▼Dieses Arzneimittel unterliegt einer zusätzlichen Überwachung. Dies ermöglicht eine schnelle Identifizierung neuer Erkenntnisse über die Sicherheit. Angehörige von Gesundheitsberufen sind aufgefordert, jeden Verdachtsfall einer Nebenwirkung zu melden. Hinweise zur Meldung von Nebenwirkungen, siehe Abschnitt 4.8.
Sephience 250 mg Pulver zum Einnehmen im Beutel
Sephience 1 000 mg Pulver zum Einnehmen im Beutel
Sephience 250 mg Pulver zum Einnehmen im Beutel
Jeder Beutel enthält 250 mg Sepiapterin.
Sephience 1 000 mg Pulver zum Einnehmen im Beutel
Jeder Beutel enthält 1 000 mg Sepiapterin.
Sonstige(r) Bestandteil(e) mit bekannter Wirkung
Sephience 250 mg Pulver zum Einnehmen im Beutel
Jeder Beutel enthält 400 mg Isomaltitol.
Sephience 1 000 mg Pulver zum Einnehmen im Beutel
Jeder Beutel enthält 1 600 mg Isomaltitol.
Vollständige Auflistung der sonstigen Bestandteile, siehe Abschnitt 6.1.
Pulver zum Einnehmen.
Gelbes bis orangefarbenes Pulver.
Sephience wird angewendet für die Behandlung von Hyperphenylalaninämie (HPA) bei erwachsenen und pädiatrischen Patienten mit Phenylketonurie (PKU).
Die Behandlung mit Sephience darf nur durch einen Arzt eingeleitet und überwacht werden, der über Erfahrung in der Behandlung von PKU verfügt.
Dosierung
Die empfohlene Dosis (mg/kg/Tag) von Sephience für die einmal tägliche orale Verabreichung hängt vom Alter und Körpergewicht ab (siehe Tabelle 1). Die empfohlene Höchstdosis beträgt 60 mg/kg/Tag. Die empfohlene Dosis von Sephience bei Patienten im Alter von ≥ 2 Jahren beträgt 60 mg/kg/Tag. Die Dosis kann jedoch auf eine niedrigere Dosis angepasst werden, wenn der behandelnde Arzt dies für notwendig oder angemessen hält.
Tabelle 1: Empfohlene Dosis basierend auf Alter und Körpergewicht des Patienten
Alter |
Empfohlene Dosis: (mg/kg) Sephience pro Tag |
0 bis < 6 Monate |
7,5 mg/kg/Tag |
6 bis < 12 Monate |
15 mg/kg/Tag |
12 Monate bis < 2 Jahre |
30 mg/kg/Tag |
≥ 2 Jahre |
60 mg/kg/Tag |
Die nachstehenden Tabellen 2 bis 5 enthalten Dosierungsinformationen nach Altersgruppe für Patienten mit einem Gewicht von 16 kg oder weniger in verschiedenen Dosierungen (7,5, 15, 30 und 60 mg/kg/Tag).
Tabelle 2: Empfohlene Dosis von Sephience Pulver zum Einnehmen im Beutel nach Körpergewicht bei pädiatrischen Patienten im Alter von weniger als 6 Monaten
Dosis |
7,5 mg/kg/Tag |
||
Alter |
0 bis < 6 Monate |
||
Körpergewicht (kg) |
Gesamtdosis (mg) |
Anzahl Beutel (250 mg) |
Verabreichtes Dosisvolumen (ml) (25 mg/ml) |
2 |
15 |
1 |
0,6 |
3 |
22,5 |
1 |
0,9 |
4 |
30 |
1 |
1,2 |
5 |
37,5 |
1 |
1,5 |
6 |
45 |
1 |
1,8 |
7 |
52,5 |
1 |
2,1 |
8 |
60 |
1 |
2,4 |
9 |
67,5 |
1 |
2,7 |
10 |
75 |
1 |
3 |
11 |
82,5 |
1 |
3,3 |
12 |
90 |
1 |
3,6 |
13 |
97,5 |
1 |
3,9 |
14 |
105 |
1 |
4,2 |
15 |
