechen, kann eine Erhöhung der Dosierung auf 40 mg jede Woche oder 80 mg jede zweite Woche erwogen werden.
Falls notwendig, kann eine Antibiotikatherapie während der Behandlung mit Yuflyma weitergeführt werden. Es wird empfohlen, dass die Patienten während der Behandlung mit Yuflyma täglich eine topische antiseptische Waschlösung an ihren HS‑Läsionen anwenden.
Eine Fortsetzung der Therapie länger als 12 Wochen sollte sorgfältig abgewogen werden bei Patienten, die innerhalb dieser Zeitspanne keine Verbesserung zeigen.
Sollte eine Unterbrechung der Behandlung erforderlich sein, kann Yuflyma nach Bedarf erneut gegeben werden.
Nutzen und Risiko einer fortgesetzten Langzeitbehandlung sollten regelmäßig beurteilt werden (siehe Daten zu Erwachsenen in Abschnitt 5.1).
Es gibt in dieser Indikation keinen relevanten Nutzen von Adalimumab bei Kindern, die jünger als 12 Jahre sind.
Morbus Crohn bei Kindern und Jugendlichen
Die empfohlene Dosis von Yuflyma für Patienten mit Morbus Crohn im Alter von 6 bis 17 Jahren wird anhand des Körpergewichts bestimmt (Tabelle 1). Yuflyma wird subkutan injiziert.
Tabelle 1: Adalimumab-Dosis für Kinder und Jugendliche mit Morbus Crohn
Gewicht des Patienten |
Induktionsdosis |
Erhaltungsdosis, beginnend in Woche 4 |
< 40 kg |
In Fällen, in denen ein schnelleres Ansprechen auf die Therapie erforderlich ist, kann – unter Berücksichtigung, dass bei einer höheren Induktionsdosis auch das Risiko für Nebenwirkungen höher sein kann – folgende Dosis angewandt werden:
|
20 mg jede zweite Woche |
≥ 40 kg |
In Fällen, in denen ein schnelleres Ansprechen auf die Therapie erforderlich ist, kann – unter Berücksichtigung, dass bei einer höheren Induktionsdosis auch das Risiko für Nebenwirkungen höher sein kann – folgende Dosis angewandt werden:
|
40 mg jede zweite Woche |
Patienten, die unzureichend ansprechen, können unter Umständen von einer Erhöhung der Dosierung profitieren:
< 40 kg: 20 mg jede Woche
≥ 40 kg: 40 mg jede Woche oder 80 mg jede zweite Woche
Die Fortsetzung der Therapie sollte bei einem Patienten, der bis Woche 12 nicht angesprochen hat, nochmals sorgfältig überdacht werden.
Es gibt in dieser Indikation keinen relevanten Nutzen von Adalimumab bei Kindern, die jünger als 6 Jahre sind.
Colitis ulcerosa bei Kindern und Jugendlichen
Die empfohlene Dosis von Yuflyma für Patienten im Alter von 6 bis 17 Jahren mit Colitis ulcerosa wird anhand des Körpergewichts bestimmt (Tabelle 2). Yuflyma wird subkutan injiziert.
Tabelle 2: Yuflyma-Dosis für Kinder und Jugendliche mit Colitis ulcerosa
Gewicht des Patienten |
Induktionsdosis |
Erhaltungsdosis, |
< 40 kg |
|
|
≥ 40 kg |
|
|
* Kinder, die 18 Jahre alt werden, während sie mit Yuflyma behandelt werden, sollen die jeweils verordnete Erhaltungsdosis beibehalten. | ||
Die Fortsetzung der Therapie länger als 8 Wochen sollte bei Patienten, die innerhalb dieser Zeitspanne keine Anzeichen eines Ansprechens aufweisen, sorgfältig abgewogen werden.
Es gibt in dieser Indikation keinen relevanten Nutzen von Adalimumab bei Kindern, die jünger als 6 Jahre sind.
Uveitis bei Kindern und Jugendlichen
Die empfohlene Dosis von Yuflyma bei Kindern und Jugendlichen mit Uveitis ab einem Alter von 2 Jahren wird anhand des Körpergewichts bestimmt (Tabelle 3). Yuflyma wird subkutan injiziert.
Es gibt keine Erfahrungen für die Behandlung der Uveitis bei Kindern und Jugendlichen mit Adalimumab ohne die gleichzeitige Behandlung mit Methotrexat.
Tabelle 3: Yuflyma-Dosis für Kinder und Jugendliche mit Uveitis
Gewicht des Patienten |
Dosierungsschema |
< 30 kg |
20 mg jede zweite Woche in Kombination mit Methotrexat |
≥ 30 kg |
40 mg jede zweite Woche in Kombination mit Methotrexat |
Wenn mit der Yuflyma-Therapie begonnen wird, kann eine Woche vor Beginn der Erhaltungstherapie eine Induktionsdosis von 40 mg bei Patienten < 30 kg bzw. 80 mg bei Patienten ≥ 30 kg verabreicht werden.
Zur Anwendung einer Adalimumab-Induktionsdosis bei Kindern < 6 Jahren sind keine klinischen Daten vorhanden (siehe Abschnitt 5.2).
Für diese Indikation gibt es bei Kindern, die jünger als 2 Jahre sind, keine relevante Anwendung von Adalimumab.
Es wird empfohlen, Nutzen und Risiko einer Langzeitbehandlung jährlich zu beurteilen (siehe Abschnitt 5.1).
Art der Anwendung
Yuflyma wird mittels subkutaner Injektion verabreicht.
Die vollständige Anweisung für die Anwendung befindet sich in der Packungsbeilage.
Yuflyma ist auch in anderen Stärken und Darreichungsformen verfügbar.
Überempfindlichkeit gegen den Wirkstoff oder einen der in Abschnitt 6.1 genannten sonstigen Bestandteile.
Aktive Tuberkulose oder andere schwere Infektionen wie Sepsis und opportunistische Infektionen (siehe Abschnitt 4.4).
Mäßige bis schwere Herzinsuffizienz (NYHA‑Klasse III/IV) (siehe Abschnitt 4.4).
Rückverfolgbarkeit
Um die Rückverfolgbarkeit biologischer Arzneimittel zu verbessern, müssen die Bezeichnung des Arzneimittels und die Chargenbezeichnung des angewendeten Arzneimittels eindeutig dokumentiert werden.
Infektionen
Patienten, die mit TNF-Antagonisten behandelt werden, sind für schwere Infektionen empfänglicher. Eine beeinträchtigte Lungenfunktion kann das Risiko für die Entwicklung von Infektionen erhöhen. Patienten müssen daher im Hinblick auf Infektionen, einschließlich Tuberkulose, vor, während und nach der Behandlung mit Yuflyma engmaschig überwacht werden. Da die Elimination von Adalimumab bis zu vier Monate dauern kann, sollte die Überwachung über diesen Zeitraum fortgesetzt werden.
Eine Behandlung mit Yuflyma sollte bei Patienten mit aktiven Infektionen, einschließlich chronischer oder lokalisierter Infektionen, erst eingeleitet werden, wenn die Infektionen unter Kontrolle sind. Bei Patienten, die Tuberkulose ausgesetzt waren und bei Patienten, die in Hochrisikogebiete von Tuberkulose oder von endemischen Mykosen wie z. B. Histoplasmose, Kokzidioidomykose oder Blastomykose gereist sind, müssen vor Beginn der Therapie Risiko und Vorteile einer Behandlung mit Yuflyma sorgfältig überdacht werden (siehe Andere opportunistische Infektionen).
Patienten, bei denen sich unter Behandlung mit Yuflyma eine neue Infektion entwickelt, sollten engmaschig beobachtet werden und sich einer vollständigen diagnostischen Beurteilung unterziehen. Tritt bei einem Patienten eine schwere Infektion oder Sepsis neu auf, sollte Yuflyma so lange abgesetzt werden und eine geeignete antibakterielle oder antimykotische Therapie eingeleitet werden, bis die Infektion unter Kontrolle ist. Bei Patienten mit anamnestisch bekannten rezidivierenden Infektionen sowie mit Grunderkrankungen und Begleitmedikationen, die das Entstehen von Infektionen begünstigen, darunter auch die medikamentöse Behandlung mit Immunsuppressiva, sollte die Anwendung von Yuflyma durch den behandelnden Arzt mit Vorsicht abgewogen werden.
Schwere Infektionen
Schwere Infektionen einschließlich Sepsis aufgrund von bakteriellen, mykobakteriellen, invasiven Pilz-, Parasiten-, viralen oder anderen opportunistischen Infektionen, wie z. B. Listeriose, Legionellose und Pneumocystisinfektion, sind im Zusammenhang mit Adalimumab beschrieben worden.
Andere schwere Infektionen in klinischen Studien schließen Pneumonie, Pyelonephritis, septische Arthritis und Septikämie ein. Über Hospitalisierung oder Todesfälle in Verbindung mit Infektionen wurde berichtet.
Tuberkulose
Es gab Berichte von Tuberkulose, einschließlich Reaktivierung und Tuberkuloseneuerkrankungen, bei Patienten, die Adalimumab erhielten. Die Berichte umfassten pulmonale und extrapulmonale (d. h. disseminierte) Tuberkulosefälle.
Vor Beginn der Behandlung mit Yuflyma müssen alle Patienten sowohl auf aktive als auch auf inaktive („latente“) Tuberkuloseinfektionen untersucht werden. Zu dieser Untersuchung gehört eine eingehende medizinische Anamnese des Patienten. Diese sollte eine persönliche Tuberkulosevorerkrankung, mögliche frühere Kontakte zu Personen mit aktiver Tuberkulose und eine frühere bzw. derzeitige Behandlung mit Immunsuppressiva abklären. Geeignete Screeningtests (d. h. Tuberkulinhauttest und Röntgen-Thoraxaufnahme) sollten bei allen Patienten durchgeführt werden (nationale Empfehlungen sollten befolgt werden). Es wird empfohlen, die Durchführung und Ergebnisse dieser Tests auf dem Patientenpass zu dokumentieren. Verschreibende Ärzte werden an das Risiko der falsch negativen Ergebnisse des Tuberkulinhauttests, insbesondere bei schwer erkrankten oder immunsupprimierten Patienten, erinnert.
Wird eine aktive Tuberkulose diagnostiziert, darf die Behandlung mit Yuflyma nicht eingeleitet werden (siehe Abschnitt 4.3).
In allen nachstehend beschriebenen Situationen sollte das Nutzen-Risiko-Verhältnis einer Yuflyma-Therapie sehr sorgfältig abgewogen werden.
Bei Verdacht auf latente Tuberkulose sollte ein in der Tuberkulosebehandlung erfahrener Arzt aufgesucht werden.
Wird eine latente Tuberkulose diagnostiziert, muss vor der ersten Gabe von Yuflyma eine geeignete Tuberkuloseprophylaxe entsprechend den nationalen Empfehlungen begonnen werden.
Eine Tuberkuloseprophylaxe vor Beginn der Behandlung mit Yuflyma sollte ebenfalls bei Patienten erwogen werden, bei denen trotz negativem Tuberkulosetest mehrere oder signifikante Risikofaktoren für Tuberkulose gegeben sind und bei Patienten mit anamnestisch bekannter latenter oder aktiver Tuberkulose, wenn unklar ist, ob eine adäquate Behandlung durchgeführt wurde.
Trotz Tuberkuloseprophylaxe sind Fälle von Tuberkulosereaktivierung bei Patienten, die mit Adalimumab behandelt wurden, aufgetreten. Einige Patienten, die zuvor erfolgreich gegen aktive Tuberkulose behandelt worden waren, entwickelten unter der Behandlung mit Adalimumab erneut eine Tuberkulose.
Die Patienten sind anzuweisen, ärztlichen Rat einzuholen, falls es während oder nach der Behandlung mit Yuflyma zu klinischen Anzeichen/Symptomen kommt, die auf eine Tuberkuloseinfektion hinweisen (z. B. anhaltender Husten, Kräfteschwund/Gewichtsverlust, leicht erhöhte Körpertemperatur, Teilnahmslosigkeit).
Andere opportunistische Infektionen
Opportunistische Infektionen, einschließlich invasiver Pilzinfektionen, wurden bei Patienten beobachtet, die Adalimumab erhielten. Diese Infektionen wurden nicht lückenlos bei Patienten erkannt, die TNF‑Antagonisten anwendeten. Dies führte zu Verzögerungen bei der geeigneten Therapie, manchmal mit tödlichem Ausgang.
Bei Patienten, die Anzeichen oder Symptome wie z. B. Fieber, Unwohlsein, Gewichtsverlust, Schweißausbrüche, Husten, Atemnot und/oder Lungeninfiltrate oder eine andere schwere systemische Erkrankung mit oder ohne gleichzeitigem Schock entwickeln, ist eine invasive Pilzinfektion zu befürchten. Die Verabreichung von Yuflyma muss sofort unterbrochen werden. Bei diesen Patienten sollten die Diagnose und die Einleitung einer empirischen Antimykotikatherapie mit einem Arzt abgesprochen werden, der in der Behandlung von Patienten mit invasiven Pilzinfektionen Erfahrung hat.
Hepatitis-B-Reaktivierung
Die Reaktivierung einer Hepatitis B trat bei Patienten auf, die einen TNF‑Antagonisten, einschließlich Adalimumab, erhielten und chronische Träger dieses Virus waren [d. h. HBV-Oberflächenantigen-positiv, (HBV surface antigen (HBsAg)-positive)).] Einige Fälle nahmen einen tödlichen Ausgang. Patienten müssen vor Beginn der Therapie mit Yuflyma auf eine HBV‑Infektion untersucht werden. Patienten, die positiv auf eine Hepatitis‑B-Infektion getestet wurden, sollten Rücksprache mit einem Arzt halten, der Fachkenntnisse zur Behandlung von Hepatitis B hat.
Träger von HBV, die eine Behandlung mit Yuflyma benötigen, müssen engmaschig auf Anzeichen und Symptome einer aktiven HBV-Infektion sowohl während der gesamten Therapie als auch mehrere Monate nach Beendigung der Therapie überwacht werden. Es gibt keine ausreichenden Daten zur Vorbeugung einer HBV-Reaktivierung durch eine antivirale Therapie bei Patienten, die mit TNF-Antagonisten behandelt werden und Träger von HBV sind. Patienten, bei denen eine HBV-Reaktivierung auftritt, müssen Yuflyma absetzen und eine effektive antivirale Therapie mit geeigneter unterstützender Behandlung muss eingeleitet werden.
Neurologische Ereignisse
TNF-Antagonisten, einschließlich Adalimumab, wurden in seltenen Fällen mit dem neuen Auftreten oder der Verstärkung der klinischen Symptomatik und/oder dem radiologischen Nachweis von demyelinisierenden Erkrankungen im zentralen Nervensystem, einschließlich multipler Sklerose und Optikusneuritis, und demyelinisierenden Erkrankungen im peripheren Nervensystem, einschließlich Guillain-Barré-Syndrom, in Verbindung gebracht. Die Verordnung von Yuflyma sollte bei Patienten mit vorbestehenden oder beginnenden demyelinisierenden Erkrankungen des ZNS oder des peripheren Nervensystems vom verschreibenden Arzt sorgfältig abgewogen werden. Tritt eine dieser Erkrankungen auf, sollte in Betracht gezogen werden, Yuflyma abzusetzen. Es besteht ein bekannter Zusammenhang zwischen einer Uveitis intermedia und demyelinisierenden Erkrankungen des ZNS. Patienten mit nicht infektiöser Uveitis intermedia sollten vor der Einleitung einer Yuflyma-Therapie und regelmäßig während der Behandlung neurologisch untersucht werden, um vorbestehende oder beginnende demyelinisierende Erkrankungen des ZNS zu erfassen.
Allergische Reaktionen
In klinischen Studien waren schwerwiegende allergische Reaktionen in Verbindung mit Adalimumab selten. Nicht schwerwiegende allergische Reaktionen im Zusammenhang mit Adalimumab wurden in klinischen Studien gelegentlich beobachtet. Es gibt Berichte zum Auftreten von schwerwiegenden allergischen Reaktionen, einschließlich anaphylaktischer Reaktionen, nach Verabreichung von Adalimumab. Falls eine anaphylaktische Reaktion oder andere schwerwiegende allergische Reaktionen auftreten, sollte Yuflyma sofort abgesetzt und eine geeignete Behandlung eingeleitet werden.
Immunsuppression
In einer Studie mit 64 Patienten mit rheumatoider Arthritis, die mit Adalimumab behandelt wurden, ergab sich kein Beleg für eine Abschwächung der Überempfindlichkeitsreaktion vom verzögerten Typ, für eine Abnahme der Immunglobulinkonzentration oder für Veränderungen der Zahl von Effektor‑T-, B-, NK‑Zellen, Monozyten/Makrophagen und neutrophilen Granulozyten.
Maligne und lymphoproliferative Erkrankungen
Innerhalb kontrollierter Phasen von klinischen Studien mit TNF‑Antagonisten wurden mehr Fälle von malignen Erkrankungen, einschließlich Lymphome, bei Patienten unter TNF-Antagonisten im Vergleich zu Kontrollpatienten beobachtet. Allerdings war das Auftreten selten. In der Phase nach Markteinführung wurden Fälle von Leukämie bei Patienten, die mit einem TNF‑Antagonisten behandelt wurden, berichtet. Die Risikoeinschätzung wird dadurch erschwert, dass bei Patienten mit langjährig bestehender rheumatoider Arthritis und hoch aktiver, entzündlicher Erkrankung ein erhöhtes Grundrisiko für Lymphome und Leukämie besteht. Nach dem derzeitigen Kenntnisstand kann ein mögliches Risiko für die Entwicklung von Lymphomen, Leukämie und anderen malignen Erkrankungen bei Patienten, die mit TNF‑Antagonisten behandelt werden, nicht ausgeschlossen werden.
Bei Kindern, Jugendlichen und jungen Erwachsenen (bis 22 Jahre), die mit TNF‑Antagonisten (einschließlich Adalimumab in der Phase nach der Markteinführung) behandelt wurden (Therapieeinleitung ≤ 18 Jahre), wurden maligne Erkrankungen, von denen einige tödlich waren, berichtet. Annähernd die Hälfte der Fälle waren Lymphome. Die anderen Fälle stellten eine Vielfalt verschiedener maligner Erkrankungen dar und umfassten auch seltene maligne Erkrankungen, die üblicherweise mit Immunsuppression in Verbindung gebracht werden. Bei Kindern und Jugendlichen kann unter der Behandlung mit TNF‑Antagonisten ein Risiko für die Entwicklung maligner Erkrankungen nicht ausgeschlossen werden.
Nach Markteinführung wurden bei Patienten, die mit Adalimumab behandelt wurden, seltene Fälle von hepatosplenalen T‑Zell-Lymphomen beobachtet. Diese seltene Form eines T‑Zell-Lymphoms hat einen sehr aggressiven Krankheitsverlauf und führt in der Regel zum Tode. Einige der hepatosplenalen T-Zell-Lymphome sind bei jungen Erwachsenen aufgetreten, die Adalimumab in Kombination mit Azathioprin oder 6‑Mercaptopurin zur Behandlung einer chronisch entzündlichen Darmerkrankung erhielten. Ein mögliches Risiko von Yuflyma in Kombination mit Azathioprin oder 6‑Mercaptopurin sollte sorgfältig geprüft werden. Es kann nicht ausgeschlossen werden, dass bei Patienten, die mit Yuflyma behandelt werden, ein Risiko für die Entwicklung eines hepatosplenalen T‑Zell-Lymphoms besteht (siehe Abschnitt 4.8).
Es wurden keine Studien durchgeführt, in die Patienten mit einer malignen Erkrankung in der Vorgeschichte eingeschlossen wurden oder in denen die Behandlung mit Adalimumab bei Patienten fortgesetzt wurde, nachdem sich eine maligne Erkrankung entwickelte. Daher sollte zusätzliche Vorsicht bei der Behandlung dieser Patienten mit Yuflyma angewandt werden (siehe Abschnitt 4.8).