112,5 |
1 |
4,5 |
16 |
120 |
1 |
4,8 |
Tabelle 3: Empfohlene Dosis von Sephience Pulver zum Einnehmen im Beutel nach Körpergewicht bei pädiatrischen Patienten im Alter von 6 Monaten bis weniger als 12 Monaten
Dosis |
15 mg/kg/Tag |
||
Alter |
6 Monate bis < 12 Monate |
||
Körpergewicht (kg) |
Gesamtdosis (mg) |
Anzahl Beutel (250 mg) |
Verabreichtes Dosisvolumen (ml) (25 mg/ml) |
2 |
30 |
1 |
1,2 |
3 |
45 |
1 |
1,8 |
4 |
60 |
1 |
2,4 |
5 |
75 |
1 |
3 |
6 |
90 |
1 |
3,6 |
7 |
105 |
1 |
4,2 |
8 |
120 |
1 |
4,8 |
9 |
135 |
1 |
5,4 |
10 |
150 |
1 |
6 |
11 |
165 |
1 |
6,6 |
12 |
180 |
1 |
7,2 |
13 |
195 |
1 |
7,8 |
14 |
210 |
1 |
8,4 |
15 |
225 |
1 |
9 |
16 |
240 |
1 |
9,6 |
Tabelle 4: Empfohlene Dosis von Sephience Pulver zum Einnehmen im Beutel nach Körpergewicht bei pädiatrischen Patienten im Alter von 12 Monaten bis unter 2 Jahren
Dosis |
30 mg/kg/Tag |
||
Alter |
12 Monate bis < 2 Jahre |
||
Körpergewicht (kg) |
Gesamtdosis (mg) |
Anzahl Beutel (250 mg) |
Verabreichtes Dosisvolumen (ml) (25 mg/ml) |
2 |
60 |
1 |
2,4 |
3 |
90 |
1 |
3,6 |
4 |
120 |
1 |
4,8 |
5 |
150 |
1 |
6 |
6 |
180 |
1 |
7,2 |
7 |
210 |
1 |
8,4 |
8 |
240 |
1 |
9,6 |
9 |
270 |
2 |
10,8 |
10 |
300 |
2 |
12 |
11 |
330 |
2 |
13,2 |
12 |
360 |
2 |
14,4 |
13 |
390 |
2 |
15,6 |
14 |
420 |
2 |
16,8 |
15 |
450 |
2 |
18 |
16 |
480 |
2 |
19,2 |
Tabelle 5: Empfohlene Dosis von Sephience Pulver zum Einnehmen im Beutel nach Körpergewicht bei pädiatrischen Patienten ab 2 Jahren
Dosis |
60 mg/kg/Tag |
||
Alter |
≥ 2 Jahre |
||
Körpergewicht (kg) |
Gesamtdosis (mg) |
Anzahl aufgelöster Beutel (250 mg) |
Verabreichtes Dosisvolumen (ml) (25 mg/ml) |
5 |
300 |
2 |
12 |
6 |
360 |
2 |
14,4 |
7 |
420 |
2 |
16,8 |
8 |
480 |
2 |
19,2 |
9 |
540 |
3 |
21,6 |
10 |
600 |
3 |
24 |
11 |
660 |
3 |
26,4 |
12 |
720 |
3 |
28,8 |
13 |
780 |
4* |
31,2 |
14 |
840 |
4* |
33,6 |
15 |
900 |
4* |
36 |
16 |
960 |
4* |
38,4 |
* Anstelle von vier 250-mg-Beuteln kann 1 ganzer 1 000-mg-Beutel mit 36 ml Wasser oder Apfelsaft vermischt werden. Diese Mischung sollte mit einer Spritze entsprechend der in Tabelle 5 angegebenen Dosierungsmenge verabreicht werden. | |||
Empfohlene Dosis von Sephience Pulver zum Einnehmen im Beutel nach Körpergewicht für Patienten ab 2 Jahren und mit einem Gewicht von 16 kg oder mehr
Die empfohlene Dosis ist 60 mg/kg/Tag.
Für Erhaltungsdosen von 1 000 mg oder mehr sollte die berechnete Tagesdosis auf das nächste Vielfache von 250 mg bzw. 1 000 mg gerundet werden. Zum Beispiel sollte eine berechnete Dosis von 1 251 bis 1 374 mg auf 1 250 mg abgerundet werden, was 1×250-mg-Beutel und 1×1 000-mg-Beutel entspricht. Eine berechnete Dosis von 1 375 bis 1 499 mg sollte auf 1 500 mg aufgerundet werden, was 2×250-mg-Beuteln und 1×1 000-mg-Beutel entspricht.