Alle Patienten, insbesondere Patienten mit einer intensiven immunsuppressiven Therapie in der Vorgeschichte oder Psoriasispatienten, die zuvor eine PUVA-Therapie erhalten haben, sollten vor und während der Behandlung mit Yuflyma auf das Vorliegen von nicht melanomartigen Hauttumoren untersucht werden. Ebenso wurde das Auftreten von Melanomen und Merkelzellkarzinomen bei Patienten, die mit TNF‑Antagonisten, einschließlich Adalimumab, behandelt wurden, berichtet (siehe Abschnitt 4.8).
In einer exploratorischen klinischen Studie zur Evaluierung der Anwendung eines anderen TNF‑Antagonisten, Infliximab, bei Patienten mit mäßiger bis schwerer chronischer obstruktiver Lungenerkrankung (chronic obstructive pulmonary disease, COPD) wurden bei mit Infliximab behandelten Patienten im Vergleich zu Kontrollpatienten mehr maligne Erkrankungen, meistens der Lunge oder des Kopfes und Halses, berichtet. Alle Patienten waren in der Vorgeschichte starke Raucher. Daher müssen TNF‑Antagonisten bei COPD-Patienten mit Vorsicht angewendet werden, ebenso bei Patienten mit erhöhtem Risiko für maligne Erkrankungen als Folge starken Rauchens.
Nach der aktuellen Datenlage ist nicht bekannt, ob eine Adalimumab-Behandlung das Risiko für die Entwicklung von Dysplasien oder kolorektalen Karzinomen beeinflusst. Alle Patienten mit Colitis ulcerosa, die ein erhöhtes Risiko für Dysplasien oder kolorektales Karzinom haben (z. B. Patienten mit lange bestehender Colitis ulcerosa oder primär sklerosierender Cholangitis), oder die eine Vorgeschichte für Dysplasie oder kolorektales Karzinom hatten, sollten vor der Therapie und während des Krankheitsverlaufs in regelmäßigen Intervallen auf Dysplasien untersucht werden. Die Untersuchung sollte Koloskopie und Biopsien entsprechend der nationalen Empfehlungen umfassen.
Hämatologische Reaktionen
Im Zusammenhang mit TNF‑Antagonisten wurde in seltenen Fällen über das Auftreten von Panzytopenie, einschließlich aplastischer Anämie, berichtet. Unerwünschte Ereignisse des blutbildenden Systems, einschließlich medizinisch signifikanter Zytopenie (z. B. Thrombozytopenie, Leukopenie), wurden unter Adalimumab berichtet. Alle Patienten sollten darauf hingewiesen werden, dass sie sofort einen Arzt aufsuchen sollten, wenn sie unter der Yuflyma-Therapie Anzeichen und Symptome entwickeln, die auf eine Blutdyskrasie hindeuten (z. B. anhaltendes Fieber, Blutergüsse, Blutung, Blässe). Bei Patienten mit bestätigten signifikanten hämatologischen Abnormalitäten sollte eine Unterbrechung der Yuflyma-Therapie in Betracht gezogen werden.
Impfungen
Vergleichbare Antikörperantworten auf einen 23‑valenten Standardpneumokokkenimpfstoff und einen trivalenten Influenzaimpfstoff wurden in einer Studie bei 226‑Erwachsenen mit rheumatoider Arthritis, die mit Adalimumab oder Placebo behandelt wurden, beobachtet. Es liegen keine Daten vor über eine sekundäre Infektionsübertragung durch Lebendimpfstoffe bei Patienten, die Adalimumab erhielten.
Bei Kindern und Jugendlichen wird empfohlen, nach Möglichkeit vor Therapiebeginn mit Yuflyma alle Immunisierungen in Übereinstimmung mit den gegenwärtigen Richtlinien auf den aktuellen Stand zu bringen.
Patienten können gleichzeitig zur Yuflyma-Therapie Impfungen erhalten, mit Ausnahme von Lebendimpfstoffen. Die Verabreichung von Lebendimpfstoffen (z. B. BCG‑Vakzine) an Säuglinge, die in utero Adalimumab ausgesetzt waren, ist für 5 Monate nach der letzten Gabe von Adalimumab bei der Mutter während der Schwangerschaft nicht empfohlen.
Dekompensierte Herzinsuffizienz
In einer klinischen Studie mit einem anderen TNF‑Antagonisten wurden eine Verschlechterung einer dekompensierten Herzinsuffizienz sowie eine Erhöhung der damit einhergehenden Mortalität beobachtet. Bei mit Adalimumab behandelten Patienten wurden ebenfalls Fälle einer Verschlechterung einer dekompensierten Herzinsuffizienz berichtet. Yuflyma sollte bei Patienten mit leichter Herzinsuffizienz (NYHA‑Klasse I/II) mit Vorsicht eingesetzt werden. Yuflyma darf nicht bei mäßiger bis schwerer Herzinsuffizienz angewendet werden (siehe Abschnitt 4.3). Die Behandlung mit Yuflyma muss bei Patienten, die neue oder sich verschlechternde Symptome einer dekompensierten Herzinsuffizienz entwickeln, abgesetzt werden.
Autoimmunprozesse
Die Behandlung mit Yuflyma kann zur Bildung von Autoantikörpern führen. Der Einfluss einer Langzeitbehandlung mit Adalimumab auf die Entwicklung von Autoimmunerkrankungen ist nicht bekannt. Entwickelt ein Patient nach der Behandlung mit Yuflyma Symptome, die auf ein lupusähnliches Syndrom hindeuten und wird positiv auf Antikörper gegen doppelsträngige DNA getestet, darf die Behandlung mit Yuflyma nicht weitergeführt werden (siehe Abschnitt 4.8).
Gleichzeitige Anwendung von biologischen DMARDs oder TNF‑Antagonisten
In klinischen Studien wurden bei gleichzeitiger Anwendung von Anakinra und einem anderen
TNF‑Antagonisten, Etanercept, schwere Infektionen beobachtet, während die Kombinationstherapie im Vergleich zur Etanercept-Monotherapie keinen zusätzlichen klinischen Nutzen aufwies. Aufgrund der Art der unerwünschten Ereignisse, die unter der Kombinationstherapie mit Etanercept und Anakinra beobachtet wurden, könnten ähnliche Toxizitäten auch aus der Kombination von Anakinra und anderen TNF‑Antagonisten resultieren. Daher wird die Kombination von Adalimumab und Anakinra nicht empfohlen (siehe Abschnitt 4.5).
Die gleichzeitige Anwendung von Adalimumab mit anderen biologischen DMARDs (z. B. Anakinra und Abatacept) oder anderen TNF‑Antagonisten wird aufgrund des möglichen erhöhten Infektionsrisikos und anderer möglicher pharmakologischer Interaktionen nicht empfohlen (siehe Abschnitt 4.5).
Operationen
Es liegen begrenzte Erfahrungen hinsichtlich der Sicherheit von Adalimumab im Rahmen von operativen Eingriffen vor. Bei der Planung von operativen Eingriffen sollte die lange Halbwertszeit von Adalimumab berücksichtigt werden. Patienten, die während der Therapie mit Yuflyma operiert werden, sollten im Hinblick auf Infektionen engmaschig überwacht und geeignete Maßnahmen ergriffen werden. Es liegen begrenzte Erfahrungen hinsichtlich der Sicherheit von Adalimumab im Rahmen von Gelenkersatzoperationen vor.
Dünndarmstenose
Ein unzureichendes Ansprechen auf die Behandlung bei Morbus Crohn kann ein Hinweis für eine fibrotische Stenose sein, die gegebenenfalls chirurgisch behandelt werden sollte. Nach den verfügbaren Daten scheint Adalimumab eine Stenose weder zu verschlimmern noch zu verursachen.
Ältere Patienten
Die Häufigkeit von schweren Infektionen war bei mit Adalimumab behandelten Patienten über 65 Jahren höher (3,7 %) als bei solchen unter 65 Jahren (1,5 %). Einige nahmen einen tödlichen Verlauf. Bei der Behandlung älterer Patienten sollte auf das Risiko von Infektionen besonders geachtet werden.
Kinder und Jugendliche
Zu Impfungen siehe oben.
Natriumgehalt
Dieses Arzneimittel enthält weniger als 1 mmol Natrium (23 mg) pro 0,8 ml, d. h. es ist nahezu „natriumfrei“.
Adalimumab wurde bei Patienten mit rheumatoider Arthritis, polyartikulärer juveniler idiopathischer Arthritis und Psoriasis-Arthritis sowohl als Monotherapie als auch in der Kombination mit Methotrexat untersucht. Die Bildung von Antikörpern war bei gleichzeitiger Anwendung von Adalimumab und Methotrexat niedriger als unter Monotherapie. Die Anwendung von Adalimumab ohne Methotrexat führte zu einer gesteigerten Bildung von Antikörpern, einer erhöhten Clearance und einer verminderten Wirksamkeit von Adalimumab (siehe Abschnitt 5.1).
Die Kombination von Adalimumab und Anakinra wird nicht empfohlen (siehe in Abschnitt 4.4 „Gleichzeitige Anwendung von biologischen DMARDs oder TNF‑Antagonisten“).
Die Kombination von Adalimumab und Abatacept wird nicht empfohlen (siehe in Abschnitt 4.4 „Gleichzeitige Anwendung von biologischen DMARDs oder TNF‑Antagonisten“).
Frauen im gebärfähigen Alter
Frauen im gebärfähigen Alter sollten zur Vermeidung einer Schwangerschaft geeignete Empfängnisverhütungsmethoden in Erwägung ziehen und diese für mindestens fünf Monate nach der letzten Gabe von Yuflyma fortführen.
Schwangerschaft
Die Auswertung einer großen Anzahl (etwa 2 100) prospektiv erfasster Schwangerschaften mit Exposition gegenüber Adalimumab und mit Lebendgeburten mit bekanntem Ausgang deutete nicht auf eine erhöhte Rate von Missbildungen bei Neugeborenen hin. Bei über 1 500 dieser Schwangerschaften fand die Exposition während des ersten Trimesters statt.
Folgende Probanden wurden in eine prospektive Kohortenstudie eingeschlossen: 257 Frauen mit rheumatoider Arthritis (RA) oder Morbus Crohn (MC), die mindestens während des ersten Trimesters mit Adalimumab behandelt wurden, sowie 120 Frauen mit RA oder MC, die nicht mit Adalimumab behandelt wurden. Der primäre Endpunkt war die Prävalenz schwerwiegender Geburtsfehler. Der Anteil an Schwangerschaften mit mindestens einem lebend geborenen Kind, das einen schwerwiegenden Geburtsfehler hatte, betrug 6/69 (8,7 %) bei mit Adalimumab behandelten Patientinnen mit RA, 5/74 (6,8 %) bei unbehandelten Frauen mit RA (nicht bereinigte OR 1,31; 95‑%-Konfidenzintervall (95‑%-KI) 0,38 - 4,52); 16/152 (10,5 %) bei mit Adalimumab behandelten Patientinnen mit MC und 3/32 (9,4 %) bei unbehandelten Frauen mit MC (nicht bereinigte OR 1,14; 95‑%-KI 0,31 - 4,16). Die bereinigte OR (die Unterschiede bei Baseline miteinbezieht) betrug für RA und MC zusammen insgesamt 1,10 (95-%-KI 0,45 – 2,73). Es gab keine eindeutigen Unterschiede zwischen den mit Adalimumab behandelten und den nicht mit Adalimumab behandelten Frauen im Hinblick auf die sekundären Endpunkte Spontanaborte, geringfügige Geburtsfehler, Frühgeburten, Geburtsgröße und schwerwiegende oder opportunistische Infektionen. Es wurden keine Totgeburten oder maligne Erkrankungen berichtet. Die Auswertung der Daten kann durch die methodologischen Einschränkungen der Registerstudie beeinflusst sein, darunter eine kleine Fallzahl und ein nicht randomisiertes Design.
Eine Studie zur Entwicklungstoxizität an Affen ergab keine Hinweise auf eine maternale Toxizität, Embryotoxizität oder Teratogenität. Präklinische Daten zur postnatalen Toxizität von Adalimumab liegen nicht vor (siehe Abschnitt 5.3).
Bei Anwendung von Adalimumab während der Schwangerschaft könnten wegen der TNFα-Hemmung die normalen Immunreaktionen des Neugeborenen beeinflusst werden. Adalimumab sollte während einer Schwangerschaft nur angewendet werden, wenn dies eindeutig erforderlich ist.
Wenn Mütter während der Schwangerschaft mit Adalimumab behandelt wurden, gelangt Adalimumab möglicherweise über die Plazenta in das Serum von Säuglingen. Infolgedessen haben diese Säuglinge eventuell ein erhöhtes Risiko für Infektionen. Die Verabreichung von Lebendimpfstoffen (z. B. BCG‑Vakzine) an Säuglinge, die in utero Adalimumab ausgesetzt waren, ist für 5 Monate nach der letzten Gabe von Adalimumab bei der Mutter während der Schwangerschaft nicht empfohlen.
Stillzeit
Eingeschränkte Informationen aus der veröffentlichten Literatur lassen darauf schließen, dass Adalimumab in sehr geringer Konzentration (zwischen 0,1 – 1 % des Serumspiegels der Mutter) in die Muttermilch übergeht. Bei oraler Anwendung durchlaufen Proteine des Typs Immunglobulin G eine intestinale Proteolyse und weisen eine schlechte Bioverfügbarkeit auf. Es werden keine Auswirkungen auf die gestillten Neugeborenen/Säuglinge erwartet. Folglich kann Yuflyma während der Stillzeit angewendet werden.
Fertilität
Präklinische Daten zu Auswirkungen von Adalimumab auf die Fertilität liegen nicht vor.
Yuflyma kann einen geringen Einfluss auf die Verkehrstüchtigkeit und die Fähigkeit zum Bedienen von Maschinen haben. Es können nach Verabreichung von Yuflyma Schwindel und eine Beeinträchtigung des Sehvermögens auftreten (siehe Abschnitt 4.8).
Zusammenfassung des Sicherheitsprofils
Adalimumab wurde bei 9.506 Patienten in kontrollierten Zulassungsstudien und offenen Erweiterungsstudien über einen Zeitraum von bis zu 60 Monaten oder länger untersucht. Diese Studien umfassten Patienten mit kurz und langjährig bestehender rheumatoider Arthritis, mit juveniler idiopathischer Arthritis (polyartikulärer juveniler idiopathischer Arthritis und Enthesitis-assoziierter Arthritis) sowie Patienten mit axialer Spondyloarthritis (ankylosierender Spondylitis und axialer Spondyloarthritis ohne Röntgennachweis einer AS), mit Psoriasis-Arthritis, Morbus Crohn, Colitis ulcerosa, Psoriasis, Hidradenitis suppurativa oder Uveitis. Die pivotalen kontrollierten Studien umfassten 6.089 mit Adalimumab behandelte Patienten und 3.801 Patienten, die während der kontrollierten Studienphase Placebo oder eine aktive Vergleichssubstanz erhielten.
Der Anteil der Patienten, die die Behandlung während der doppelblinden kontrollierten Phase der pivotalen Studien aufgrund unerwünschter Ereignisse abbrachen, betrug 5,9 % in der Adalimumab-Gruppe und 5,4 % in der Kontrollgruppe.
Die am häufigsten berichteten Nebenwirkungen sind Infektionen (wie z. B. Nasopharyngitis, Infektion im oberen Respirationstrakt und Sinusitis), Reaktionen an der Injektionsstelle (Erytheme, Juckreiz, Hämorrhagien, Schmerzen oder Schwellungen), Kopfschmerzen und muskuloskelettale Schmerzen.
Es wurden für Adalimumab schwerwiegende Nebenwirkungen berichtet. TNF-Antagonisten, wie z. B. Adalimumab, beeinflussen das Immunsystem, und ihre Anwendung kann die körpereigene Abwehr gegen Infektionen und Krebs beeinflussen.
Tödlich verlaufende und lebensbedrohende Infektionen (einschließlich Sepsis, opportunistischer Infektionen und TB), HBV‑Reaktivierung und verschiedene maligne Erkrankungen (einschließlich Leukämie, Lymphome und HSTCL) sind auch unter der Anwendung von Adalimumab berichtet worden.
Schwerwiegende hämatologische, neurologische und Autoimmunreaktionen sind ebenfalls berichtet worden. Diese umfassen seltene Berichte zu Panzytopenie, aplastischer Anämie, zentralen und peripheren Demyelinisierungen und Berichte zu Lupus, lupusähnlichen Zuständen und Stevens-Johnson-Syndrom.
Kinder und Jugendliche
Im Allgemeinen waren die bei Kindern und Jugendlichen beobachteten unerwünschten Ereignisse bezüglich Häufigkeit und Art ähnlich denjenigen, die bei erwachsenen Patienten beobachtet wurden.
Tabellarische Auflistung der Nebenwirkungen
Die folgende Auflistung von Nebenwirkungen basiert auf der Erfahrung aus klinischen Studien und auf der Erfahrung nach der Markteinführung und ist in der Tabelle 4 nach Systemorganklasse und Häufigkeit dargestellt: sehr häufig (≥ 1/10); häufig (≥ 1/100 bis < 1/10); gelegentlich (≥ 1/1 000 bis < 1/100); selten (≥ 1/10 000 bis < 1/1 000) und nicht bekannt (Häufigkeit auf Grundlage der verfügbaren Daten nicht abschätzbar). Innerhalb jeder Häufigkeitsgruppe werden die Nebenwirkungen nach abnehmendem Schweregrad angegeben. Es wurde die größte bei den verschiedenen Indikationen beobachtete Häufigkeit berücksichtigt. Ein Asterisk (*) weist in der Spalte „Systemorganklasse“ darauf hin, ob in anderen Abschnitten (4.3, 4.4 und 4.8) weitere Informationen zu finden sind.
Tabelle 4: Unerwünschte Wirkungen
Systemorganklasse |
Häufigkeit |
Nebenwirkungen |
Infektionen und parasitäre Erkrankungen* |
Sehr häufig |
Infektionen des Respirationstraktes (einschließlich des unteren und oberen Respirationstraktes, Pneumonie, Sinusitis, Pharyngitis, Nasopharyngitis und virale Herpespneumonie) |
Häufig |
systemische Infektionen (einschließlich Sepsis, Candidiasis und Influenza), |
|
Gelegentlich |
neurologische Infektionen (einschließlich viraler Meningitis), |
|
Gutartige, bösartige und nicht spezifizierte Neubildungen (einschl. Zysten und Polypen)* |
Häufig |
Hautkrebs außer Melanom (einschließlich Basalzellkarzinom und Plattenepithelkarzinom), |
Gelegentlich |
Lymphom**, |
|
Selten |
Leukämie1) |
|
Nicht bekannt |
hepatosplenales T-Zell-Lymphom1), |
|
Erkrankungen des Blutes und des Lymphsystems* |
Sehr häufig |
Leukopenie (einschließlich Neutropenie und Agranulozytose), |
Häufig |
Leukozytose, |
|
Gelegentlich |
idiopathische thrombozytopenische Purpura |
|
Selten |
Panzytopenie |
|
Erkrankungen des Immunsystems* |
Häufig |
Überempfindlichkeit, |
Gelegentlich |
Sarkoidose1), |
|
Selten |
Anaphylaxie1) |
|
Stoffwechsel- und Ernährungsstörungen |
Sehr häufig |
erhöhte Blutfettwerte |
Häufig |
Hypokaliämie, |
|
Psychiatrische Erkrankungen |
Häufig |
Stimmungsschwankungen (einschließlich Depression), |
Erkrankungen des Nervensystems* |
Sehr häufig |
Kopfschmerzen |
Häufig |
Parästhesien (einschließlich Hypästhesie), |
|
Gelegentlich |
zerebrovaskuläre Zwischenfälle1), |
|
Selten |
Multiple Sklerose, |
|
Augenerkrankungen |
Häufig |
eingeschränktes Sehvermögen, |
Gelegentlich |
Doppeltsehen |
|
Erkrankungen des Ohres und des Labyrinths |
Häufig |
Schwindel |
Gelegentlich |
Taubheit, |
|
Herzerkrankungen* |
Häufig |
Tachykardie |
Gelegentlich |
Myokardinfarkt1), |
|
Selten |
Herzstillstand |
|
Gefäßerkrankungen |
Häufig |
Hypertonie, |
Gelegentlich |
Aortenaneurysma, |
|
Erkrankungen der Atemwege, des Brustraumes und Mediastinums* |
Häufig |
Asthma, |
Gelegentlich |
Lungenembolie1), |
|
Selten |
Lungenfibrose1) |
|
Erkrankungen des Gastrointestinaltraktes |
Sehr häufig |
Abdominalschmerzen, |
Häufig |
Blutungen im Gastrointestinaltrakt, |
|
Gelegentlich |
Pankreatitis, |
|
Selten |
Darmwandperforation1) |
|
Leber- und Gallenerkrankungen* |
Sehr häufig |
Erhöhung der Leberenzyme |
Gelegentlich |
Cholecystitis und Cholelithiasis, |
|
Selten |
Hepatitis, |
|
Nicht bekannt |
Leberversagen1) |
|
Erkrankungen der Haut und des Unterhautgewebes |
Sehr häufig |
Hautausschlag (einschließlich schuppender Hautausschlag) |
Häufig |
Verschlechterung oder neuer Ausbruch von Psoriasis (einschließlich palmoplantarer pustulöser Psoriasis)1), |
|
Gelegentlich |
nächtliches Schwitzen, |
|
Selten |
Erythema multiforme1), |
|
Unbekannt |
Verschlechterung der Symptome einer Dermatomyositis1) |
|
Skelettmuskulatur-, Bindegewebs- und Knochenerkrankungen |
Sehr häufig |
muskuloskelettale Schmerzen |
Häufig |
Muskelkrämpfe (einschließlich Erhöhung der Blut-Kreatinphosphokinase) |
|
Gelegentlich |
Rhabdomyolyse, |
|
Selten |
lupusähnliches Syndrom1) |
|
Erkrankungen der Nieren und Harnwege |
Häufig |
eingeschränkte Nierenfunktion, |
Gelegentlich |
Nykturie |
|
Erkrankungen der Geschlechtsorgane und der Brustdrüse |
Gelegentlich |
erektile Dysfunktion |
Allgemeine Erkrankungen und Beschwerden am Verabreichungsort* |
Sehr häufig |
Reaktion an der Injektionsstelle (einschließlich Erytheme an der Injektionsstelle) |
Häufig |
Brustschmerzen, |
|
Gelegentlich |
Entzündung |
|
Untersuchungen* |
Häufig |
Koagulations- und Blutungsstörungen (einschließlich Verlängerung der partiellen Thromboplastinzeit), |
Nicht bekannt |
Gewichtszunahme2) |
|
Verletzung, Vergiftung und durch Eingriffe bedingte Komplikationen |
Häufig |
beeinträchtigte Wundheilung |
* Weitere Information findet sich in den Abschnitten 4.3, 4.4 und 4.8.
** einschließlich offener Fortsetzungsstudien
1) einschließlich Daten aus Spontanmeldungen
2) Die mittlere Gewichtszunahme ab der Baseline betrug über einen Behandlungszeitraum von 4–6 Monaten bei Adalimumab 0,3 kg bis 1,0 kg bei allen Indikationen für Erwachsene im Vergleich zu (minus) -0,4 kg bis (plus) 0,4 kg bei Placebo. Es wurde in Langzeit-Erweiterungsstudien bei einer mittleren Exposition von etwa 1–2 Jahren ohne Kontrollgruppe auch eine Gewichtszunahme von 5–6 kg beobachtet, insbesondere bei Patienten mit Morbus Crohn und Colitis ulcerosa. Der Mechanismus hinter dieser Wirkung ist unklar, könnte aber mit der antiinflammatorischen Wirkung von Adalimumab zusammenhängen.
Hidradenitis suppurativa
Das Sicherheitsprofil bei Patienten mit HS, die wöchentlich mit Adalimumab behandelt wurden, entsprach dem bekannten Sicherheitsprofil von Adalimumab.
Uveitis
Das Sicherheitsprofil bei Patienten mit Uveitis, die alle zwei Wochen mit Adalimumab behandelt wurden, entsprach dem bekannten Sicherheitsprofil von Adalimumab.
Beschreibung von definierten Nebenwirkungen
Reaktionen an der Injektionsstelle
In den pivotalen kontrollierten Studien bei Erwachsenen und Kindern entwickelten 12,9 % der mit Adalimumab behandelten Patienten Reaktionen an der Injektionsstelle (Erytheme und/oder Juckreiz, Hämorrhagien, Schmerzen oder Schwellungen) im Vergleich zu 7,2 % der Patienten unter Placebo oder aktiver Vergleichssubstanz. Die Reaktionen an der Injektionsstelle machten im Allgemeinen kein Absetzen des Arzneimittels erforderlich.
Infektionen
In den pivotalen kontrollierten Studien bei Erwachsenen und Kindern betrug die Infektionsrate bei den mit Adalimumab behandelten Patienten 1,51 pro Patientenjahr und bei den Patienten unter Placebo und aktiver Kontrolle 1,46 pro Patientenjahr. Die Infektionen beinhalteten primär Nasopharyngitis, Infektionen der oberen Atemwege und Sinusitis. Die meisten Patienten setzten die Behandlung mit Adalimumab nach Abheilen der Infektion fort.
Die Inzidenz schwerer Infektionen lag in der Adalimumab-Gruppe bei 0,04 pro Patientenjahr und in der Placebo- und aktiven Kontrollgruppe bei 0,03 pro Patientenjahr.
In kontrollierten und offenen Studien mit Adalimumab bei Erwachsenen und Kindern wurden schwerwiegende Infektionen (darunter in seltenen Fällen tödlich verlaufende Infektionen), einschließlich Fälle von Tuberkulose (darunter miliare und extrapulmonale Lokalisationen), und invasive opportunistische Infektionen (z. B. disseminierte oder extrapulmonale Histoplasmose, Blastomykose, Kokzidioidomykose, Pneumocystisinfektion, Candidiasis (Soor), Aspergillose und Listeriose) berichtet. Die meisten Fälle von Tuberkulose traten innerhalb der ersten 8 Monate nach Beginn der Therapie auf und können die Reaktivierung einer latent bestehenden Erkrankung darstellen.
Maligne und lymphoproliferative Erkrankungen
Während der Studien mit Adalimumab bei Patienten mit juveniler idiopathischer Arthritis (polyartikulärer juveniler idiopathischer Arthritis und Enthesitis-assoziierter Arthritis) wurden bei 249 Kindern und Jugendlichen mit einer Exposition von 655,6 Patientenjahren keine malignen Erkrankungen beobachtet. Außerdem wurden bei 192 Kindern und Jugendlichen mit einer Exposition von 498,1 Patientenjahren während klinischer Studien mit Adalimumab bei Kindern und Jugendlichen mit Morbus Crohn keine malignen Erkrankungen beobachtet. In einer Studie mit Adalimumab zu chronischer Plaque-Psoriasis an Kindern und Jugendlichen wurden bei 77 Kindern und Jugendlichen mit einer Exposition von 80,0 Patientenjahren keine malignen Erkrankungen beobachtet. Während einer Studie mit Adalimumab bei Kindern und Jugendlichen mit Colitis ulcerosa wurden bei 93 Kindern und Jugendlichen mit einer Exposition von 65,3 Patientenjahren keine malignen Erkrankungen beobachtet. Während einer Studie mit Adalimumab bei Kindern und Jugendlichen mit Uveitis wurden bei 60 Kindern und Jugendlichen mit einer Exposition von 58,4 Patientenjahren keine malignen Erkrankungen beobachtet.
Während der kontrollierten Phasen der pivotalen klinischen Studien an Erwachsenen mit Adalimumab, die mindestens zwölf Wochen bei Patienten mit mäßiger bis schwerer aktiver rheumatoider Arthritis, ankylosierender Spondylitis, axialer Spondyloarthritis ohne Röntgennachweis einer AS, Psoriasis-Arthritis, Psoriasis, Hidradenitis suppurativa, Morbus Crohn, Colitis ulcerosa oder Uveitis durchgeführt wurden, wurden maligne Erkrankungen, die keine Lymphome oder nicht melanomartige Hauttumoren waren, beobachtet. Die Rate (95 %-Konfidenzintervall) betrug 6,8 (4,4;10,5) pro 1 000 Patientenjahre bei 5 291 mit Adalimumab behandelten Patienten gegenüber einer Rate von 6,3 (3,4;11,8) pro 1 000 Patientenjahre bei 3 444 Kontrollpatienten (die mediane Behandlungsdauer betrug 4,0 Monate bei Patienten, die mit Adalimumab behandelt wurden und 3,8 Monate bei Patienten in der Kontrollgruppe). Die Rate (95 %-Konfidenzintervall) nicht melanomartiger Hauttumoren betrug 8,8 (6,0;13,0) pro 1 000 Patientenjahre bei den mit Adalimumab behandelten Patienten und 3,2 (1,3;7,6) pro 1 000 Patientenjahre bei Kontrollpatienten. Bei diesen Hauttumoren traten Plattenepithelkarzinome mit einer Rate (95 %-Konfidenzintervall) von 2,7 (1,4;5,4) pro 1 000 Patientenjahre bei mit Adalimumab behandelten Patienten auf und 0,6 (0,1;4,5) pro 1 000 Patientenjahre bei Kontrollpatienten. Die Rate (95 %-Konfidenzintervall) für Lymphome betrug 0,7 (0,2;2,7) pro 1 000 Patientenjahre bei mit Adalimumab behandelten Patienten und 0,6 (0,1;4,5) pro 1 000 Patientenjahre bei Kontrollpatienten.
Fasst man die kontrollierten Phasen dieser Studien und die noch andauernden und abgeschlossenen offenen Fortsetzungsstudien mit einer medianen Therapiedauer von annähernd 3,3 Jahren, 6 427 eingeschlossenen Patienten und über 26 439 Patientenjahren zusammen, beträgt die beobachtete Rate maligner Erkrankungen, die keine Lymphome oder nicht melanomartige Hauttumoren waren, ungefähr 8,5 pro 1 000 Patientenjahre. Die beobachtete Rate nicht melanomartiger Hauttumoren beträgt annähernd 9,6 pro 1 000 Patientenjahre, und die beobachtete Rate für Lymphome beträgt annähernd 1,3 pro 1 000 Patientenjahre.
In der Zeit nach Markteinführung seit Januar 2003 bis Dezember 2010, vorwiegend aus Erfahrungen bei Patienten mit rheumatoider Arthritis, beträgt die Rate spontan gemeldeter maligner Erkrankungen annähernd 2,7 pro 1 000 Patientenjahre mit Behandlung. Für nicht melanomartige Hauttumoren und für Lymphome wurden Raten von annähernd 0,2 bzw. 0,3 pro 1 000 Patientenjahre mit Behandlung spontan gemeldet (siehe Abschnitt 4.4).
Nach Markteinführung wurden bei Patienten, die mit Adalimumab behandelt wurden, seltene Fälle von hepatosplenalen T‑Zell-Lymphomen berichtet (siehe Abschnitt 4.4).
Autoantikörper
In den Studien I – V bei rheumatoider Arthritis wurden zu mehreren Zeitpunkten Serumproben von Patienten auf Autoantikörper untersucht. Von denjenigen Patienten, die in diesen Studien bei Behandlungsbeginn negative Titer für antinukleäre Antikörper hatten, wiesen 11,9 % der mit Adalimumab behandelten Patienten und 8,1 % der Patienten unter Placebo und aktiver Kontrolle in Woche 24 positive Titer auf. Zwei von 3 441 mit Adalimumab behandelte Patienten in allen Studien bei rheumatoider Arthritis und Psoriasis-Arthritis entwickelten klinische Anzeichen eines erstmalig auftretenden lupusähnlichen Syndroms. Nach Absetzen der Behandlung erholten sich die Patienten. Lupusnephritis oder zentralnervöse Symptome traten bei keinem der Patienten auf.
Hepatobiliäre Ereignisse
In den kontrollierten klinischen Phase-III-Studien zu Adalimumab bei Patienten mit rheumatoider Arthritis bzw. Psoriasis-Arthritis ergaben sich in einem Überwachungszeitraum von 4 bis 104 Wochen Erhöhungen der ALT-Werte um ≥ 3 x ULN (oberer Normbereich, upper limit of normal) bei 3,7 % der mit Adalimumab behandelten Patienten und bei 1,6 % der Patienten der Kontrollgruppe.
In den kontrollierten klinischen Phase-III-Studien von Adalimumab ergaben sich bei Patienten mit polyartikulärer juveniler idiopathischer Arthritis, die zwischen 4 und 17 Jahren alt waren, und bei Patienten mit Enthesitis-assoziierter Arthritis, die zwischen 6 und 17 Jahren alt waren, Erhöhungen der ALT-Werte um ≥ 3 x ULN bei 6,1 % der mit Adalimumab behandelten Patienten und bei 1,3 % der Patienten der Kontrollgruppe. Die meisten ALT-Erhöhungen traten bei gleichzeitiger Anwendung von Methotrexat auf. In der Phase-III-Studie von Adalimumab kamen keine ALT-Erhöhungen ≥ 3 x ULN bei Patienten mit polyartikulärer juveniler idiopathischer Arthritis vor, die zwischen 2 und < 4 Jahren alt waren.
In den kontrollierten klinischen Phase-III-Studien zu Adalimumab bei Patienten mit Morbus Crohn bzw. Colitis ulcerosa ergaben sich in einem Überwachungszeitraum von 4 bis 52 Wochen Erhöhungen der ALT‑Werte um ≥ 3 x ULN bei 0,9 % der mit Adalimumab behandelten Patienten und bei 0,9 % der Patienten der Kontrollgruppe.
In der klinischen Phase-III-Studie zu Adalimumab bei Kindern und Jugendlichen mit Morbus Crohn wurden Wirksamkeit und Sicherheit von zwei körpergewichtsadaptierten remissionserhaltenden Therapien nach erfolgter körpergewichtsadaptierter Induktionstherapie über 52 Behandlungswochen untersucht. Es ergaben sich Erhöhungen der ALT-Werte ≥ 3 x ULN bei 2,6 % (5 von 192) der Patienten. 4 der Patienten erhielten zu Therapiebeginn begleitend Immunsuppressiva.
In den kontrollierten klinischen Phase-III-Studien zu Adalimumab bei Patienten mit Plaque-Psoriasis ergaben sich in einem Überwachungszeitraum von 12 bis 24 Wochen Erhöhungen der ALT‑Werte um ≥ 3 x ULN bei 1,8 % der mit Adalimumab behandelten Patienten und bei 1,8 % der Patienten der Kontrollgruppe.
In der Phase-III-Studie von Adalimumab bei Kindern und Jugendlichen mit Plaque-Psoriasis kam es zu keinen ALT-Erhöhungen ≥ 3 x ULN.
In kontrollierten Studien zu Adalimumab (Anfangsdosen von 160 mg in Woche 0 und 80 mg in Woche 2, gefolgt von 40 mg wöchentlich ab Woche 4) bei Patienten mit Hidradenitis suppurativa ergaben sich in einem Überwachungszeitraum von 12 bis 16 Wochen ALT‑Erhöhungen um ≥ 3 x ULN bei 0,3 % der mit Adalimumab behandelten Patienten und bei 0,6 % der Patienten der Kontrollgruppe.
In kontrollierten Studien zu Adalimumab (Anfangsdosen von 80 mg in Woche 0, gefolgt von 40 mg alle zwei Wochen ab Woche 1) bei erwachsenen Patienten mit Uveitis ergaben sich in einem Überwachungszeitraum von bis zu 80 Wochen mit einer Behandlungszeit im Median von 166,5 Tagen bei den mit Adalimumab behandelten Patienten bzw. 105,0 Tagen bei den Patienten der Kontrollgruppe ALT‑Erhöhungen um ≥ 3 x ULN bei 2,4 % der mit Adalimumab behandelten Patienten und bei 2,4 % der Kontrollgruppe.
In der kontrollierten Phase‑III-Studie zu Adalimumab bei Kindern und Jugendlichen mit Colitis ulcerosa (n = 93) wurden Wirksamkeit und Sicherheit einer Erhaltungsdosis von 0,6 mg/kg (maximal 40 mg) jede zweite Woche (n = 31) und einer Erhaltungsdosis von 0,6 mg/kg (maximal 40 mg) wöchentlich (n = 32) nach Verabreichung einer körpergewichtsadaptierten Induktionsdosis von 2,4 mg/kg (maximal 160 mg) in Woche 0 und Woche 1 und 1,2 mg/kg (maximal 80 mg) in Woche 2 (n = 63) bzw. 2,4 mg/kg (maximal 160 mg) in Woche 0, Placebo in Woche 1 und 1,2 mg/kg (maximal 80 mg) in Woche 2 (n = 30) untersucht. Es ergaben sich Erhöhungen der ALT-Werte um ≥ 3 x ULN bei 1,1 % (1 von 93) der Patienten.
In den klinischen Studien aller Indikationen waren Patienten mit erhöhter ALT asymptomatisch, und in den meisten Fällen waren die Erhöhungen vorübergehend und gingen bei fortgesetzter Behandlung zurück. Jedoch gab es nach der Markteinführung auch Berichte über Leberversagen sowie über weniger schwere Leberfunktionsstörungen, die zu Leberversagen führen können, wie z. B. Hepatitis, einschließlich Autoimmunhepatitis, bei Patienten, die Adalimumab erhielten.
Kombinationstherapie mit Azathioprin/6-Mercaptopurin
In den Studien mit erwachsenen Morbus-Crohn-Patienten war bei Kombination von Adalimumab mit Azathioprin/6‑Mercaptopurin die Inzidenz maligner und schwerwiegender infektiöser Nebenwirkungen im Vergleich zur Adalimumab-Monotherapie höher.
Meldung des Verdachts auf Nebenwirkungen
Die Meldung des Verdachts auf Nebenwirkungen nach der Zulassung ist von großer Wichtigkeit. Sie ermöglicht eine kontinuierliche Überwachung des Nutzen-Risiko-Verhältnisses des Arzneimittels. Angehörige von Gesundheitsberufen sind aufgefordert, jeden Verdachtsfall einer Nebenwirkung dem Bundesinstitut für Impfstoffe und biomedizinische Arzneimittel, Paul-Ehrlich-Institut, Paul-Ehrlich-Str. 51 – 59, 63225 Langen, Tel: +49 6103 77 0, Fax: +49 6103 77 1234, Website: www.pei.de, anzuzeigen.
Während der klinischen Studien wurde keine dosisbegrenzende Toxizität beobachtet. Die höchste untersuchte Dosierung lag bei intravenösen Mehrfachdosen von 10 mg/kg. Dies ist ungefähr 15-mal höher als die empfohlene Dosis.
Pharmakotherapeutische Gruppe: Immunsuppressiva, Tumornekrosefaktor-alpha (TNF‑alpha)-Inhibitoren, ATC-Code: L04AB04.
Yuflyma ist ein biologisch/biotechnologisch hergestelltes Arzneimittel, das im Wesentlichen einem bereits zugelassenen Arzneimittel gleicht. Ausführliche Informationen sind auf den Internetseiten der Europäischen Arzneimittel-Agentur http://www.ema.europa.eu verfügbar.
Wirkmechanismus
Adalimumab bindet spezifisch an TNF und neutralisiert dessen biologische Funktion, indem es die Interaktion mit den zellständigen p55- und p75‑TNF-Rezeptoren blockiert.