Versäumte Dosis
Eine versäumte Dosis sollte so bald wie möglich eingenommen werden. Das normale Dosierungsschema sollte am folgenden Tag wieder aufgenommen werden.
Abbruch der Behandlung
In der Phase-III-Pivotstudie galt eine Verringerung der Phenylalanin-Spiegel (Phe) im Blut um mindestens 15 % als Ansprechen.
Es liegen keine kontrollierten Daten zur Wirksamkeit und Sicherheit bei Patienten vor, bei denen nach 14-tägiger Behandlung mit Sepiapterin nicht eine Senkung des Phe-Spiegels im Blut um mindestens 15 % erreicht wurde.
Die Bestimmung des Ansprechens für einen Patienten mit PKU und die Beendigung der Anwendung des Arzneimittels liegen im Ermessen des behandelnden Arztes.
Besondere Patientengruppen
Ältere Patienten
Die Sicherheit und Wirksamkeit von Sephience bei Patienten ab 65 Jahren ist nicht erwiesen. Bei der Verschreibung für Patienten ab 65 Jahren ist Vorsicht geboten.
Nierenfunktionsstörungen
Die Sicherheit und Wirksamkeit von Sephience bei Patienten mit Nierenfunktionsstörungen ist bisher noch nicht erwiesen. Es liegen keine Daten vor (siehe Abschnitt 5.2).
Leberfunktionsstörungen
Die Sicherheit und Wirksamkeit von Sephience bei Patienten mit Leberfunktionsstörungen ist bisher noch nicht erwiesen. Es liegen keine Daten vor (siehe Abschnitt 5.2).
Kinder und Jugendliche
In den klinischen Phase-III-Studien zu Sephience kam es bei einigen pädiatrischen Patienten zu einer Hypophenylalaninämie, dabei in einigen Fällen auch zu mehrfach niedrigen Phe-Werten im Blut (siehe Abschnitt 4.8).
Art der Anwendung
Zum Einnehmen,
Sephience sollte einmal täglich dosiert nach mg/kg zusammen mit einer Mahlzeit eingenommen werden.
Sephience Pulver zum Einnehmen wird in einzelnen Beuteln mit 250 mg oder 1 000 mg geliefert und sollte mit Wasser, Apfelsaft oder einer kleinen Menge weicher Nahrung wie Apfelmus und Marmelade vermischt werden.
Sephience ist für die langfristige Anwendung bestimmt.
Für Patienten mit einem Gewicht von weniger als 16 kg
Sephience sollte mit Wasser oder Apfelsaft (9 ml pro 250-mg-Beutel, 36 ml pro 1 000-mg-Beutel) vermischt werden, und jener Teil dieser Mischung, der der benötigten Dosis entspricht, sollte oral über eine orale Dosierspritze verabreicht werden. Das Präparat sollte mindestens 30 Sekunden lang gut vermischt werden, bis es homogen und frei von Klumpen ist, bevor es in die Dosierspritze aufgezogen wird. Nach dem Mischen sollte die Dosis sofort verabreicht werden. Wenn die flüssige Mischung nicht sofort verabreicht wird, kann sie innerhalb von 6 bzw. 24 Stunden verabreicht werden, wenn sie bei Raumtemperatur (unter 25 °C) bzw. im Kühlschrank (2 °C – 8 °C) aufbewahrt wird. Das Präparat sollte vor der Verabreichung erneut mindestens 30 Sekunden lang gut vermischt werden. Die Spritze mit zusätzlichem Wasser oder Saft (mindestens 15 ml) spülen, um Reste zu lösen, und den Inhalt sofort schlucken.