Adalimumab beeinflusst weiterhin biologische Reaktionen, die durch TNF ausgelöst oder gesteuert werden, einschließlich der Veränderungen der Konzentrationen von für die Leukozytenmigration verantwortlichen Adhäsionsmolekülen (ELAM‑1, VCAM‑1 und ICAM‑1 mit einem IC50 von 0,1 – 0,2 nM).
Pharmakodynamische Wirkungen
Nach Behandlung mit Adalimumab wurde bei Patienten mit rheumatoider Arthritis eine im Vergleich zu den Ausgangswerten rasche Konzentrationsabnahme der Akute-Phase-Entzündungsparameter (C‑reaktives Protein(CRP) und Blutsenkungsgeschwindigkeit (BSG)) und der Serumzytokine (IL-6) beobachtet. Die Serumspiegel von Matrixmetalloproteinasen (MMP‑1 und MMP‑3), die die für die Knorpelzerstörung verantwortliche Gewebsumwandlung hervorrufen, waren nach der Verabreichung von Adalimumab ebenfalls vermindert. Bei mit Adalimumab behandelten Patienten besserte sich im Allgemeinen die mit einer chronischen Entzündung einhergehende Veränderung der Blutwerte.
Ein schneller Rückgang der CRP‑Werte wurde auch bei Patienten mit polyartikulärer juveniler idiopathischer Arthritis, Morbus Crohn, Colitis ulcerosa und Hidradenitis suppurativa nach Behandlung mit Adalimumab beobachtet. Bei Morbus-Crohn-Patienten wurde die Zahl der Zellen, die Entzündungsmarker im Kolon exprimieren, reduziert (einschließlich einer signifikanten Reduzierung der TNF‑Expression). Endoskopiestudien an intestinaler Mukosa zeigten, dass die Mukosa bei Patienten, die mit Adalimumab behandelt wurden, abheilte.
Klinische Wirksamkeit und Sicherheit
Rheumatoide Arthritis
Im Rahmen aller klinischen Studien bei rheumatoider Arthritis wurde Adalimumab bei mehr als 3 000 Patienten untersucht. Die Wirksamkeit und Sicherheit von Adalimumab wurden in fünf randomisierten, doppelblinden und gut kontrollierten Studien untersucht. Einige Patienten wurden über einen Zeitraum von bis zu 120 Monaten behandelt. Die Schmerzen an der Injektionsstelle von Adalimumab 40 mg/0,4 ml wurden in zwei randomisierten, einfachblinden, zweiphasigen Crossover-Studien mit aktiver Kontrolle beurteilt.
In der RA-Studie I wurden 271 Patienten mit mäßiger bis schwerer, aktiver rheumatoider Arthritis untersucht.
Die Patienten waren ≥ 18 Jahre alt, die Behandlung mit mindestens einem krankheitsmodifizierenden Antirheumatikum war fehlgeschlagen, Methotrexat in Dosen von 12,5 bis 25 mg (10 mg bei Methotrexat-Intoleranz) pro Woche zeigte eine unzureichende Wirkung, und die Methotrexat-Dosis lag gleichbleibend bei 10 bis 25 mg pro Woche. Während eines Zeitraums von 24 Wochen wurden jede zweite Woche Dosen von 20, 40 oder 80 mg Adalimumab oder Placebo verabreicht.
An der RA-Studie II nahmen 544 Patienten mit mäßiger bis schwerer, aktiver rheumatoider Arthritis teil.
Die Patienten waren ≥ 18 Jahre alt, und die Behandlung mit mindestens einem krankheitsmodifizierenden Antirheumatikum war fehlgeschlagen. Adalimumab wurde über 26 Wochen als subkutane Injektion in Dosen von 20 mg oder 40 mg jede zweite Woche mit Placeboinjektion in den dazwischen liegenden Wochen oder in Dosen von 20 mg oder 40 mg wöchentlich verabreicht; Placebo wurde während desselben Zeitraums wöchentlich verabreicht. Andere krankheitsmodifizierende Antirheumatika waren nicht erlaubt.
Die RA‑Studie III wurde bei 619 Patienten mit mäßiger bis schwerer, aktiver rheumatoider Arthritis durchgeführt, die ≥ 18 Jahre alt waren und die ein unzureichendes Ansprechen auf Methotrexat in Dosen von 12,5 bis 25 mg pro Woche oder eine Unverträglichkeit gegenüber 10 mg Methotrexat pro Woche aufwiesen. Es gab in dieser Studie drei Behandlungsgruppen. Die erste Gruppe erhielt über einen Zeitraum von 52 Wochen wöchentlich eine Placeboinjektion. Die zweite Gruppe wurde 52 Wochen lang mit wöchentlich 20 mg Adalimumab behandelt. Die dritte Gruppe erhielt jede zweite Woche 40 mg Adalimumab mit Placeboinjektionen in den dazwischen liegenden Wochen. Nach Abschluss der ersten 52 Wochen wurden 457 Patienten in eine offene Fortsetzungsphase überführt und erhielten bis zu 10 Jahre lang jede zweite Woche 40 mg Adalimumab/MTX.
In der RA‑Studie IV wurde die Sicherheit bei 636 Patienten mit mäßiger bis schwerer, aktiver rheumatoider Arthritis untersucht. Die Patienten waren ≥ 18 Jahre alt und wiesen keine vorherige Therapie mit krankheitsmodifizierenden Antirheumatika auf oder durften ihre bestehende antirheumatische Therapie beibehalten, vorausgesetzt, die Therapie war seit mindestens 28 Tagen unverändert. Diese Therapien schließen Methotrexat, Leflunomid, Hydroxychloroquin, Sulfasalazin und/oder Goldsalze ein. Nach Randomisierung erhielten die Patienten über einen Zeitraum von 24 Wochen jede zweite Woche 40 mg Adalimumab oder Placebo.
In die RA‑Studie V wurden 799 erwachsene Methotrexat-naive Patienten mit mäßiger bis schwerer aktiver früher rheumatoider Arthritis (mittlere Erkrankungsdauer weniger als 9 Monate) eingeschlossen. Diese Studie untersuchte die Wirksamkeit von 40 mg Adalimumab jede zweite Woche in Kombination mit Methotrexat, von 40 mg Adalimumab jede zweite Woche als Monotherapie und von Methotrexat als Monotherapie im Hinblick auf die Verringerung der klinischen Anzeichen und Symptome sowie des Fortschreitens der Gelenkschädigung bei rheumatoider Arthritis über einen Zeitraum von 104 Wochen. Nach Abschluss der ersten 104 Wochen wurden 497 Patienten in eine bis zu 10‑jährige offene Fortsetzungsphase überführt, in der sie alle zwei Wochen 40 mg Adalimumab erhielten.
In den RA-Studien VI und VII wurden jeweils 60 Patienten mit mäßiger bis schwerer aktiver rheumatoider Arthritis untersucht, die ≥ 18 Jahre alt waren. Die in die Studien aufgenommenen Patienten wendeten entweder aktuell 40 mg/0,8 ml Adalimumab an und stuften ihre Schmerzen an der Injektionsstelle als mindestens 3 cm (auf einer visuellen Analogskala [VAS] von 0 bis 10 cm) ein oder waren bisher nicht mit Biologika behandelt und begannen eine Behandlung mit 40 mg/0,8 ml Adalimumab. Die Patienten wurden randomisiert und erhielten eine Einzeldosis 40 mg/0,8 ml Adalimumab oder 40 mg/0,4 ml Adalimumab, gefolgt von einer Einzelinjektion der jeweils anderen Behandlung bei der nächsten Dosisverabreichung.
Der primäre Endpunkt der RA‑Studien I, II und III und der sekundäre Endpunkt der RA‑Studie IV war der prozentuale Anteil derjenigen Patienten, die nach 24 bzw. 26 Wochen die ACR‑20-Ansprechraten erreichten. Der primäre Endpunkt in der RA‑Studie V war der prozentuale Anteil derjenigen Patienten, die nach 52 Wochen ein ACR‑50-Ansprechen erreichten. Ein weiterer primärer Endpunkt in den RA‑Studien III und V war die Verzögerung des Fortschreitens der Krankheit (ermittelt durch Röntgenergebnisse) nach 52 Wochen. In der RA‑Studie III wurde darüber hinaus die Veränderung der Lebensqualität als primärer Endpunkt erfasst. Der primäre Endpunkt bei den Studien VI und VII waren die anhand einer VAS von 0 bis 10 cm gemessenen Schmerzen an der Injektionsstelle unmittelbar nach der Injektion.
ACR-Ansprechraten
Der prozentuale Anteil der mit Adalimumab behandelten Patienten, die ACR‑20-, ACR‑50- oder ACR‑70-Ansprechraten erreichten, war in den RA‑Studien I, II und III vergleichbar. Die Behandlungsergebnisse mit 40 mg jede zweite Woche sind in Tabelle 5 zusammengefasst.
Tabelle 5: ACR-Ansprechraten in placebokontrollierten Studien (prozentualer Anteil der Patienten)
Ansprechen |
RA-Studie Ia** |
RA-Studie IIa** |
RA-Studie IIIa** |
|||
|
Placebo/MTXc n = 60 |
Adalimumabb/MTXc |
Placebo n = 110 |
Adalimumabb n = 113 |
Placebo/MTXc n = 200 |
Adalimumabb/ |
|
ACR-20 |
||||||
6 Monate |
13,3 % |
65,1 % |
19,1 % |
46,0 % |
29,5 % |
63,3 % |
12 Monate |
n. z. |
n. z. |
n. z. |
n. z. |
24,0 % |
58,9 % |
ACR-50 |
||||||
6 Monate |
6,7 % |
52,4 % |
8,2 % |
22,1 % |
9,5 % |
39,1 % |
12 Monate |
n. z. |
n. z. |
n. z. |
n. z. |
9,5 % |
41,5 % |
ACR-70 |
||||||
6 Monate |
3,3 % |
23,8 % |
1,8 % |
12,4 % |
2,5 % |
20,8 % |
12 Monate |
n. z. |
n. z. |
n. z. |
n. z. |
4,5 % |
23,2 % |
a RA-Studie I nach 24 Wochen, RA-Studie II nach 26 Wochen und RA-Studie III nach 24 und 52 Wochen | ||||||
In den RA-Studien I – IV wurde im Vergleich zu Placebo nach 24 bzw. 26 Wochen eine Verbesserung aller individuellen ACR‑Ansprechkriterien festgestellt (Anzahl der druckschmerzempfindlichen und geschwollenen Gelenke, Einstufung der Krankheitsaktivität und des Schmerzes durch Arzt und Patienten, Ausmaß der körperlichen Funktionseinschränkung (Health Assessment Questionnaire, HAQ) und CRP-Werte (mg/dl)). In der RA-Studie III hielt diese Verbesserung bis zur Woche 52 an.
In der offenen Fortsetzungsphase der RA-Studie III blieb bei den meisten Patienten, die ein ACR-Ansprechen zeigten, dieses über eine Nachbeobachtung von bis zu 10 Jahren erhalten. Von 207 Patienten, die zu 40 mg Adalimumab alle 2 Wochen randomisiert wurden, erhielten 114 Patienten eine Dauertherapie von 40 mg Adalimumab jede zweite Woche über 5 Jahre. Von diesen hatten 86 Patienten (75,4 %) ein ACR-20-Ansprechen; 72 Patienten (63,2 %) ein ACR-50-Ansprechen und 41 Patienten (36 %) ein ACR-70-Ansprechen. Von 207 Patienten wurden 81 Patienten 10 Jahre lang mit 40 mg Adalimumab jede zweite Woche weiterbehandelt. Von diesen hatten 64 Patienten (79,0 %) ein ACR-20-Ansprechen; 56 Patienten (69,1 %) ein ACR-50-Ansprechen und 43 Patienten (53,1 %) ein ACR-70-Ansprechen.
In der RA-Studie IV war die ACR‑20-Ansprechrate bei Patienten, die mit Adalimumab plus Therapiestandard behandelt wurden, statistisch signifikant besser als bei Patienten, die Placebo plus Therapiestandard erhielten (p < 0,001).
Im Vergleich zu Placebo erreichten die mit Adalimumab behandelten Patienten in den RA-Studien I – IV bereits ein bis zwei Wochen nach Behandlungsbeginn statistisch signifikante ACR‑20- und ACR‑50-Ansprechraten.
In der RA-Studie V führte die Kombinationstherapie mit Adalimumab und Methotrexat bei Methotrexat-naiven Patienten mit früher rheumatoider Arthritis nach 52 Wochen zu einem schnelleren und signifikant größeren ACR‑Ansprechen als unter Methotrexat-Monotherapie und Adalimumab-Monotherapie. Das Ansprechen wurde bis Woche 104 aufrechterhalten (siehe Tabelle 6).
Tabelle 6.: ACR-Ansprechraten in der RA-Studie V (prozentualer Anteil der Patienten)
Ansprechen |
MTX |
Adalimumab |
Adalimumab /MTX |
p-Werta |
p-Wertb |
p-Wertc |
ACR-20 |
||||||
Woche 52 |
62,6 % |
54,4 % |
72,8 % |
0,013 |
< 0,001 |
0,043 |
Woche 104 |
56,0 % |
49,3 % |
69,4 % |
0,002 |
< 0,001 |
0,140 |
ACR-50 |
||||||
Woche 52 |
45,9 % |
41,2 % |
61,6 % |
< 0,001 |
< 0,001 |
0,317 |
Woche 104 |
42,8 % |
36,9 % |
59,0 % |
< 0,001 |
< 0,001 |
0,162 |
ACR-70 |
||||||
Woche 52 |
27,2 % |
25,9 % |
45,5 % |
< 0,001 |
< 0,001 |
0,656 |
Woche 104 |
28,4 % |
28,1 % |
46,6 % |
< 0,001 |
< 0,001 |
0,864 |
a Der p-Wert resultiert aus dem paarweisen Vergleich der Methotrexat-Monotherapie und der Adalimumab/Methotrexat-Kombinationstherapie unter Anwendung des Mann-Whitney-U-Tests. | ||||||
In der offenen Fortsetzungsphase der RA-Studie V wurden die ACR-Ansprechraten über einen Nachbeobachtungszeitraum von bis zu 10 Jahren aufrechterhalten. Von den 542 Patienten, die in die 40 mg Adalimumab-Gruppe (alle zwei Wochen) randomisiert worden waren, wendeten 170 Patienten dieses Behandlungsschema über einen Zeitraum von 10 Jahren an. Davon erreichten 154 Patienten (90,6 %) ein ACR-20-Ansprechen, 127 Patienten (74,7 %) ein ACR-50-Ansprechen und 102 Patienten (60 %) ein ACR-70-Ansprechen.
In Woche 52 erreichten 42,9 % der Patienten, die eine Kombinationstherapie aus Adalimumab und Methotrexat erhielten, eine klinische Remission (DAS28 [CRP] < 2,6). Im Vergleich dazu erreichten 20,6 % der Patienten unter Methotrexat- und 23,4 % der Patienten unter Adalimumab-Monotherapie eine klinische Remission. Die Kombinationstherapie aus Adalimumab und Methotrexat war in klinischer und statistischer Hinsicht beim Erreichen einer geringen Krankheitsaktivität bei Patienten mit kürzlich diagnostizierter mittelschwerer bis schwerer rheumatoider Arthritis gegenüber einer Monotherapie mit entweder Methotrexat (p < 0,001) oder Adalimumab (p < 0,001) überlegen. Die Ansprechraten in den beiden Behandlungsarmen unter Monotherapie waren vergleichbar (p = 0,447). Von den 342 Patienten, die ursprünglich in die Gruppe unter Adalimumab-Monotherapie oder unter Kombinationstherapie aus Adalimumab und Methotrexat randomisiert worden waren und die in die offene Fortsetzungsphase eingeschlossen wurden, setzten 171 die Adalimumab-Behandlung über einen Zeitraum von 10 Jahren fort. Von diesen 171 Patienten waren 109 (63,7 %) nach 10‑jähriger Therapie in Remission.
Radiologisches Ansprechen
Die in der RA‑Studie III mit Adalimumab behandelten Patienten waren im Durchschnitt ca. 11 Jahre an rheumatoider Arthritis erkrankt. Die strukturelle Gelenkschädigung wurde radiologisch erfasst und als Veränderung des modifizierten Gesamt-Sharp-Scores (Total Sharp Score, TSS) und seiner Komponenten, dem Ausmaß der Erosionen und der Gelenkspaltverengung (Joint Space Narrowing, JSN) ausgedrückt. Die mit Adalimumab und Methotrexat behandelten Patienten zeigten nach 6 und 12 Monaten radiologisch eine signifikant geringere Progression als Patienten, die nur Methotrexat erhielten (siehe Tabelle 7).
In der offenen Fortsetzungsphase der RA‑Studie III ist die Hemmung des Fortschreitens der strukturellen Schädigung in einer Untergruppe von Patienten 8 und 10 Jahre lang aufrechterhalten worden. Nach 8 Jahren wurden 81 von 207 Patienten, die ursprünglich jede zweite Woche mit 40 mg Adalimumab behandelt wurden, radiologisch beurteilt. Von diesen Patienten zeigten 48 kein Fortschreiten der strukturellen Schädigung, definiert als mTSS-Änderung im Vergleich zu Studienbeginn von 0,5 oder weniger. Nach 10 Jahren wurden 79 von 207 Patienten, die ursprünglich jede zweite Woche mit 40 mg Adalimumab behandelt wurden, radiologisch beurteilt. Von diesen Patienten zeigten 40 kein Fortschreiten der strukturellen Schädigung, definiert als mTSS-Änderung im Vergleich zu Studienbeginn von 0,5 oder weniger.
Tabelle 7: Mittlere radiologische Veränderungen über 12 Monate in der RA-Studie III
Placebo/ |
Adalimumab/MTX |
Placebo/MTX- |
p-Wert |
|
Gesamt-Sharp-Score |
2,7 |
0,1 |
2,6 (1,4; 3,8) |
< 0,001c |
Erosions-Score |
1,6 |
0,0 |
1,6 (0,9; 2,2) |
< 0,001 |
JSNd-Score |
1,0 |
0,1 |
0,9 (0,3; 1,4) |
0,002 |
a Methotrexat
b 95-%-Konfidenzintervalle (95‑%-KI) für die Unterschiede der Veränderungen der Scores zwischen Methotrexat und Adalimumab.
c basierend auf Rangsummentest
d JSN (Joint Space Narrowing): Gelenkspaltverengung
In der RA‑Studie V wurde die strukturelle Gelenkschädigung radiologisch untersucht und als Veränderung des modifizierten Gesamt-Sharp-Scores ausgedrückt (siehe Tabelle 9).
Tabelle 8: Mittlere radiologische Veränderungen nach 52 Wochen in der RA-Studie V
MTX |
Adalimumab |
Adalimumab/MTX |
p-Werta |
p-Wertb |
p-Wertc |
|
Gesamt-Sharp-Score |
5,7 (4,2 – 7,3) |
3,0 (1,7 – 4,3) |
1,3 (0,5 – 2,1) |
< 0,001 |
0,0020 |
< 0,001 |
Erosions-Score |
3,7 (2,7 – 4,7) |
1,7 (1,0 – 2,4) |
0,8 (0,4 – 1,2) |
< 0,001 |
0,0082 |
< 0,001 |
JSN-Score |
2,0 (1,2, 2,8) |
1,3 (0,5 – 2,1) |
0,5 (0 – 1,0) |
< 0,001 |
0,0037 |
0,151 |
a Der p‑Wert resultiert aus dem paarweisen Vergleich der Methotrexat-Monotherapie und der Adalimumab/Methotrexat-Kombinationstherapie unter Anwendung des Mann‑Whitney‑U-Tests.
b Der p-Wert resultiert aus dem paarweisen Vergleich der Adalimumab-Monotherapie und der Adalimumab/Methotrexat-Kombinationstherapie unter Anwendung des Mann-Whitney‑U-Tests.
c Der p-Wert resultiert aus dem paarweisen Vergleich der Adalimumab-Monotherapie und der Methotrexat-Monotherapie unter Anwendung des Mann-Whitney‑U-Tests.
Der prozentuale Anteil der Patienten ohne radiologische Progression (Veränderung des modifizierten Gesamt-Sharp-Scores gegenüber dem Ausgangswert ≤ 0,5) war nach 52 bzw.104 Behandlungswochen unter der Kombinationstherapie mit Adalimumab und Methotrexat (63,8 % bzw. 61,2 %) signifikant höher als unter der Methotrexat-Monotherapie (37,4 % bzw. 33,5 %; p < 0,001) und der Adalimumab-Monotherapie (50,7 %; p < 0,002 bzw. 44,5 %; p < 0,001).
In der offenen Fortsetzungsphase der RA-Studie V betrug die mittlere Veränderung gegenüber Baseline nach 10 Jahren beim modifizierten Gesamt-Sharp Score 10,8 bei Patienten, die ursprünglich in die Gruppe unter Methotrexat-Monotherapie randomisiert worden waren, 9,2 bei Patienten unter Adalimumab-Monotherapie und 3,9 bei Patienten unter Kombinationstherapie aus Adalimumab und Methotrexat. Die entsprechenden Anteile der Patienten ohne röntgenologisch nachweisbare Progression waren 31,3 %, 23,7 % und 36,7 %.
Lebensqualität und körperliche Funktionsfähigkeit
In den vier ursprünglichen, gut kontrollierten Studien wurden die gesundheitsbezogene Lebensqualität und die körperliche Funktionsfähigkeit anhand des Index zur körperlichen Funktionseinschränkung (Health Assessment Questionnaire, HAQ) bewertet. In der RA‑Studie III bildete die gesundheitsbezogene Lebensqualität nach 52 Wochen einen vor Studienbeginn festgelegten, primären Endpunkt. Vom Studienbeginn bis Monat 6 zeigte sich in allen vier Studien und bei allen Dosen/Behandlungsschemen von Adalimumab eine im Vergleich zu Placebo statistisch signifikant größere Verbesserung der körperlichen Funktionseinschränkung (HAQ).
In der RA‑Studie III wurde nach 52 Wochen dasselbe beobachtet. Die in den vier Studien für alle Dosen/Behandlungsschemen gefundenen Ergebnisse des Gesundheitsfragebogens Short Form Health Survey (SF 36) unterstützen diese Befunde. Statistisch signifikante Werte wurden unter Behandlung mit 40 mg Adalimumab jede zweite Woche für die körperliche Funktionsfähigkeit (Physical Component Summary, PCS) sowie für den Bereich Schmerz und Vitalität (Pain and Vitality Scores) gefunden. Eine statistisch signifikante Verringerung der Abgeschlagenheit, gemessen anhand des Functional-Assessment-of-Chronic-Illness-Therapy (FACIT)-Score, wurde in allen drei Studien beobachtet, in denen dieser Punkt bewertet wurde (RA-Studien I, III, IV).
In der RA-Studie III wurde bei den meisten Patienten, bei denen sich die körperliche Funktionsfähigkeit verbesserte und die die Therapie fortsetzten, im Rahmen der offenen Fortsetzungsphase die Verbesserung über den Behandlungszeitraum von 520 Wochen (120 Monate) aufrechterhalten. Die Verbesserung der Lebensqualität wurde bis zu 156 Wochen (36 Monate) bestimmt, und die Verbesserung hielt über diesen Zeitraum an.
In der RA‑Studie V zeigten die Patienten unter der Kombinationstherapie mit Adalimumab und Methotrexat nach 52 Wochen eine im Vergleich zur Methotrexat- und Adalimumab-Monotherapie stärkere Verbesserung (p < 0,001) des Index zur körperlichen Funktionseinschränkung (HAQ) und der physischen Komponente des SF 36, die über 104 Wochen anhielt. Bei den 250 Patienten, die die offene Fortsetzungsphase abschlossen, konnten die Verbesserungen hinsichtlich der körperlichen Funktionsfähigkeit über den 10-jährigen Behandlungszeitraum aufrechterhalten werden.
Schmerzen an der Injektionsstelle
Bei den gepoolten Crossover-RA-Studien VI und VII wurde ein statistisch signifikanter Unterschied in Bezug auf die Schmerzen an der Injektionsstelle direkt nach Dosisverabreichung zwischen 40 mg/0,8 ml Adalimumab und 40 mg/0,4 ml Adalimumab festgestellt (mittlerer VAS‑Wert 3,7 cm gegenüber 1,2 cm, Skala 0 bis 10 cm, p < 0,001). Dies stellt eine Reduktion der Schmerzen an der Injektionsstelle im Median um 84 % dar.
Psoriasis
Die Sicherheit und Wirksamkeit von Adalimumab wurden bei erwachsenen Patienten mit chronischer Plaque-Psoriasis (≥ 10 % KOF-Beteiligung und Psoriasis Area and Severity Index [PASI] ≥ 12 oder ≥ 10) untersucht, die Kandidaten für eine systemische Therapie oder Phototherapie in randomisierten Doppelblindstudien waren. Von den in die Psoriasisstudien I und II aufgenommenen Patienten hatten 73 % zuvor schon eine systemische Therapie oder Phototherapie erhalten. Die Sicherheit und Wirksamkeit von Adalimumab wurden in einer randomisierten Doppelblindstudie (Psoriasisstudie III) auch an erwachsenen Patienten mit mittelschwerer bis schwerer chronischer Plaque-Psoriasis mit gleichzeitiger Hand- und/oder Fußpsoriasis untersucht, die Kandidaten für eine systemische Therapie waren.
In der Psoriasisstudie I (REVEAL) wurden 1.212 Patienten innerhalb von drei Behandlungsperioden untersucht. In Periode A erhielten die Patienten Placebo oder eine Induktionsdosis von 80 mg Adalimumab, danach 40 mg jede zweite Woche, zu beginnen eine Woche nach der Induktionsdosis. Nach 16 Behandlungswochen traten Patienten mit mindestens PASI-75-Ansprechen (Verbesserung des PASI-Wertes um mindestens 75 % im Vergleich zum Ausgangswert) in Periode B ein und erhielten 40 mg Adalimumab unverblindet jede zweite Woche. Patienten, die bis Woche 33 mindestens ein ≥ PASI‑75-Ansprechen aufrechterhielten und ursprünglich in Periode A randomisiert der aktiven Therapie zugeteilt worden waren, wurden in Periode C erneut randomisiert und erhielten 40 mg Adalimumab jede zweite Woche oder Placebo für weitere 19 Wochen. Für alle Behandlungsgruppen zusammen betrug der durchschnittliche Ausgangswert des PASI 18,9, und der Ausgangswert im Physician’s Global Assessment (PGA) lag im Bereich zwischen „mittelschwer” (53 % der Studienteilnehmer), „schwer” (41 %) und „sehr schwer” (6 %).
In der Psoriasisstudie II (CHAMPION) wurden die Wirksamkeit und Sicherheit von Adalimumab im Vergleich zu Methotrexat und Placebo bei 271 Patienten untersucht. Die Patienten erhielten über einen Zeitraum von 16 Wochen entweder Placebo oder Methotrexat in einer Induktionsdosis von 7,5 mg und nachfolgender Dosiseskalation auf eine Maximaldosis von bis zu 25 mg bis Woche 12, oder eine Adalimumab-Induktionsdosis von 80 mg, danach 40 mg jede zweite Woche (zu beginnen eine Woche nach der Induktionsdosis). Es liegen keine Daten eines Vergleichs von Adalimumab und Methotrexat über einen Behandlungszeitraum von mehr als 16 Wochen vor. Patienten, die Methotrexat erhielten und nach 8 und/oder 12 Wochen mindestens ein PASI‑50-Ansprechen erreicht hatten, erhielten keine weitere Dosiseskalation. Für alle Behandlungsgruppen zusammen betrug der durchschnittliche Ausgangswert des PASI 19,7 und der Ausgangswert des PGA lag im Bereich zwischen „leicht” (< 1 %), „mittelschwer” (48 %), „schwer” (46 %) und „sehr schwer” (6 %).
Patienten, die an allen Phase-II- und Phase-III-Psoriasisstudien teilnahmen, konnten in eine offene Fortsetzungsstudie aufgenommen werden, in der Adalimumab mindestens weitere 108 Wochen verabreicht wurde.
Ein primärer Endpunkt der Psoriasisstudien I und II war der Anteil der Patienten, die nach 16 Wochen im Vergleich zum Ausgangswert ein PASI‑75-Ansprechen erzielten (siehe Tabellen 9 und 10).
Tabelle 9: Psoriasisstudie I (REVEAL) – Wirksamkeitsergebnisse nach 16 Wochen
Placebo |
Adalimumab 40 mg jede zweite Woche |
|
≥ PASI-75a |
26 (6,5) |
578 (70,9)b |
PASI-100 |
3 (0,8) |
163 (20,0)b |
PGA: erscheinungsfrei/minimal |
17 (4,3) |
506 (62,2)b |
a Prozentsatz Patienten mit PASI-75-Ansprechen wurde als prüfzentrumadjustierte Rate berechnet | ||
Tabelle 10.: Psoriasisstudie II (CHAMPION) – Wirksamkeitsergebnisse nach 16 Wochen
Placebo |
Methotrexat |
Adalimumab 40 mg jede zweite Woche |
|
≥ PASI-75 |
10 (18,9) |
39 (35,5) |
86 (79,6)a, b |
PASI-100 |
1 (1,9) |
8 (7,3) |
18 (16,7)c, d |
PGA: erscheinungsfrei/minimal |
6 (11,3) |
33 (30,0) |
79 (73,1)a, b |
a p < 0,001 Adalimumab vs. Placebo | |||
In der Psoriasisstudie I erfuhren 28 % der Patienten, die ein PASI‑75-Ansprechen gezeigt hatten und in Woche 33 bei der erneuten Randomisierung der Placebogruppe zugeteilt worden waren, einen „Verlust des adäquaten Ansprechens“ (PASI-Wert nach Woche 33 bzw. in oder vor Woche 52, der im Vergleich zum Studienbeginn zu einem geringeren Ansprechen als PASI-50 führte bei einer gleichzeitigen Zunahme des PASI-Wertes um mindestens 6 Punkte im Vergleich zu Woche 33). Im Vergleich dazu erfuhren 5 % der Patienten, die weiterhin Adalimumab erhielten (p < 0,001), einen „Verlust des adäquaten Ansprechens“. Von den Patienten, welche nach der erneuten Randomisierung auf Placebo einen Verlust des adäquaten Ansprechens zeigten und anschließend in die offene Fortsetzungsphase eingeschlossen wurden, erzielten 38 % (25/66) bzw. 55 % (36/66) nach 12 bzw. 24 Wochen aktiver Therapie wieder ein PASI‑75-Ansprechen.
Insgesamt 233 Patienten, die ein PASI‑75-Ansprechen in Woche 16 und Woche 33 gezeigt hatten, erhielten in der Psoriasisstudie I für 52 Wochen eine Adalimumab-Dauertherapie und wurden mit Adalimumab in der offenen Fortsetzungsstudie weiterbehandelt. Das PASI‑75-Ansprechen bzw. das PGA‑Ansprechen, definiert als PGA „erscheinungsfrei“ oder „minimal“, war bei diesen Patienten nach weiteren 108 offenen Behandlungswochen (insgesamt 160 Wochen) 74,7 % bzw. 59,0 %. In einer Non-Responder-Imputation (NRI)-Analyse, in der alle Patienten als Non-Responder betrachtet wurden, die aus der Studie aufgrund von Nebenwirkungen oder mangelnder Wirksamkeit ausschieden oder bei denen die Dosis erhöht wurde, betrug bei diesen Patienten das PASI-75-Ansprechen bzw. das PGA-Ansprechen, definiert als PGA „erscheinungsfrei“ oder „minimal“, nach weiteren 108 Wochen der offenen Fortsetzungsbehandlung (insgesamt 160 Wochen) 69,6 % bzw. 55,7 %.
Insgesamt 347 Patienten, die dauerhaft ansprachen, nahmen an einer Analyse einer Behandlungsunterbrechung und -wiederaufnahme in einer offenen Fortsetzungsstudie teil. Während der Phase der Behandlungsunterbrechung kehrten die Psoriasissymptome im Verlauf der Zeit mit einer durchschnittlichen Rückfallzeit von etwa 5 Monaten zurück (Verminderung des PGA auf „mittelschwer“ oder schlechter). Keiner dieser Patienten erfuhr einen Rebound-Effekt während der Unterbrechungsphase. Insgesamt 76,5 % (218/285) der Patienten, die in die Phase eintraten, in der die Behandlung wiederaufgenommen wurde, hatten 16 Wochen nach Wiederaufnahme der Behandlung ein PGA-Ansprechen, definiert als PGA „erscheinungsfrei“ oder „minimal“, unabhängig davon, ob sie während des Absetzens einen Rückfall hatten (69,1 % [123/178] bzw. 88,8 % [95/107] für Patienten, die während der Phase der Behandlungsunterbrechung einen Rückfall erlitten bzw. keinen Rückfall hatten). Es wurde ein ähnliches Sicherheitsprofil in der Phase, in der die Behandlung wiederaufgenommen wurde, beobachtet wie vor der Behandlungsunterbrechung.
Signifikante Verbesserungen des DLQI (Dermatology Life Quality Index) gegenüber dem Ausgangswert im Vergleich zu Placebo (Studien I und II) und Methotrexat (Studie II) wurden in Woche 16 festgestellt. In Studie I verbesserten sich die Summenwerte der körperlichen und mentalen SF‑36-Komponenten im Vergleich zu Placebo ebenfalls signifikant.
In einer offenen Fortsetzungsstudie mit Patienten, bei denen wegen eines PASI-Ansprechens von unter 50 % die Dosis von 40 mg jede zweite Woche auf 40 mg wöchentlich gesteigert wurde, erzielten 26,4 % (92/349) bzw. 37,8 % (132/349) der Patienten ein PASI‑75-Ansprechen in Woche 12 bzw. 24.
Die Psoriasisstudie III (REACH) verglich die Wirksamkeit und Sicherheit von Adalimumab versus Placebo an 72 Patienten mit mittelschwerer bis schwerer chronischer Plaque-Psoriasis und Hand- und/oder Fußpsoriasis. Die Patienten erhielten 16 Wochen lang nach einer Induktionsdosis von 80 mg Adalimumab jede zweite Woche 40 mg Adalimumab (beginnend eine Woche nach der Induktionsdosis) oder Placebo. In Woche 16 erreichte ein statistisch signifikant größerer Anteil an Patienten, die Adalimumab erhielten, den PGA „erscheinungsfrei“ oder „fast erscheinungsfrei“ für die Hände und/oder Füße im Vergleich zu Patienten, die Placebo erhielten (30,6 % versus 4,3 % [P = 0,014]).
Die Psoriasisstudie IV verglich die Wirksamkeit und Sicherheit von Adalimumab versus Placebo an 217 Erwachsenen mit mittelschwerer bis schwerer Nagelpsoriasis. Nach einer Anfangsdosis von 80 mg Adalimumab erhielten die Patienten 26 Wochen lang jede zweite Woche 40 mg Adalimumab (beginnend eine Woche nach der Anfangsdosis) oder Placebo. Im Anschluss erhielten sie über 26 weitere Wochen eine offene Adalimumab-Behandlung. Die Nagelpsoriasis wurde anhand des Modified Nail Psoriasis Severity Index (mNAPSI), des Physician’s Global Assessment of Fingernail Psoriasis (PGA‑F) und des Nail Psoriasis Severity Index (NAPSI) beurteilt (siehe Tabelle 11). Adalimumab zeigte einen therapeutischen Nutzen bei Nagelpsoriasis-Patienten mit unterschiedlichem Ausmaß der Hautbeteiligung (KOF ≥ 10 % (60 % der Patienten) sowie KOF < 10 % und ≥ 5 % (40 % der Patienten)).
Tabelle 11: Ergebnisse zur Wirksamkeit in der Psoriasisstudie IV nach 16, 26 und 52 Wochen
Endpunkt |
Woche 16 |
Woche 26 |
Woche 52 |
||
Placebo |
Adalimumab |
Placebo |
Adalimumab |
Adalimumab |
|
≥ mNAPSI 75 (%) |
2,9 |
26,0a |
3,4 |
46,6a |
65,0 |
PGA-F erscheinungsfrei/minimal und Verbesserung um ≥ 2 Stufen (%) |
2,9 |
29,7a |
6,9 |
48,9a |
61,3 |
Prozentuale Veränderung des NAPSI bei allen Fingernägeln (%) |
-7,8 |
-44,2a |
-11,5 |
-56,2a |
-72,2 |
a p < 0,001, Adalimumab gegenüber Placebo | |||||
Die mit Adalimumab behandelten Patienten erreichten in Woche 26 statistisch signifikante Verbesserungen im DLQI verglichen mit Placebo.
Hidradenitis suppurativa
Die Sicherheit und Wirksamkeit von Adalimumab wurden in randomisierten, doppelblinden, placebokontrollierten Studien und in einer offenen Fortsetzungsstudie an erwachsenen Patienten mit mittelschwerer bis schwerer Hidradenitis suppurativa (HS) untersucht. Diese Patienten wiesen eine Unverträglichkeit, eine Kontraindikation oder ein unzureichendes Ansprechen gegenüber einer systemischen antibiotischen Therapie nach einem mindestens 3‑monatigen Behandlungsversuch auf. Die Patienten in den Studien HS-I und HS-II waren in Hurley-Stadium II oder III der Krankheit mit mindestens 3 Abszessen oder entzündlichen Knoten.
In der Studie HS‑I (PIONEER I) wurden 307 Patienten in 2 Behandlungsperioden untersucht. In Periode A erhielten die Patienten Placebo oder eine Induktionsdosis von 160 mg Adalimumab in Woche 0, danach 80 mg in Woche 2 und ab Woche 4 bis Woche 11 40 mg wöchentlich. Eine gleichzeitige Behandlung mit Antibiotika war während der Studie nicht erlaubt. Nach einer 12-wöchigen Behandlung wurden die Patienten, die in Periode A Adalimumab erhalten hatten, in Periode B erneut in eine von drei Behandlungsgruppen randomisiert (40 mg Adalimumab wöchentlich, 40 mg Adalimumab jede zweite Woche oder Placebo von Woche 12 bis Woche 35). Patienten, die in Periode A Placebo erhalten hatten, wurden einer Behandlung mit 40 mg Adalimumab wöchentlich in Periode B zugeteilt.
In der Studie HS-II (PIONEER II) wurden 326 Patienten in 2 Behandlungsperioden untersucht. In Periode A erhielten die Patienten Placebo oder eine Induktionsdosis von 160 mg Adalimumab in Woche 0, danach 80 mg in Woche 2 und ab Woche 4 bis Woche 11 40 mg wöchentlich. 19,3 % der Patienten erhielten während der Studie eine fortgesetzte Basistherapie mit oralen Antibiotika. Nach einer 12-wöchigen Behandlung wurden die Patienten, die in Periode A Adalimumab erhalten hatten, in Periode B erneut in eine von drei Behandlungsgruppen randomisiert (40 mg Adalimumab wöchentlich, 40 mg Adalimumab jede zweite Woche oder Placebo von Woche 12 bis Woche 35). Patienten, die in Periode A Placebo erhalten hatten, wurden in Periode B der Placebogruppe zugeteilt.
Patienten, die an Studie HS‑I oder HS‑II teilgenommen hatten, waren für die Aufnahme in eine offene Fortsetzungsstudie geeignet, in der 40 mg Adalimumab wöchentlich verabreicht wurden. Die durchschnittliche Exposition lag in allen Adalimumab-Populationen bei 762 Tagen. Während aller drei Studien wendeten die Patienten täglich eine topische antiseptische Waschlösung an.