Für Patienten mit einem Gewicht von 16 kg oder mehr
Sephience sollte mit Wasser oder Apfelsaft (9 ml pro 250-mg-Beutel, 20 ml pro 1 000-mg-Beutel) oder weicher Nahrung (insgesamt 2 Esslöffel) vermischt werden. Das Präparat sollte mindestens 30 Sekunden lang mit Wasser oder Apfelsaft und mindestens 60 Sekunden lang mit weicher Nahrung gut vermischt werden, bis es homogen und frei von Klumpen ist. Nach dem Vermischen sollte die Dosis sofort verabreicht werden. Wenn sie nicht sofort verabreicht werden, können die Mischungen mit Flüssigkeit oder weicher Nahrung innerhalb von 6 bzw. 24 Stunden verabreicht werden, wenn sie bei Raumtemperatur (unter 25 °C) bzw. im Kühlschrank (2 °C – 8 °C) aufbewahrt werden. Die Mischungen mit Flüssigkeit oder weicher Nahrung sollten vor der Verabreichung noch einmal mindestens 30 Sekunden bzw. 60 Sekunden lang vermischt werden. Das Gefäß mit zusätzlichem Wasser oder Saft (mindestens 15 ml) spülen, um Reste zu lösen, und den Inhalt sofort schlucken.
Verabreichung über eine enterale Ernährungssonde
Sephience Pulver zum Einnehmen kann nach dem Vermischen mit Wasser über eine enterale Ernährungssonde von 6 Fr oder 8 Fr verabreicht werden. Vor der Verabreichung des Arzneimittels sind die Anweisungen des Herstellers der Ernährungssonde einzuhalten. Hinweise zur Zubereitung von Sephience vor der Anwendung, siehe Abschnitt 6.6.
Überempfindlichkeit gegen den Wirkstoff oder einen der in Abschnitt 6.1 genannten sonstigen Bestandteile.
Nahrungsaufnahme
Patienten, die mit Sephience behandelt werden, sollten sich regelmäßig klinischen Untersuchungen unterziehen und hinsichtlich einer angemessene Phe-Zufuhr über die Nahrung beraten lassen (z. B. Überwachung der Phe- und Tyrosinspiegel im Blut und der Aufnahme mit der Nahrung).
Gleichzeitige Anwendung mit Hemmern der Dihydrofolatreduktase (DHFR)
Die gleichzeitige Verabreichung von Sepiapterin mit DHFR-Hemmern (z. B. Trimethoprim, Methotrexat, Pemetrexed, Pralatrexat und Trimetrexat) kann eine häufigere Überwachung der Phe-Spiegel im Blut erfordern (siehe Abschnitt 4.5).
Langzeitsicherheitsdaten
Die Langzeitsicherheitsdaten bei Patienten mit PKU sind begrenzt (siehe Abschnitt 4.8 zu bisher für Sepiapterin untersuchten Nebenwirkungen).
Sonstige Bestandteile mit bekannter Wirkung
Natriumgehalt
Dieses Arzneimittel enthält weniger als 1 mmol Natrium (23 mg) pro Beutel, d.h. es ist nahezu „natriumfrei“.
Isomaltgehalt
Patienten mit der seltenen hereditären Fructose-Intoleranz sollten dieses Arzneimittel nicht anwenden.
Hemmer der Sepiapterinreduktase (SR)
Oral verabreichtes Sepiapterin wird schnell resorbiert und durch SR und Carbonyl-Reduktase schnell und umfassend in 7,8-Dihydrobiopterin (BH2) umgewandelt, das dann durch DHFR unidirektional in BH4 umgewandelt wird. Die gleichzeitige Verabreichung eines SR-Hemmers dürfte aufgrund der kompensatorischen Wirkung der Carbonyl-Reduktase nur minimale Auswirkungen auf die Biotransformation von Sepiapterin haben. Bei Patienten mit SR-Mangel wurden normale Phe-Werte im Blut festgestellt. Dennoch wird Vorsicht und eine häufigere Überwachung des Phe-Spiegels im Blut empfohlen, wenn Sephience zusammen mit SR-Hemmern wie Sulphasalazin oder Sulphamethoxazol verabreicht wird.
DHFR-Inhibitoren
DHFR vermittelt die Konversion von BH2 in BH4, so dass die DHFR-Hemmung möglicherweise zu einer niedrigeren BH4-Konzentration führen kann. Die Auswirkung auf die Sepiapterin-Konzentration dürfte jedoch minimal sein, da es mehrere Wege für die Eliminierung gibt. Wenn Sepiapterin zusammen mit einem DHFR-Hemmer wie Trimethoprim, Methotrexat, Pemetrexed, Pralatrexat und Trimetrexat verabreicht wird, ist Vorsicht geboten und eine häufigere Überwachung von Phe im Blut der Patienten erforderlich (siehe Abschnitt 4.4).