Klinisches Ansprechen
Die Verringerung der entzündlichen Läsionen und die Prävention einer Verschlimmerung der Abszesse und dränierenden Fisteln wurden anhand des Hidradenitis Suppurativa Clinical Response beurteilt (HiSCR; eine mindestens 50%ige Abnahme der Gesamtzahl an Abszessen und entzündlichen Knoten und keine Zunahme der Anzahl an Abszessen sowie der Anzahl an dränierenden Fisteln gegenüber Baseline). Die Verringerung der HS‑bezogenen Hautschmerzen wurde mithilfe einer numerischen Bewertungsskala bei Patienten beurteilt, die auf einer Skala mit 11 Punkten zu Beginn der Studie einen Score von 3 oder höher aufwiesen.
Im Vergleich zu Placebo erreichte ein signifikant höherer Anteil der mit Adalimumab behandelten Patienten ein HiSCR‑Ansprechen in Woche 12. In Woche 12 wies ein signifikant höherer Anteil an Patienten in Studie HS‑II eine klinisch relevante Verringerung der HS‑bezogenen Hautschmerzen auf (siehe Tabelle 12). Bei den mit Adalimumab behandelten Patienten war das Risiko eines Krankheitsschubes während der ersten 12 Behandlungswochen signifikant reduziert.
Tabelle 12: Ergebnisse bezüglich Wirksamkeit nach 12 Wochen, Studie HS‑I und HS‑II
Studie HS-I |
Studie HS-II |
|||
Placebo |
Adalimumab 40 mg wöchentlich |
Placebo |
Adalimumab 40 mg wöchentlich |
|
Hidradenitis Suppurativa Clinical Response (HiSCR)a |
n = 154 |
n = 153 |
n = 163 |
n = 163 |
≥ 30%ige Verringerung der Hautschmerzenb |
n = 109 |
n = 122 |
n = 111 |
n = 105 |
* p < 0,05, *** p < 0,001, Adalimumab gegenüber Placebo | ||||
Die Behandlung mit 40 mg Adalimumab wöchentlich führte zu einer signifikanten Verringerung des Risikos einer Verschlimmerung von Abszessen und dränierenden Fisteln. Etwa doppelt so viele Patienten in der Placebogruppe wiesen im Vergleich zur Adalimumab-Gruppe in den ersten 12 Wochen der Studien HS‑I und HS‑II eine Verschlimmerung der Abszesse (23,0 % gegenüber 11,4 %) und dränierenden Fisteln (30,0 % gegenüber 13,9 %) auf.
In Woche 12 wurden gegenüber den Ausgangswerten im Vergleich zu Placebo größere Verbesserungen hinsichtlich der anhand des Dermatology Life Quality Index (DLQI; Studie HS-I und HS-II) gemessenen hautspezifischen gesundheitsbezogenen Lebensqualität, der anhand des Treatment Satisfaction Questionnaire – Medication (TSQM; Studie HS-I und HS-II) gemessenen allgemeinen Zufriedenheit der Patienten mit der medikamentösen Behandlung und der anhand des Physical Component Summary Score des SF‑36-Fragebogens (Studie HS-I) gemessenen körperlichen Gesundheit festgestellt.
Unter den Patienten, die in Woche 12 mindestens teilweise auf die Behandlung mit 40 mg Adalimumab wöchentlich angesprochen haben, war die HiSCR‑Rate in Woche 36 höher bei Patienten, die weiterhin wöchentlich mit Adalimumab behandelt wurden, als bei Patienten, deren Dosisintervall auf jede zweite Woche verlängert wurde oder bei denen die Behandlung abgesetzt wurde (siehe Tabelle 13).
Tabelle 13: Anteil der Patientena unter wöchentlicher Behandlung mit Adalimumab in Woche 12, die nach Neuzuweisung der Behandlung HiSCRb in Woche 24 und 36 erreichten
Placebo (Behandlungsabbruch) |
Adalimumab 40 mg jede zweite Woche |
Adalimumab 40 mg wöchentlich |
|
Woche 24 |
24 (32,9 %) |
36 (51,4 %) |
40 (57,1 %) |
Woche 36 |
22 (30,1 %) |
28 (40,0 %) |
39 (55,7 %) |
a Patienten mit einem mindestens teilweisen Ansprechen auf 40 mg Adalimumab wöchentlich nach 12 Behandlungswochen. | |||
Unter den Patienten, die in Woche 12 mindestens teilweise auf die Behandlung angesprochen haben und die weiterhin mit Adalimumab behandelt wurden, betrug die HiSCR-Rate in Woche 48 68,3 % und in Woche 96 65,1 %. Bei einer langfristigen Behandlung mit Adalimumab 40 mg wöchentlich über 96 Wochen wurden keine neuen Erkenntnisse zur Sicherheit identifiziert.
Unter den Patienten in den Studien HS‑I und HS‑II, deren Behandlung mit Adalimumab in Woche 12 abgesetzt wurde, war die HiSCR‑Rate 12 Wochen nach Wiederaufnahme der Behandlung mit 40 mg Adalimumab wöchentlich vergleichbar mit der Rate vor dem Absetzen der Behandlung (56,0 %).
Morbus Crohn
Die Sicherheit und Wirksamkeit von Adalimumab wurden bei über 1 500 Patienten mit mittelschwerem bis schwerem, aktivem Morbus Crohn (Crohn’s Disease Activity Index (CDAI) ≥ 220 und ≤ 450) in randomisierten, doppelblinden, placebokontrollierten Studien untersucht. Eine Begleitmedikation in gleichbleibender Dosierung mit Aminosalicylaten, Kortikosteroiden und/oder Immunsuppressiva war erlaubt, und bei 80 % der Patienten wurde mindestens eines dieser Medikamente fortgeführt.
Die Induktion einer klinischen Remission (definiert als CDAI < 150) wurde in zwei Studien, MC-Studie I (CLASSIC I) und MC-Studie II (GAIN), untersucht. In der MC-Studie‑I wurden 299 Patienten, die zuvor nicht mit einem TNF-Antagonisten behandelt wurden, in eine von vier Behandlungsgruppen randomisiert: Placebo in Woche 0 und 2, 160 mg Adalimumab in Woche 0 und 80 mg in Woche 2, 80 mg in Woche 0 und 40 mg in Woche 2 sowie 40 mg in Woche 0 und 20 mg in Woche 2. In der MC‑Studie II wurden 325 Patienten, die nicht mehr ausreichend auf Infliximab ansprachen oder eine Unverträglichkeit gegenüber Infliximab zeigten, randomisiert und erhielten entweder 160 mg Adalimumab in Woche 0 und 80 mg in Woche 2 oder Placebo in Woche 0 und 2. Patienten, bei denen sich primär keine Wirkung zeigte, wurden aus diesen Studien ausgeschlossen und nicht weiter untersucht.
Der Erhalt der klinischen Remission wurde in der MC‑Studie III (CHARM) untersucht. In der offenen Induktionsphase der MC-Studie III erhielten 854 Patienten 80 mg in Woche 0 und 40 mg in Woche 2. In Woche 4 wurden die Patienten randomisiert und erhielten entweder 40 mg alle zwei Wochen, 40 mg jede Woche oder Placebo über den gesamten Studienzeitraum von 56 Wochen. Patienten, die auf die Therapie ansprachen (Minderung des CDAI ≥ 70), wurden in Woche 4 stratifiziert und unabhängig von denen, die bis Woche 4 noch keine Wirkung zeigten, analysiert. Ein Ausschleichen der Kortikosteroide war ab der 8. Woche erlaubt.
Die klinischen Remissions- und Ansprechraten für die MC‑Studie I und die MC‑Studie II sind in Tabelle 14 aufgeführt.
Tabelle 14: Induktion der klinischen Remission und des Ansprechens (Prozent der Patienten)
MC-Studie I: |
MC-Studie II: |
||||
Placebo |
Adalimumab 80/40 mg |
Adalimumab 160/80 mg |
Placebo |
Adalimumab 160/80 mg |
|
Woche 4 |
|||||
Klinische Remission |
12 % |
24 % |
36 %* |
7 % |
21 %* |
Klinisches Ansprechen (CR‑100) |
24 % |
37 % |
49 %** |
25 % |
38 %** |
Alle p-Werte beziehen sich auf den paarweisen Vergleich der Zahlen für Adalimumab versus Placebo
*p < 0,001
**p < 0,01
Die Remissionsraten in Woche 8 für die Induktionsdosierung mit 160/80 mg und mit 80/40 mg waren vergleichbar, unter der Dosierung mit 160/80 mg wurden häufiger Nebenwirkungen beobachtet.
In Woche 4 zeigten in der MC‑Studie III 58 % (499/854) der Patienten ein klinisches Ansprechen und wurden in der primären Analyse erfasst. Von diesen Patienten mit klinischem Ansprechen in Woche 4 hatten 48 % bereits zuvor TNF-Antagonisten erhalten. Die Raten der anhaltenden Remission und des Ansprechens sind in Tabelle 15 aufgeführt. Die Ergebnisse zur klinischen Remission waren weitgehend konstant, unabhängig davon, ob früher bereits ein TNF-Antagonist verabreicht wurde.
Adalimumab verringerte im Vergleich zu Placebo krankheitsbezogene Klinikaufenthalte und Operationen in Woche 56 signifikant.
Tabelle 15: Aufrechterhaltung der klinischen Remission und des Ansprechens (Prozent der Patienten)
Placebo |
40 mg Adalimumab jede zweite Woche |
40 mg Adalimumab jede Woche |
|
Woche 26 |
n = 170 |
n = 172 |
n = 157 |
Klinische Remission |
17 % |
40 %* |
47 %* |
Klinisches Ansprechen (CR‑100) |
27 % |
52 %* |
52 %* |
Patienten in steroidfreier Remission ≥ 90 Tagea |
3 % (2/66) |
19 % (11/58)** |
15 % (11/74)** |
Woche 56 |
n = 170 |
n = 172 |
n = 157 |
Klinische Remission |
12 % |
36 %* |
41 %* |
Klinisches Ansprechen (CR‑100) |
17 % |
41 %* |
48 %* |
Patienten in steroidfreier Remission ≥ 90 Tagea |
5 % (3/66) |
29 % (17/58)* |
20 % (15/74)** |
*p < 0,001 bezogen auf den paarweisen Vergleich der Zahlen für Adalimumab versus Placebo
**p < 0,02 bezogen auf den paarweisen Vergleich der Zahlen für Adalimumab versus Placebo
a Von den Patienten, die Kortikosteroide zu Beginn erhalten haben
Bei den Patienten, die bis Woche 4 nicht angesprochen hatten, zeigte sich bei 43 % der mit Adalimumab behandelten Patienten in Woche 12 eine Wirkung im Vergleich zu 30 % der Placebopatienten. Diese Ergebnisse lassen vermuten, dass einige Patienten, die bis Woche 4 noch nicht auf die Therapie angesprochen haben, von einer Weiterführung der Erhaltungstherapie bis Woche 12 profitieren. Eine Fortsetzung der Therapie über die 12. Woche hinaus zeigte keine signifikant höhere Ansprechrate (siehe Abschnitt 4.2).
117 von 276 Patienten aus der MC‑Studie I und 272 von 777 aus den MC Studien II und III wurden mindestens 3 Jahre in einer offenen Studie mit Adalimumab weiterbehandelt. 88 bzw. 189 Patienten blieben weiterhin in klinischer Remission. Ein klinisches Ansprechen (CR‑100) wurde bei 102 bzw. 233 Patienten erhalten.
Lebensqualität
In der MC‑Studie I und der MC‑Studie II zeigte sich eine statistisch signifikante Verbesserung im krankheitsspezifischen IBDQ (Inflammatory-Bowel-Disease-Questionnaire)-Gesamtscore in Woche 4 bei Patienten, die in die Adalimumab-Gruppen 80/40 mg und 160/80 mg randomisiert wurden, im Vergleich zur Placebogruppe. Dasselbe zeigte sich in der MC‑Studie III in Woche 26 und 56 in den Adalimumab-Behandlungsgruppen im Vergleich zur Placebogruppe.
Colitis ulcerosa
Die Sicherheit und Wirksamkeit von Adalimumab-Mehrfachdosen wurden bei erwachsenen Patienten mit mittelschwerer bis schwerer aktiver Colitis ulcerosa (Mayo‑Score 6 bis 12 mit Endoskopie-Subscore 2 bis 3) in randomisierten, doppelblinden, placebokontrollierten Studien untersucht.
In der UC-I-Studie wurden 390 Patienten, die gegenüber TNF-Antagonisten naiv waren, randomisiert: sie erhielten entweder Placebo in Woche 0 und 2, 160 mg Adalimumab in Woche 0, gefolgt von 80 mg in Woche 2 oder 80 mg Adalimumab in Woche 0, gefolgt von 40 mg in Woche 2. Nach Woche 2 erhielten die Patienten in beiden Adalimumab-Armen jede zweite Woche 40 mg. Eine klinische Remission (definiert als Mayo‑Score ≤ 2 mit keinem Subscore > 1) wurde in Woche 8 bewertet.
In der UC-II-Studie erhielten 248 Patienten 160 mg Adalimumab in Woche 0, 80 mg in Woche 2 und danach jede zweite Woche 40 mg und 246 Patienten erhielten Placebo. Die klinischen Ergebnisse wurden auf Einleitung einer Remission in Woche 8 und Bestehen der Remission in Woche 52 bewertet.
Eine klinische Remission zu einem statistisch signifikanten größeren Prozentsatz gegenüber Placebo erreichten Patienten mit einer Induktionsdosis von 160/80 mg Adalimumab in Woche 8 in der UC-I-Studie (18 % unter Adalimumab vs. 9 % unter Placebo; p = 0,031) und UC-II-Studie (17 % unter Adalimumab vs. 9 % unter Placebo; p = 0,019). In der UC-II-Studie waren unter Adalimumab-Behandlung 21/41 (51 %) Patienten, die in Woche 8 in Remission waren, in Woche 52 in Remission.
Tabelle 16 zeigt die Ergebnisse aus der gesamten Population von UC-II-Studie.
Tabelle 16: Ansprechen, Remission und Mukosaheilung in der UC-II-Studie (prozentualer Anteil der Patienten)
Placebo |
Adalimumab 40 mg jede zweite Woche |
|
Woche 52 |
n = 246 |
n = 248 |
Klinisches Ansprechen |
18 % |
30 %* |
Klinische Remission |
9 % |
17 %* |
Mukosaheilung |
15 % |
25 %* |
Steroidfreie Remission ≥ 90 Tagea |
6 % |
13 %* |
Woche 8 und 52 | ||
Anhaltendes Ansprechen |
12 % |
24 %** |
Anhaltende Remission |
4 % |
8 %* |
Anhaltende Mukosaheilung |
11 % |
19 %* |
Klinische Remission bedeutet Mayo‑Score ≤ 2 mit keinem Subscore > 1;
Klinisches Ansprechen bedeutet eine Abnahme im Mayo‑Score gegenüber Studienbeginn um ≥ 3 Punkte und ≥ 30 % plus eine Abnahme im rektalen Blutungs-Subscore [RBS] ≥ 1 oder einen absoluten RBS von 0 oder 1;
*p < 0,05 für Adalimumab versus Placebo paarweiser Vergleich der Anteile
**p < 0,001 für Adalimumab versus Placebo paarweiser Vergleich der Anteile
a Verabreichung von Kortikosteroiden zu Studienbeginn
Von den Patienten mit einem Ansprechen in Woche 8 sprachen in Woche 52 47 % an, waren 29 % in Remission, hatten 41 % eine Mukosaheilung und waren 20 % in steroidfreier Remission für ≥ 90 Tage.
Bei annähernd 40 % der Patienten der UC-II-Studie hatte zuvor die Anti-TNF-Behandlung mit Infliximab versagt. Die Wirksamkeit von Adalimumab war bei diesen Patienten im Vergleich zu Patienten, die Anti-TNF naiv waren, verringert. Unter den Patienten, bei denen zuvor eine Anti-TNF-Behandlung versagt hatte, wurde bei 3 % der Patienten, die Placebo erhalten hatten, und bei 10 % der Patienten, die Adalimumab erhalten hatten, in Woche 52 eine Remission erreicht.
Patienten aus den UC-I- und UC-II-Studien hatten die Möglichkeit, an einer offenen Langzeit-Fortsetzungsstudie (UC-III) teilzunehmen. Nach Behandlung mit Adalimumab über 3 Jahre waren 75 % (301/402) nach Partial‑Mayo-Score weiterhin in klinischer Remission.
Hospitalisierungsraten
Innerhalb der 52 Wochen der Studien UC‑I und UC‑II wurden für den Adalimumab-Behandlungsarm im Vergleich zum Placeboarm niedrigere Raten bezüglich allgemeiner sowie Colitis-ulcerosa-bedingter Krankenhausaufenthalte beobachtet. Die Zahl an allgemeinen Hospitalisierungen betrug in der Adalimumab-Behandlungsgruppe 0,18 pro Patientenjahr gegenüber 0,26 pro Patientenjahr in der Placebogruppe, und die entsprechenden Zahlen für Colitis-ulcerosa-verursachte Hospitalisierungen waren 0,12 pro Patientenjahr gegenüber 0,22 pro Patientenjahr.
Lebensqualität
In der Studie UC-II resultierte die Behandlung mit Adalimumab in einer Verbesserung des Inflammatory-Bowel-Disease-Questionnaire (IBDQ)-Score.
Uveitis
Die Sicherheit und Wirksamkeit von Adalimumab wurden in zwei randomisierten, doppelmaskierten, placebokontrollierten Studien (UV I und II) bei erwachsenen Patienten mit nicht-infektiöser Uveitis intermedia, Uveitis posterior und Panuveitis beurteilt, ausgenommen Patienten mit isolierter Uveitis anterior. Die Patienten erhielten Placebo oder eine Induktionsdosis von 80 mg Adalimumab, gefolgt von 40 mg alle zwei Wochen, beginnend eine Woche nach der Induktionsdosis. Eine Begleitmedikation in gleichbleibender Dosierung mit einem nicht biologischen Immunsuppressivum war erlaubt.
In der Studie UV I wurden 217 Patienten untersucht, die trotz Behandlung mit Kortikosteroiden (Prednison oral in einer Dosierung von 10 bis 60 mg/Tag) eine aktive Uveitis aufwiesen. Alle Patienten erhielten bei Eintritt in die Studie 2 Wochen lang eine standardisierte Prednison-Dosis von 60 mg/Tag. Darauf folgte eine verpflichtende Steroidausschleichung, sodass die Kortikosteroide bis Woche 15 vollständig abgesetzt waren.
In der Studie UV II wurden 226 Patienten mit inaktiver Uveitis untersucht, die bei Baseline zur Kontrolle ihrer Erkrankung dauerhaft mit Kortikosteroiden behandelt werden mussten (Prednison oral 10 bis 35 mg/Tag). Danach folgte eine verpflichtende Steroidausschleichung, sodass die Kortikosteroide bis Woche 19 vollständig abgesetzt waren.
Der primäre Wirksamkeitsendpunkt beider Studien war die „Dauer bis zum Behandlungsversagen“. Das Behandlungsversagen wurde definiert durch eine Verschlechterung in einer der vier Komponenten: entzündliche Läsionen der Ader- und Netzhaut und/oder entzündliche Gefäßläsionen der Netzhaut, Grad der Vorderkammerzellen, Grad der Glaskörpertrübung und bestkorrigierter Visus (best corrected visual acuity, BCVA).
Die Patienten, die die Studien UV I und UV II abgeschlossen hatten, konnten in eine unkontrollierte Langzeit-Fortsetzungsstudie, mit einer ursprünglich geplanten Dauer von 78 Wochen, eingeschlossen werden. Die Patienten durften die Studienmedikation über die Woche 78 hinaus fortsetzen, bis sie Zugang zu Adalimumab hatten.
Klinisches Ansprechen
Die Ergebnisse aus beiden Studien zeigten eine statistisch signifikante Reduktion des Risikos eines Behandlungsversagens bei Patienten unter Behandlung mit Adalimumab gegenüber Patienten, die Placebo erhielten (siehe Tabelle 17). Beide Studien zeigten im Vergleich zu Placebo eine frühzeitig einsetzende und anhaltende Auswirkung von Adalimumab auf die Rate an Behandlungsversagen (siehe Abbildung 1).
Tabelle 17: Dauer bis zum Behandlungsversagen in den Studien UV I und UV II
Auswertung Behandlung |
n |
Versagen n (%) |
Dauer (Median) bis zum Versagen (Monate) |
HRa |
95 %-KI für HRa |
p-Wertb |
Dauer bis zum Behandlungsversagen in oder nach Woche 6 in der Studie UV I | ||||||
Placebo |
107 |
84 (78,5) |
3,0 |
-- |
-- |
-- |
Adalimumab |
110 |
60 (54,5) |
5,6 |
0,50 |
0,36; 0,70 |
< 0,001 |
Dauer bis zum Behandlungsversagen in oder nach Woche 2 in der Studie UV II | ||||||
Placebo |
111 |
61 (55,0) |
8,3 |
-- |
-- |
-- |
Adalimumab |
115 |
45 (39,1) |
n. b.c |
0,57 |
0,39; 0,84 |
0,004 |
Hinweis: Ein Behandlungsversagen in oder nach Woche 6 (Studie UV I) bzw. in oder nach Woche 2 (Studie UV II) wurde als Ereignis gewertet. Ein Ausscheiden aus anderen Gründen als Behandlungsversagen wurde zum Zeitpunkt des Ausscheidens zensiert.
HR von Adalimumab gegenüber Placebo der Cox-Regressionsanalyse mit Behandlung als Faktor
2-seitiger p-Wert vom Log-Rank-Test
n. b. = nicht bestimmbar. Bei weniger als der Hälfte der Risikopatienten kam es zu einem Ereignis.
Abbildung 1: Kaplan-Meier-Kurven zur Darstellung der Dauer bis zum Behandlungsversagen in oder nach Woche 6 (Studie UV I) bzw. Woche 2 (Studie UV II)

Hinweis: P# = Placebo (Anzahl an Ereignissen/Anzahl Risikopatienten); A# = Adalimumab (Anzahl an Ereignissen/Anzahl Risikopatienten).
In der Studie UV I wurden für jede Komponente des Behandlungsversagens statistisch signifikante Unterschiede zugunsten von Adalimumab gegenüber Placebo festgestellt. In der Studie UV II wurden statistisch signifikante Unterschiede nur für die Sehschärfe festgestellt, doch die Ergebnisse der anderen Komponenten fielen numerisch zugunsten von Adalimumab aus.
Von den 424 Studienteilnehmern, die in die unkontrollierte Langzeit-Fortsetzungsstudie von den Studien UV I und UV II eingeschlossen waren, erwiesen sich 60 Studienteilnehmer als nicht auswertbar (z. B. aufgrund von Abweichungen oder durch Komplikationen nachrangig einer diabetischen Retinopathie, die auf eine Operation des grauen Stars oder Glaskörperentfernung zurückzuführen waren). Sie wurden deshalb von der primären Wirksamkeitsanalyse ausgeschlossen. Von den 364 verbleibenden Patienten waren 269 Patienten (74 %) nach 78 Wochen noch auf Adalimumab-Therapie. Basierend auf dem betrachteten datenbasierten Ansatz waren 216 (80,3 %) Patienten symptomfrei (keine aktiven entzündlichen Läsionen, Grad der Vorderkammerzellen ≤ 0,5+, Grad der Glaskörpertrübung ≤ 0,5+) mit einer einhergehenden Steroiddosis ≤ 7,5 mg pro Tag und 178 (66,2 %) waren in einer steroidfreien Ruhephase. In Woche 78 wurde bei 88,6 % der Augen der bestkorrigierte Visus (best corrected visual acuity, BCVA) entweder verbessert oder erhalten (< 5 Zeichen der Verschlechterung). Die Daten, die über die Woche 78 hinaus erhoben wurden, waren im Allgemeinen übereinstimmend mit diesen Daten, aber die Anzahl von eingeschlossenen Studienteilnehmern war nach dieser Zeit zurückgegangen. Ursächlich für die vorzeitige Beendigung der Studie waren in 18 % der Fälle das Auftreten von Nebenwirkungen und in 8 % der Fälle ein unzureichendes Ansprechen auf die Behandlung mit Adalimumab.
Lebensqualität
In beiden klinischen Studien wurde die Therapiebewertung aus Patientensicht (patient reported outcome, PRO) hinsichtlich des Sehvermögens mithilfe des NEI VFQ-25 beurteilt. Bei den meisten Subscores fielen die Ergebnisse numerisch zugunsten von Adalimumab aus – ein statistisch signifikanter mittlerer Unterschied bestand in der Studie UV I beim allgemeinen Sehvermögen, bei Augenschmerzen, Nahsicht, mentaler Gesundheit und dem Gesamtscore, in der Studie UV II beim allgemeinen Sehvermögen und der mentalen Gesundheit. Weitere Wirkungen in Bezug auf das Sehvermögen fielen in der Studie UV I beim Farbsehen und in der Studie UV II beim Farbsehen, dem peripheren Sehen und der Nahsicht numerisch nicht zugunsten von Adalimumab aus.
Immunogenität
Die Bildung von Anti-Adalimumab-Antikörpern ist mit einer erhöhten Clearance und einer verminderten Wirksamkeit von Adalimumab verbunden. Zwischen der Anwesenheit von Anti-Adalimumab-Antikörpern und dem Auftreten von unerwünschten Ereignissen gibt es keinen offensichtlichen Zusammenhang.
Patienten der Studien I, II und III zu rheumatoider Arthritis wurden zu mehreren Zeitpunkten während der Monate 6 bis 12 auf Anti-Adalimumab-Antikörper untersucht. In den pivotalen Studien wurden bei 5,5 % (58/1 053) der mit Adalimumab behandelten Patienten Anti-Adalimumab-Antikörper festgestellt, im Vergleich zu 0,5 % (2/370) der Patienten unter Placebo. Bei Patienten ohne gleichzeitige Methotrexat-Behandlung betrug die Häufigkeit 12,4 %, im Vergleich zu einer Häufigkeit von 0,6 % bei Kombination von Adalimumab mit Methotrexat.
Bei Patienten mit Morbus Crohn wurden bei 7/269 Patienten (2,6 %) und bei Patienten mit Colitis ulcerosa bei 19/487 Patienten (3,9 %) Anti-Adalimumab-Antikörper identifiziert.
Bei 77 von 920 erwachsenen Psoriasispatienten (8,4 %) wurden unter Adalimumab-Monotherapie Anti-Adalimumab-Antikörper festgestellt.
Bei erwachsenen Patienten mit Plaque-Psoriasis, die Adalimumab langfristig als Monotherapie erhielten und die an einer Studie teilnahmen, in der die Therapie unterbrochen und wieder aufgenommen wurde, war der Anteil an Antikörpern gegen Adalimumab nach Wiederaufnahme der Behandlung ähnlich (11 von 482 Patienten; 2,3 %) wie der Anteil, der vor dem Absetzen beobachtet wurde (11 von 590 Patienten; 1,9 %).
Bei Patienten mit mittelschwerer bis schwerer Hidradenitis suppurativa wurden bei 10 von 99 Patienten (10,1 %) Anti-Adalimumab-Antikörper unter Behandlung mit Adalimumab festgestellt.
Bei Patienten mit mittelschwerem bis schwerem, aktivem pädiatrischem Morbus Crohn betrug unter der Behandlung mit Adalimumab die Rate der Bildung von Anti-Adalimumab-Antikörpern 3,3 %.
Bei erwachsenen Patienten mit nicht infektiöser Uveitis wurden bei 4,8 % der Patienten (12/249) Anti-Adalimumab-Antikörper unter Behandlung mit Adalimumab festgestellt.
Bei Patienten mit mittelschwerer bis schwerer aktiver pädiatrischer Colitis ulcerosa betrug die Rate der Bildung von Anti-Adalimumab-Antikörpern unter Behandlung mit Adalimumab 3 %.
Da die Immunogenitätsanalysen produktspezifisch sind, ist ein Vergleich mit den Antikörperraten anderer Produkte nicht sinnvoll.
Kinder und Jugendliche
Hidradenitis suppurativa bei Jugendlichen
Es gibt keine klinischen Studien mit Adalimumab bei jugendlichen Patienten mit Hidradenitis suppurativa (HS). Es ist zu erwarten, dass Adalimumab bei der Behandlung von jugendlichen Patienten mit HS wirksam ist, da die Wirksamkeit und die Dosis-Wirkungsbeziehung bei erwachsenen HS-Patienten nachgewiesen wurde und es wahrscheinlich ist, dass Krankheitsverlauf, Pathophysiologie und Arzneimittelwirkungen bei gleicher Exposition im Wesentlichen ähnlich sind wie bei Erwachsenen. Die Sicherheit der empfohlenen Adalimumab-Dosis bei Jugendlichen mit HS basiert auf dem indikationsübergreifenden Sicherheitsprofil von Adalimumab bei Erwachsenen sowie Kindern und Jugendlichen bei ähnlicher Dosierung oder häufigerer Gabe (siehe Abschnitt 5.2).
Morbus Crohn bei Kindern und Jugendlichen
Adalimumab wurde in einer multizentrischen, randomisierten, doppelblinden klinischen Studie untersucht, um die Wirksamkeit und Sicherheit einer Induktions- und Dauertherapie zu evaluieren. Es wurden 192 Kinder und Jugendliche im Alter zwischen 6 und einschließlich 17 Jahren mit mittelschwerem bis schwerem Morbus Crohn (MC), definiert als pädiatrischer Morbus-Crohn-Aktivitätsindex (PCDAI)-Score > 30, eingeschlossen. Die Dosis war abhängig vom Körpergewicht (< 40 kg oder ≥ 40 kg). Eingeschlossen wurden Patienten, bei denen eine konventionelle MC‑Therapie (einschließlich eines Kortikosteroids und/oder eines Immunsuppressivums) versagt hatte; es wurden auch Patienten eingeschlossen, die unter Infliximab-Therapie einen Verlust des klinischen Ansprechens oder eine Unverträglichkeit entwickelt hatten.
Alle Patienten erhielten eine offene Induktionstherapie mit einer Dosis auf Basis des Körpergewichts zu Studienbeginn: 160 mg in Woche 0 und 80 mg in Woche 2 für Patienten ≥ 40 kg bzw. 80 mg und 40 mg für Patienten < 40 kg.
In Woche 4 wurden die Patienten 1:1 auf Basis des derzeitigen Körpergewichts entweder einem Behandlungsschema mit niedriger Dosis oder Standarddosis nach dem Zufallsprinzip zugeteilt (siehe Tabelle 18).
Tabelle18: Erhaltungsdosis
Patientengewicht |
Niedrige Dosis |
Standarddosis |
< 40 kg |
10 mg jede zweite Woche |
20 mg jede zweite Woche |
≥ 40 kg |
20 mg jede zweite Woche |
40 mg jede zweite Woche |
Ergebnisse zur Wirksamkeit
Der primäre Endpunkt der Studie war die klinische Remission in Woche 26, definiert als PCDAI-Score ≤ 10.
Die Raten zur klinischen Remission und zum klinischen Ansprechen (definiert als Verringerung im PCDAI-Score um mindestens 15 Punkte im Vergleich zu Studienbeginn) sind in Tabelle 19 dargestellt. Die Raten zum Absetzen von Kortikosteroiden oder Immunsuppressiva zeigt Tabelle 20.
Tabelle 19: Morbus-Crohn-Studie bei Kindern und Jugendlichen |
||||||||
Standarddosis 40/20 mg jede zweite Woche |
Niedrige Dosis 20/10 mg jede zweite Woche |
p-Wert* |
||||||
Woche 26 |
||||||||
Klinische Remission |
38,7 % |
28,4 % |
0,075 |
|||||
Klinisches Ansprechen |
59,1 % |
48,4 % |
0,073 |
|||||
Woche 52 |
||||||||
Klinische Remission |
33,3 % |
23,2 % |
0,100 |
|||||
Klinisches Ansprechen |
41,9% |
28,4 % |
0,038 |
|||||
* p-Wert für Vergleich von Standarddosis gegenüber Niedrigdosis. | ||||||||
Tabelle 20: Morbus-Crohn-Studie bei Kindern und Jugendlichen | |||
Standarddosis |
Niedrige Dosis |
p-Wert1 |
|
Abgesetzte Kortikosteroide |
n = 33 |
n = 38 |
|
Woche 26 |
84,8 % |
65,8 % |
0,066 |
Woche 52 |
69,7 % |
60,5 % |
0,420 |
Absetzen von Immunsuppressiva2 |
n = 60 |
n = 57 |
|
Woche 52 |
30,0 % |
29,8 % |
0,983 |
Fistelremission3 |
n = 15 |
n = 21 |
|
Woche 26 |
46,7 % |
38,1 % |
0,608 |
Woche 52 |
40,0 % |
23,8 % |
0,303 |
1 p-Wert für Vergleich von Standarddosis gegenüber Niedrigdosis | |||
Statistisch signifikante Zunahmen (Verbesserungen) im Vergleich zum Studienbeginn wurden im Body-Mass-Index und der Körpergröße in Woche 26 und Woche 52 für beide Behandlungsgruppen beobachtet.
Statistisch und klinisch signifikante Verbesserungen im Vergleich zum Studienbeginn wurden auch in beiden Behandlungsgruppen für die Parameter zur Lebensqualität (einschließlich IMPACT III) beobachtet.
Einhundert Patienten (n = 100) der Studie zu pädiatrischem Morbus Crohn setzten diese in einer offenen Fortsetzungsphase zur Langzeitanwendung fort. Nach fünf Jahren unter Adalimumab-Therapie wiesen 74 % (37/50) der 50 in der Studie verbliebenen Patienten weiterhin eine klinische Remission und 92,0 % (46/50) ein klinisches Ansprechen nach PCDAI auf.
Colitis ulcerosa bei Kindern und Jugendlichen
Die Sicherheit und Wirksamkeit von Adalimumab wurden in einer multizentrischen, randomisierten doppelblinden Studie bei 93 Kindern und Jugendlichen im Alter von 5 bis 17 Jahren mit mittelschwerer bis schwerer Colitis ulcerosa (Mayo-Score 6 bis 12 mit Endoskopie-Subscore 2 bis 3, bestätigt durch zentral ausgewertete endoskopische Aufnahmen) und unzureichendem Ansprechen auf oder Unverträglichkeit gegenüber konventionellen Therapien untersucht. Bei etwa 16 % der Patienten der Studie hatte zuvor eine Anti-TNF-Behandlung versagt. Bei Patienten, die bei Aufnahme in die Studie Kortikosteroide erhielten, war ein Ausschleichen nach Woche 4 erlaubt.
In der Induktionsphase der Studie wurden 77 Patienten im Verhältnis 3:2 randomisiert und erhielten eine doppelblinde Behandlung mit Adalimumab: eine Induktionsdosis von 2,4 mg/kg (maximal 160 mg) in Woche 0 und Woche 1 und 1,2 mg/kg (maximal 80 mg) in Woche 2 bzw. 2,4 mg/kg (maximal 160 mg) in Woche 0, Placebo in Woche 1 und 1,2 mg/kg (maximal 80 mg) in Woche 2. Beide Behandlungsarme erhielten 0,6 mg/kg (maximal 40 mg) in Woche 4 und Woche 6. Nach einer Änderung des Studiendesigns erhielten die verbleibenden 16 Patienten, die in die Induktionsphase aufgenommen wurden, eine offene Behandlung mit Adalimumab in der Induktionsdosis von 2,4 mg/kg (maximal 160 mg) in Woche 0 und Woche 1 und 1,2 mg/kg (maximal 80 mg) in Woche 2.
In Woche 8 wurden 62 Patienten, die nach Partial-Mayo-Score (PMS, definiert als Abnahme um ≥ 2 Punkte und ≥ 30 % gegenüber Baseline) ein klinisches Ansprechen aufwiesen, im Verhältnis 1:1 randomisiert und erhielten eine doppelblinde Erhaltungstherapie mit Adalimumab in einer Dosis von 0,6 mg/kg (maximal 40 mg) wöchentlich oder jede zweite Woche. Vor der Änderung des Studiendesigns wurden 12 weitere Patienten, die nach PMS ein klinisches Ansprechen aufwiesen, randomisiert und erhielten Placebo, wurden aber nicht in die konfirmatorische Auswertung zur Wirksamkeit einbezogen.
Ein Krankheitsschub wurde definiert als Zunahme des PMS um mindestens 3 Punkte (bei Patienten mit einem PMS von 0–2 in Woche 8), mindestens 2 Punkte (bei Patienten mit einem PMS von 3–4 in Woche 8) oder mindestens 1 Punkt (bei Patienten mit einem PMS von 5–6 in Woche 8).
Patienten, die in oder nach Woche 12 die Kriterien für einen Krankheitsschub erfüllten, wurden randomisiert und erhielten entweder eine erneute Induktionsdosis von 2,4 mg/kg (maximal 160 mg) oder eine Dosis von 0,6 mg/kg (maximal 40 mg) und führten anschließend die Behandlung in ihrer jeweiligen Erhaltungsdosis fort.
Ergebnisse zur Wirksamkeit
Die koprimären Endpunkte der Studie waren die klinische Remission nach PMS (definiert als PMS ≤ 2 und kein einzelner Subscore > 1) in Woche 8 und die klinische Remission nach vollständigem Mayo-Score (Full Mayo Score, FMS, definiert als Mayo-Score von ≤ 2 und kein einzelner Subscore > 1) in Woche 52 bei Patienten, die in Woche 8 ein klinisches Ansprechen nach PMS erreichten.
Die Raten der klinischen Remission nach PMS in Woche 8 für Patienten in jedem der Behandlungsarme mit doppelblinder Adalimumab-Induktionstherapie sind in Tabelle 21 dargestellt.
Tabelle 21: Klinische Remission nach PMS in Woche 8
Adalimumaba |
Adalimumabb,c |
|
Klinische Remission |
13/30 (43,3 %) |
28/47 (59,6 %) |
a Adalimumab 2,4 mg/kg (maximal 160 mg) in Woche 0, Placebo in Woche 1 und 1,2 mg/kg (maximal 80 mg) in Woche 2 | ||
In Woche 52 wurden bei den Patienten, die Adalimumab doppelblind in der Erhaltungsdosis von maximal 40 mg (0,6 mg/kg) jede zweite Woche bzw. maximal 40 mg (0,6 mg/kg) wöchentlich erhielten, die klinische Remission nach FMS bei Respondern in Woche 8, das klinische Ansprechen nach FMS (definiert als Abnahme des Mayo-Score um ≥ 3 Punkte und ≥ 30 % gegenüber Baseline) bei Respondern in Woche 8, die Mukosaheilung nach FMS (definiert als endoskopischer Mayo-Score von ≤ 1) bei Respondern in Woche 8, die klinische Remission nach FMS bei Patienten in Remission in Woche 8 sowie der Anteil der Studienteilnehmer in kortikosteroidfreier Remission nach FMS bei Respondern in Woche 8 beurteilt (Tabelle 22).