Vasodilatatorische Arzneimittel
Vorsicht ist geboten bei der gleichzeitigen Anwendung von Sephience mit Arzneimitteln, die eine Vasodilatation durch Beeinflussung des Stickstoffmonoxid (NO)-Stoffwechsels oder der Stickstoffmonoxidwirkung bewirken, einschließlich klassischer NO-Donatoren (z. B. Glyceryltrinitrat [GTN], Isosorbiddinitrat [ISDN], Natriumnitroprussid [SNP] und Molsidomin), Hemmern der Phosphodiesterase Typ 5 (PDE-5) (z. B. Sildenafil, Vardenafil oder Tadalafil) und Minoxidil. In tierexperimentellen Studien hatte oral verabreichtes BH4 in Kombination mit einem PDE-5-Hemmer keine Auswirkungen auf den Blutdruck.
Levodopa
Bei der Verschreibung von Sephience an Patienten, die mit Levodopa behandelt werden, ist Vorsicht geboten, um neurologische Störungen wie Verschlimmerung von Krämpfen, erhöhte Erregbarkeit und Reizbarkeit, Krampfanfälle und Verschlimmerung von Krampfanfällen zu vermeiden.
Schwangerschaft
Bisher liegen keine oder nur sehr begrenzte Erfahrungen mit der Anwendung von Sepiapterin bei Schwangeren vor.
Tierexperimentelle Studien ergaben keine Hinweise auf direkte oder indirekte gesundheitsschädliche Wirkungen in Bezug auf eine Reproduktionstoxizität (siehe Abschnitt 5.3). Es gibt keine adäquaten und gut kontrollierten Studien mit Sepiapterin an schwangeren Frauen.
Aus Vorsichtsgründen soll eine Anwendung von Sephience während der Schwangerschaft vermieden werden.
Stillzeit
Es ist nicht bekannt, ob Sepiapterin / Metabolite in die Muttermilch übergehen. Ein Risiko für Neugeborene / Kinder kann nicht ausgeschlossen werden. Es muss eine Entscheidung darüber getroffen werden, ob das Stillen zu unterbrechen ist oder ob auf die Behandlung mit Sephience verzichtet werden soll / die Behandlung mit Sephience zu unterbrechen ist. Dabei ist sowohl der Nutzen des Stillens für das Kind als auch der Nutzen der Therapie für die Frau zu berücksichtigen.
Fertilität
Für Sepiapterin wurden keine klinischen Studien zur Wirkung auf die menschliche Fertilität durchgeführt. Tierexperimentelle Studien ergaben keine Hinweise auf direkte oder indirekte schädliche Wirkungen in Bezug auf die Fertilität (siehe Abschnitt 5.3).
Sephience hat keinen oder einen zu vernachlässigenden Einfluss auf die Verkehrstüchtigkeit und die Fähigkeit zum Bedienen von Maschinen.
Zusammenfassung des Sicherheitsprofils
Wie in der nachfolgenden Tabelle dargestellt, waren die häufig berichteten Nebenwirkungen Infektionen der oberen Atemwege (19,8 %), Kopfschmerzen (15,3 %), Diarrhö (14,9 %), gefolgt von Abdominalschmerz (12,2 %), Stuhlverfärbung (4,5 %) und Hypophenylalaninämie (2,7 %).
Tabellarische Auflistung der Nebenwirkungen
Die Auswahl der Nebenwirkungen auf Sepiapterin basierte auf der Evidenz von klinischen Studien. Die Häufigkeit der Nebenwirkungen, wie unten in der tabellarischen Liste dargestellt, wurde auf der Grundlage von gepoolten Daten aus den 2 klinischen Pivotstudien bei Patienten mit PKU (Studie PTC923-MD-003-PKU und Studie PTC923‐MD‐004‐PKU) berechnet. Diese Daten umfassten 222 Patienten, die Sepiapterin bis zu 60 mg/kg/Tag ausgesetzt waren: 15 (6,8 %) waren < 2 Jahre alt, 25 (11,3 %) waren 2 bis < 6 Jahre alt, 46 (20,7 %) waren 6 bis < 12 Jahre alt, 55 (24,8 %) waren 12 bis < 18 alt und 81 (36,5 %) waren ≥ 18 Jahre alt, und die die mediane Behandlungsdauer (in Wochen) betrug 34,286.