Tabelle 22: Ergebnisse zur Wirksamkeit in Woche 52
Adalimumaba |
Adalimumabb |
|
Klinische Remission bei PMS-Respondern in Woche 8 |
9/31 (29,0 %) |
14/31 (45,2 %) |
Klinisches Ansprechen bei PMS-Respondern in Woche 8 |
19/31 (61,3 %) |
21/31 (67,7 %) |
Mukosaheilung bei PMS-Respondern in Woche 8 |
12/31 (38,7 %) |
16/31 (51,6 %) |
Klinische Remission bei Patienten in PMS-Remission in Woche 8 |
9/21 (42,9 %) |
10/22 (45,5 %) |
Kortikosteroidfreie Remission bei PMS-Respondern in Woche 8c |
4/13 (30,8 %) |
5/16 (31,3 %) |
a Adalimumab 0,6 mg/kg (maximal 40 mg) jede zweite Woche | ||
Weitere explorative Wirksamkeitsendpunkte umfassten das klinische Ansprechen nach Paediatric Ulcerative Colitis Activity Index (PUCAI) (definiert als Abnahme des PUCAI um ≥ 20 Punkte gegenüber Baseline) und die klinische Remission nach PUCAI (definiert als PUCAI < 10) in Woche 8 und Woche 52 (Tabelle 23).
Tabelle 23: Ergebnisse zu den explorativen Endpunkten nach PUCAI | ||
Woche 8 |
||
Adalimumaba |
Adalimumabb,c |
|
Klinische Remission nach PUCAI |
10/30 (33,3 %) |
22/47 (46,8 %) |
Klinisches Ansprechen nach PUCAI |
15/30 (50,0 %) |
32/47 (68,1 %) |
Woche 52 |
||
Adalimumabd |
Adalimumabe |
|
Klinische Remission nach PUCAI bei PMS-Respondern in Woche 8 |
14/31 (45,2 %) |
18/31 (58,1 %) |
Klinisches Ansprechen nach PUCAI bei PMS-Respondern in Woche 8 |
18/31 (58,1 %) |
16/31 (51,6 %) |
a Adalimumab 2,4 mg/kg (maximal 160 mg) in Woche 0, Placebo in Woche 1 und 1,2 mg/kg (maximal 80 mg) in Woche 2 | ||
Von den mit Adalimumab behandelten Patienten, die während der Erhaltungsphase eine erneute Induktionstherapie erhielten, erreichten 2 von 6 (33 %) in Woche 52 ein klinisches Ansprechen nach FMS.
Lebensqualität
In den mit Adalimumab behandelten Behandlungsarmen wurden bei den Scores zu IMPACT‑III und WPAI (Work Productivity and Activity Impairment) der betreuenden Personen klinisch bedeutsame Verbesserungen gegenüber Baseline beobachtet.
Klinisch bedeutsame Zunahmen (Verbesserungen) der Wachstumsgeschwindigkeit (Körperlänge) gegenüber Baseline wurden in den Behandlungsarmen beobachtet, die Adalimumab erhielten, und klinisch bedeutsame Zunahmen (Verbesserungen) des Body-Mass-Index gegenüber Baseline wurden bei Studienteilnehmern unter der hohen Erhaltungsdosis von maximal 40 mg (0,6 mg/kg) wöchentlich beobachtet.
Uveitis bei Kindern und Jugendlichen
Die Sicherheit und Wirksamkeit von Adalimumab wurden in einer randomisierten, doppelmaskierten, kontrollierten Studie mit 90 Kindern und Jugendlichen im Alter von 2 bis < 18 Jahren mit aktiver JIA-assoziierter nicht infektiöser Uveitis anterior untersucht, die mindestens 12 Wochen lang nicht auf die Behandlung mit Methotrexat angesprochen hatten. Die Patienten erhielten alle zwei Wochen entweder Placebo oder 20 mg Adalimumab (sofern < 30 kg) oder 40 mg Adalimumab (sofern ≥ 30 kg) jeweils in Kombination mit ihrer Ausgangsdosis Methotrexat.
Der primäre Endpunkt war die „Dauer bis zum Behandlungsversagen“. Das Behandlungsversagen wurde definiert durch eine Verschlechterung oder eine gleichbleibende Nichtverbesserung der Augenentzündung, eine teilweise Verbesserung mit Entstehung von anhaltenden Augenbegleiterkrankungen oder eine Verschlechterung von Augenbegleiterkrankungen, eine nicht erlaubte Verwendung von Begleitmedikationen oder eine Unterbrechung der Behandlung für einen längeren Zeitraum.
Klinisches Ansprechen
Adalimumab verzögerte signifikant die Zeit bis zum Behandlungsversagen im Vergleich zu Placebo (siehe Abbildung 2, P < 0,0001 beim Log‑Rank-Test). Die mittlere Zeit bis zum Behandlungsversagen lag bei 24,1 Wochen für Patienten, die mit Placebo behandelt wurden, während die mittlere Zeit für das Behandlungsversagen für mit Adalimumab behandelte Patienten nicht abschätzbar war, da weniger als die Hälfte dieser Patienten ein Behandlungsversagen erfahren haben. Adalimumab verminderte signifikant das Risiko eines Behandlungsversagens um 75 % im Vergleich zu Placebo, wie die Hazard Ratio (HR = 0,25 [95-%-KI: 0,12; 0,49]) zeigt.
Abbildung 2: Kaplan-Meier-Kurven zur Darstellung der Dauer bis zum Behandlungsversagen in der pädiatrischen Uveitis-Studie

Zeit (Wochen)

Behandlung

Placebo Adalimumab
Hinweis: P = Placebo (Anzahl Risikopatienten); A = Adalimumab (Anzahl Risikopatienten).
Resorption und Verteilung
Nach subkutaner Gabe einer Einzeldosis von 40 mg waren die Resorption und Verteilung von Adalimumab langsam. Die maximalen Serumkonzentrationen wurden ungefähr 5 Tage nach Verabreichung erreicht. Die auf Grundlage von drei Studien geschätzte, durchschnittliche absolute Bioverfügbarkeit von Adalimumab betrug nach Gabe einer einzelnen subkutanen Dosis von 40 mg 64 %. Nach intravenösen Einzeldosen von 0,25 bis 10 mg/kg waren die Konzentrationen proportional zur Dosis. Bei Dosen von 0,5 mg/kg (~ 40 mg) lag die Clearance zwischen 11 und 15 ml/h, das Verteilungsvolumen (Vss) betrug 5 bis 6 Liter, und die mittlere terminale Halbwertszeit lag bei ungefähr zwei Wochen. Die Adalimumab-Konzentrationen in der Synovialflüssigkeit mehrerer Patienten mit rheumatoider Arthritis lagen zwischen 31 % und 96 % der Serumkonzentrationen.
Nach subkutaner Verabreichung von 40 mg Adalimumab jede zweite Woche an erwachsene Patienten mit rheumatoider Arthritis (RA) betrugen die mittleren Steady-State-Talkonzentrationen ca. 5 μg/ml (ohne gleichzeitige Gabe von Methotrexat) bzw. 8 – 9 μg/ml (in Kombination mit Methotrexat). Im Steady State erhöhten sich die Talkonzentrationen der Adalimumab-Serumspiegel nach subkutaner Verabreichung von 20, 40 und 80 mg entweder jede zweite oder jede Woche ungefähr proportional zur Dosis.
Bei erwachsenen Psoriasispatienten betrug unter Monotherapie mit 40 mg Adalimumab jede zweite Woche die mittlere Steady-State-Talkonzentration 5 μg/ml.
Bei erwachsenen Patienten mit Hidradenitis suppurativa wurden bei einer Dosis von 160 mg Adalimumab in Woche 0, gefolgt von 80 mg Adalimumab in Woche 2, Serumtalkonzentrationen für Adalimumab von etwa 7 bis 8 μg/ml in Woche 2 und Woche 4 erreicht. Die mittleren Steady-State-Talkonzentrationen in Woche 12 bis Woche 36 betrugen unter der Behandlung mit 40 mg Adalimumab wöchentlich etwa 8 bis 10 μg/ml.
Die Adalimumab-Exposition bei jugendlichen HS‑Patienten wurde anhand von pharmakokinetischen Populationsmodellen und von Simulationen auf Basis der indikationsübergreifenden Pharmakokinetik bei anderen Kindern und Jugendlichen (Psoriasis bei Kindern und Jugendlichen, juvenile idiopathische Arthritis, Morbus Crohn bei Kindern und Jugendlichen sowie Enthesitis-assoziierte Arthritis) bestimmt. Das empfohlene Dosierungsschema bei Jugendlichen mit HS ist 40 mg jede zweite Woche. Da die Körpergröße einen möglichen Einfluss auf die Aufnahme von Adalimumab hat, kann für Jugendliche mit einem höheren Körpergewicht und einem nicht ausreichenden Ansprechen auf Adalimumab die empfohlene Erwachsenendosierung von 40 mg wöchentlich von Nutzen sein.
Bei Patienten mit Morbus Crohn wurde mit der Induktionsdosis von 80 mg Adalimumab in Woche 0, gefolgt von 40 mg Adalimumab in Woche 2 eine Talkonzentration von Adalimumab im Serum von ca. 5,5 μg/ml während der Einleitungstherapie erreicht. Mit einer Induktionsdosis von 160 mg Adalimumab in Woche 0, gefolgt von 80 mg in Woche 2 wurde eine Talkonzentration im Serum von ca. 12 μg/ml während der Induktionsphase erreicht. Die durchschnittliche Talkonzentration lag bei ca. 7 μg/ml bei Patienten mit Morbus Crohn, die eine Erhaltungsdosis von 40 mg Adalimumab alle zwei Wochen erhielten.
Bei Kindern und Jugendlichen mit mittelschwerem bis schwerem Morbus Crohn war die offene Induktionsdosis von Adalimumab 160/80 mg oder 80/40 mg in Woche 0 bzw. 2, abhängig vom Körpergewicht mit einem Schnitt bei 40 kg. In Woche 4 wurden die Patienten auf Basis ihres Körpergewichts 1:1 entweder zur Erhaltungstherapie mit der Standarddosis (40/20 mg jede zweite Woche) oder mit der niedrigen Dosis (20/10 mg jede zweite Woche) randomisiert. Die mittleren (± SD) Serumtalkonzentrationen von Adalimumab, die in Woche 4 erreicht wurden, betrugen für Patienten ≥ 40 kg (160/80 mg) 15,7 ± 6,6 μg ml und für Patienten < 40 kg (80/40 mg) 10,6 ± 6,1 μg/ml.
Für Patienten, die bei der randomisierten Therapie blieben, betrugen in Woche 52 die mittleren (± SD) Serumtalkonzentrationen von Adalimumab 9,5 ± 5,6 μg /ml für die Gruppe mit Standarddosis und 3,5 ± 2,2 μg/ml für die Gruppe mit der niedrigen Dosis. Die mittleren Talkonzentrationen blieben bei Patienten, die weiterhin jede zweite Woche eine Adalimumab-Behandlung erhielten, 52 Wochen lang erhalten. Für Patienten mit Dosiseskalation (Verabreichung wöchentlich statt jede zweite Woche) betrugen die mittleren (± SD) Serumtalkonzentrationen von Adalimumab in Woche 52 15,3 ± 11,4 μg/ml (40/20 mg, wöchentlich) bzw. 6,7 ± 3,5 μg/ml (20/10 mg, wöchentlich).
Bei Patienten mit Colitis ulcerosa wurde mit der Induktionsdosis von 160 mg Adalimumab in Woche 0, gefolgt von 80 mg in Woche 2 eine Talkonzentration von Adalimumab im Serum von ca. 12 μg/ml während der Einleitungstherapie erreicht. Die durchschnittliche Talkonzentration lag bei ca. 8 µg/ml bei Patienten mit Colitis ulcerosa, die eine Erhaltungsdosis von 40 mg Adalimumab alle zwei Wochen erhielten.
Nach subkutaner Verabreichung einer körpergewichtsbasierten Dosis von 0,6 mg/kg (maximal 40 mg) jede zweite Woche bei Kindern und Jugendlichen mit Colitis ulcerosa betrug die mittlere Steady-State-Talkonzentration des Adalimumab-Serumspiegels in Woche 52 5,01 ± 3,28 µg/ml. Bei Patienten, die 0,6 mg/kg (maximal 40 mg) wöchentlich erhielten, betrug die mittlere (±SD) Steady-State-Talkonzentration des Adalimumab-Serumspiegels in Woche 52 15,7 ± 5,60 μg/ml.
Bei erwachsenen Patienten mit Uveitis wurde mit einer Induktionsdosis von 80 mg Adalimumab in Woche 0, gefolgt von 40 mg Adalimumab alle zwei Wochen ab Woche 1, eine mittlere Steady-State-Konzentration von ca. 8 bis 10 μg/ml erreicht.
Die Adalimumab-Exposition bei pädiatrischen Uveitis-Patienten wurde anhand von pharmakokinetischen Populationsmodellen und von Simulationen auf Basis der indikationsübergreifenden Pharmakokinetik bei anderen Kindern und Jugendlichen (Psoriasis bei Kindern und Jugendlichen, juvenile idiopathische Arthritis, Morbus Crohn bei Kindern und Jugendlichen sowie Enthesitis-assoziierte Arthritis) bestimmt. Es gibt keine klinischen Expositionsdaten für die Verwendung einer Induktionsdosis bei Kindern < 6 Jahren. Die prognostizierten Expositionen weisen darauf hin, dass in der Abwesenheit von Methotrexat eine Induktionsdosis zu einem anfänglichen Anstieg der systemischen Exposition führen könnte.
Pharmakokinetische und pharmakodynamische Modelle und Simulationen sagten für Patienten, die mit 80 mg jede zweite Woche behandelt wurden, eine vergleichbare Adalimumab-Exposition und Wirksamkeit voraus wie bei Patienten, die mit 40 mg jede Woche behandelt wurden (eingeschlossen waren erwachsene Patienten mit rheumatoider Arthritis (RA), Hidradenitis suppurativa (HS), Colitis ulcerosa (CU), Morbus Crohn (MC) oder Psoriasis (Pso), jugendliche Patienten mit HS sowie Kinder und Jugendliche mit MC und CU ≥ 40 kg).
Dosis-Wirkungsbeziehung bei Kindern und Jugendlichen
Auf Basis klinischer Studiendaten von Patienten mit JIA (pJIA und EAA) wurde eine Dosis-Wirkungsbeziehung zwischen den Plasmakonzentrationen und dem PedACR‑50-Ansprechen bestimmt. Die Adalimumab-Plasmakonzentration, die offenbar zur mittleren maximalen Wahrscheinlichkeit eines PedACR‑50-Ansprechens (EC50) führt, lag bei 3 µg/ml (95-%-KI: 1 – 6 µg/ml).
Dosis-Wirkungsbeziehungen zwischen der Adalimumab-Konzentration und der Wirksamkeit bei Kindern und Jugendlichen mit schwerer chronischer Plaque-Psoriasis wurden für den PASI‑75 bzw. die PGA‑Scores „klares Hautbild“ oder „nahezu klares Hautbild“ festgelegt. Die Häufigkeiten des PASI‑75 und der PGA‑Scores „klares Hautbild“ oder „nahezu klares Hautbild“ nahmen mit zunehmender Adalimumab-Konzentration zu, beide mit einer offensichtlich vergleichbaren EC50 von etwa 4,5 µg/ml (95-%-KI 0,4 – 47,6 beziehungsweise 1,9 – 10,5).
Elimination
Pharmakokinetische Analysen anhand des Datenbestandes von über 1.300 RA‑Patienten ergaben eine Tendenz zu einer höheren scheinbaren Adalimumab-Clearance bei steigendem Körpergewicht. Nach Korrektur hinsichtlich der Gewichtsunterschiede schien der Einfluss von Geschlecht und Alter auf die Adalimumab-Clearance gering zu sein. Die Serumkonzentrationen an freiem, nicht an Anti-Adalimumab-Antikörper (AAA) gebundenem Adalimumab waren niedriger bei Patienten mit messbaren AAA.
Eingeschränkte Leber- oder Nierenfunktion
Adalimumab wurde bei Patienten mit eingeschränkter Leber- oder Nierenfunktion nicht untersucht.
Basierend auf den Studien zur Einzeldosistoxizität, Toxizität bei wiederholter Gabe und Genotoxizität lassen die präklinischen Daten keine besondere Gefahren für Menschen erkennen.
Eine Studie zur Toxizität der embryofetalen/perinatalen Entwicklung wurde bei Cynomolgus-Affen mit 0, 30 und 100 mg/kg (9 – 17 Affen/Gruppe) durchgeführt. Es gab keine Hinweise auf eine Schädigung der Feten durch Adalimumab. Weder Kanzerogenitätsstudien noch eine Standardstudie zur Fertilität und Postnataltoxizität wurden mit Adalimumab durchgeführt, da entsprechende Modelle für einen Antikörper mit begrenzter Kreuzreaktivität mit Nagetier-TNF nicht vorhanden sind und die Entwicklung neutralisierender Antikörper bei Nagetieren fehlt.
Essigsäure
Natriumacetat-Trihydrat
Glycin
Polysorbat 80
Wasser für Injektionszwecke
Da keine Kompatibilitätsstudien durchgeführt wurden, darf dieses Arzneimittel nicht mit anderen Arzneimitteln gemischt werden.
3 Jahre
Im Kühlschrank lagern (2 °C – 8 °C). Nicht einfrieren.
Die Fertigspritze bzw. den Fertigpen im Umkarton aufbewahren, um den Inhalt vor Licht zu schützen.
Eine einzelne Yuflyma-Fertigspritze bzw. ein einzelner Yuflyma-Fertigpen darf für bis zu 31 Tage bei Temperaturen bis zu maximal 25 °C gelagert werden. Die Fertigspritze oder der Fertigpen müssen vor Licht geschützt werden und müssen entsorgt werden, wenn sie nicht innerhalb dieser 31 Tage verwendet werden.
Yuflyma 80 mg Injektionslösung in einer Fertigspritze
Injektionslösung in einer Fertigspritze (Glasart I) mit einem Kolbenstopfen (Bromobutylgummi) und einer Nadel mit Nadelkappe (thermoplastisches Elastomer).
Packungen mit:
1 Fertigspritze (0,8 ml sterile Lösung) mit 2 Alkoholtupfern.
Yuflyma 80 mg Injektionslösung in einer Fertigspritze mit Nadelschutz
Die Spritze besteht aus Glas (Glasart I) und hat einen Kolbenstopfen (Brombutylgummi) und eine Nadel mit Nadelkappe (thermoplastisches Elastomer).
Packungen mit:
Fertigspritze mit Nadelschutz (0,8 ml sterile Lösung) mit 2 Alkoholtupfern
Yuflyma 80 mg Injektionslösung im Fertigpen
Injektionslösung im Fertigpen, der eine vorgefüllte Spritze zum Gebrauch durch den Patienten enthält. Die Spritze im Inneren des Pens ist aus Glas (Glasart I) und hat einen Kolbenstopfen (Brombutylgummi) und eine Nadel mit Nadelkappe (thermoplastisches Elastomer).
Packungen mit:
1 Fertigpen (0,8 ml sterile Lösung) mit 2 Alkoholtupfern.
3 Fertigpens (0,8 ml sterile Lösung) mit 4 Alkoholtupfern.
Es werden möglicherweise nicht alle Packungsgrößen in den Verkehr gebracht.
Nicht verwendetes Arzneimittel oder Abfallmaterial ist entsprechend den nationalen Anforderungen zu beseitigen.
Celltrion Healthcare Hungary Kft.
1062 Budapest
Váci út 1-3. WestEnd Office Building B torony
Ungarn
Yuflyma 80 mg Injektionslösung in einer Fertigspritze
EU/1/20/1513/013
Yuflyma 80 mg Injektionslösung in einer Fertigspritze mit Nadelschutz
EU/1/20/1513/014
Yuflyma 80 mg Injektionslösung im Fertigpen
EU/1/20/1513/015
EU/1/20/1513/016
Datum der Erteilung der Zulassung: 11. Februar 2021
Datum der letzten Verlängerung der Zulassung: 30. Januar 2026
Januar 2026
Ausführliche Informationen zu diesem Arzneimittel sind auf den Internetseiten der Europäischen Arzneimittel-Agentur http://www.ema.europa.eu verfügbar.
Verschreibungspflichtig
Celltrion Healthcare Deutschland GmbH
61348 Bad Homburg vor der Höhe
Tel: 030 346494150
E-Mail: infoDE@celltrionhc.com