Die Nebenwirkungen sind nachfolgend (Tabelle 6) nach MedDRA-Systemorganklasse (SOC) klassifiziert. Innerhalb jeder SOC sind die Nebenwirkungen in abnehmender Häufigkeit aufgelistet. Die Häufigkeiten des Auftretens sind wie folgt definiert: „sehr häufig“ (≥ 1/10); „häufig“ (≥ 1/100, < 1/10); „gelegentlich“ (≥ 1/1 000, < 1/100); „selten“ (≥ 1/10 000, < 1/1 000); „sehr selten“ (< 1/10 000) und „nicht bekannt“ (Häufigkeit auf Grundlage der verfügbaren Daten nicht abschätzbar).
Tabelle 6: Nebenwirkungen
MedDRA |
Häufigkeit |
Nebenwirkungen |
Infektionen und parasitäre Erkrankungen |
Sehr häufig |
Infekt der oberen Atemwege |
Erkrankungen des Nervensystems |
Sehr häufig |
Kopfschmerzen |
Erkrankungen des Gastrointestinaltrakts |
Sehr häufig |
Diarrhö |
Häufig |
Stuhlverfärbung |
|
Stoffwechsel- und Ernährungsstörungen |
Häufig |
Hypophenylalaninämie |
* Gruppe von 3 bevorzugten Bezeichnungen gemäß MedDRA: Abdominalschmerz, Oberbauchschmerzen, Abdominalbeschwerden. | ||
Kinder und Jugendliche
Insgesamt wurde Sepiapterin in klinischen PKU-Studien von pädiatrischen Patienten gut vertragen. Häufigkeit, Art und Schweregrad der Nebenwirkungen stimmten in allen Altersgruppen der pädiatrischen Patienten mit denjenigen bei Erwachsenen überein. Zur Langzeitsicherheit liegen nur begrenzte Daten vor.
Meldung des Verdachts auf Nebenwirkungen
Die Meldung des Verdachts auf Nebenwirkungen nach der Zulassung ist von großer Wichtigkeit. Sie ermöglicht eine kontinuierliche Überwachung des Nutzen-Risiko-Verhältnisses des Arzneimittels. Angehörige von Gesundheitsberufen sind aufgefordert, jeden Verdachtsfall einer Nebenwirkung über anzuzeigen:
Belgien
Föderalagentur für Arzneimittel und Gesundheitsprodukte
www.afmps.be
Abteilung Vigilanz:
Website: www.notifieruneffetindesirable.be
e-mail: adr@fagg-afmps.be
Deutschland
Bundesinstitut für Arzneimittel und Medizinprodukte
Abt. Pharmakovigilanz
Kurt-Georg-Kiesinger-Allee 3
D-53175 Bonn
Website: http://www.bfarm.de
Luxembourg/Luxemburg
Centre Régional de Pharmacovigilance de Nancy oder Abteilung Pharmazie und Medikamente (Division de la pharmacie et des médicaments) der Gesundheitsbehörde in Luxemburg
Website : www.guichet.lu/pharmakovigilanz
Österreich
Bundesamt für Sicherheit im Gesundheitswesen
Traisengasse 5
1200 WIEN
ÖSTERREICH
Fax: + 43 (0) 50 555 36207
Website: http://www.basg.gv.at/
Für eine Überdosierung mit Sephience steht kein spezifisches Antidot zur Verfügung. Die Behandlung einer Überdosierung mit Sephience sollte aus unterstützender medizinischer Versorgung bestehen, einschließlich der Überwachung der Vitalzeichen und der Beobachtung des klinischen Status des Patienten.
Pharmakotherapeutische Gruppe: Andere Mittel für das alimentäre System und den Stoffwechsel, sonstige Mittel für das alimentäre System und den Stoffwechsel, ATC-Code: A16AX28
Wirkmechanismus
Sepiapterin ist ein natürlicher Vorläufer des enzymatischen Kofaktors BH4, einem kritischen Kofaktor für Phenylalaninhydroxylase (PAH). Sepiapterin wirkt als duales pharmakologisches Chaperon (Sepiapterin und BH4 jeweils mit eigener Bindungsaffinität zu einer PAH-Variante), auch bei PAH-Varianten, die häufig bei PKU vorkommen und bekanntermaßen unempfindlich gegenüber BH4 sind, das die Aktivität des defekten PAH-Enzyms verbessert und eine hohe intrazelluläre Konzentration von BH4 bewirkt. Durch die Verbesserung der Konformationsstabilität des fehlgefalteten PAH-Enzyms und die Erhöhung der intrazellulären Konzentrationen von BH4 kann Sepiapterin die Phe-Spiegel im Blut effektiv senken.
Klinische Wirksamkeit und Sicherheit
Die Wirksamkeit von Sepiapterin wurde in drei klinischen Studien bei Patienten mit PKU untersucht.
Studie 1 (PTC923-MD-003-PKU) war eine zweiteilige, globale, doppelblinde, randomisierte, placebokontrollierte klinische Studie mit 157 Patienten aller Altersgruppen mit PKU.
In Teil 1 der Studie wurde das Ansprechen auf Sepiapterin untersucht, mit 14 Tagen einer offenen Behandlung mit Sepiapterin, gefolgt von mindestens 14 Tagen Sepiapterin-Washout. Darüber hinaus zeigten 73,1 % (114/156) der Studienteilnehmer eine Reduktion der Phe-Spiegel im Blut um ≥ 15 % als Reaktion auf Sepiapterin. Die Sepiapterin-Dosis bei Patienten im Alter von ≥ 2 Jahren betrug 60 mg/kg/Tag.
Die Teilnehmer wurden angewiesen, ihre übliche Ernährung unverändert beizubehalten.
Patienten im Alter von ≥ 2 Jahren, bei denen eine Reduktion der Phe-Spiegel im Blut um ≥ 15 % eintrat, wurden als Responder eingestuft und fuhren mit Teil 2 (n = 110) fort. Nach dem Washout-Zeitraum aus Teil 1 wurden die Patienten zu gleichen Teilen entweder zu Sepiapterin 20 mg/kg/Tag für Woche 1 und 2, 40 mg/kg/Tag für Woche 3 und 4, 60 mg/kg/Tag für Woche 5 und 6 (n = 56) oder Placebo (n = 54) für 6 Wochen randomisiert. Die primäre Wirksamkeit wurde anhand der mittleren Veränderung der Phe-Spiegel im Blut von Baseline bis Woche 5 und 6 in der mit Sepiapterin behandelten Gruppe im Vergleich zur mittleren Veränderung in der Placebogruppe bei Patienten beurteilt, die in Teil 1 eine ≥ 30%ige Reduktion des Phe-Spiegels im Blut aufwiesen. In Teil 2 waren die demografischen Merkmale in den 2 Behandlungsarmen gut ausgewogen (Tabelle 7). Das mediane Alter zum Zeitpunkt der Einwilligungserklärung betrug 14 Jahre (Bereich: 2–54), und die Teilnehmer waren in Bezug auf ihre ethnische Zugehörigkeit überwiegend weiß (91,8 %). Bei mehr als der Hälfte (65,5 %) der 110 Teilnehmer wurde PKU bei der Geburt diagnostiziert, und die Mehrheit (82,7 %) hatte eine „biochemisch definierte“ nicht-klassische PKU.
Tabelle 7: Demografische und Baseline-Merkmale
Nur Teilnehmer in Teil 1 |
Randomisierte und behandelte Teilnehmer in Teil 2 |
Insgesamt behandelte Teilnehmer |
|||
Sepiapterin |
Placebo |
Gesamt |
|||
Alter (Jahre) | |||||
n |
47 |
56 |
54 |
110 |
157 |
Mittelwert (SD) |
18,4 (15,07) |
16,5 (11,12) |
18,4 (10,65) |
17,4 (10,88) |
17,7 (12,24) |
Median (Min., Max.) |
15,0 (1; 61) |
13,0 (2; 47) |
15,0 (4; 54) |
14,0 (2; 54) |
14,0 (1; 61) |
Alterskategorie, n (%) | |||||
≥ 1 – < 2 Jahre |
3 (6,4) |
0 |
0 |
0 |
3 (1,9) |
≥ 2 – < 6 Jahre |
5 (10,6) |
7 (12,5) |
3 (5,6) |
10 (9,1) |
15 (9,6) |
≥ 6 – < 12 Jahre |
11 (23,4) |
17 (30,4) |
12 (22,2) |
29 (26,4) |
40 (25,5) |
≥ 12 – < 18 Jahre |
10 (21,3) |
14 (25,0) |
19 (35,2) |
33 (30,0) |
43 (27,4) |
≥ 18 Jahre |
18 (38,3) |
18 (32,1) |
20 (37,0) |
38 (34,5) |
56 (35,7) |
SD, Standardabweichung | |||||
Der Unterschied zwischen den 2 Behandlungsgruppen war statistisch signifikant (p < 0,0001) (Tabelle 8).
Tabelle 8: Mittlere Veränderung der Phe-Spiegel im Blut von Baseline bis Woche 5 und Woche 6 in Teil 2 (primäres Analyseset mit Phe-Reduktion gegenüber Baseline ≥ 30 % in Teil 1)
Sepiapterin |
Placebo |
Unterschied Sepiapterin vs. Placebo |
p-Wert |
|||||
Baseline* | ||||||||
Mittelwert (SD) |
646,11 (253,007) |
654,04 (261,542) |
||||||
Woche 5 und 6** | ||||||||
Mittelwert (SD) |
236,04 (174,942) |
637,85 (259,886) |
||||||
Mittlere Veränderung gegenüber Baseline (μmol/l) |
-410,07 (204,442) |
-16,19 (198,642) |
||||||
Mittlere prozentuale Veränderung gegenüber Baseline (%) |
-62,8 % |
1,4 % |
||||||
LS-Mittelwertschätzung für die mittlere Veränderung gegenüber Baseline | ||||||||
LS-Mittelwert (SE) |
-415,75 (24,066) |
-19,88 (24,223) |
‐395,87 (33,848) |
< 0,0001 |
||||
95-%-KI |
(-463,52, -367,97) |
(-67,97, 28,21) |
(-463,07, -328,66) |
|||||
KI, Konfidenzintervall; LS, kleinste Quadrate; MMRM, gemischtes Modell für wiederholte Messungen; Phe, Phenylalanin; SD, Standardabweichung; SE, Standardfehler | ||||||||
Ähnliches Ansprechen wurde in der Population von Patienten mit klassischer PKU (cPKU) beobachtet, mit einer 69%igen Reduktion des Phe im Blut in Woche 6 bei Patienten, die Sepiapterin erhielten (n = 6), gegenüber einem Anstieg von 3 % nach Placebo (n = 9).
Die Studie 2 (PKU-002) war eine randomisierte, offene, wirkstoffkontrollierte Zweifach-Crossover-, klinische Proof-of-Concept-Studie der Phase II zu Sepiapterin bei Patienten mit PKU.
Die Studie bestand aus 6 Sequenzgruppen mit 4 Patienten pro Gruppe, insgesamt 24 Patienten. Jede Sequenzgruppe wurde randomisiert und erhielt 7-tägige Behandlungen mit Sepiapterin 60 mg/kg/Tag, Sepiapterin 20 mg/kg/Tag und Sapropterindihydrochlorid 20 mg/kg/Tag in zufälliger Reihenfolge, gefolgt von einem 7-tägigen Washout nach jeder Behandlung. Die vorläufige Wirksamkeit wurde anhand der Verringerung der Phe-Konzentrationen im Blut beurteilt. Die Ergebnisse der primären Analyse des wöchentlichen Mittelwerts der Wirksamkeit zeigten, dass die Behandlung mit Sepiapterin zu einer Abnahme der Phe-Konzentrationen im Blut gegenüber Baseline führte, die für alle Behandlungen statistisch signifikant war (N = 24). Bei einem größeren Anteil der Patienten, die eine Sepiapterin-Behandlung erhielten, kam es unabhängig von der Dosis zu Phe-Reduktionen im Plasma von mindestens 10 %, 20 % und 30 % im Vergleich zu Patienten, die Sapropterin 20 mg/kg/Tag erhielten. Im Vergleich zu Sapropterin 20 mg/kg/Tag erreichten mehr Patienten, die Sepiapterin 60 mg/kg/Tag erhielten, normalisierte Phe-Konzentrationen im Plasma (< 120 μmol/l) und Phe-Werte innerhalb des Zielbereichs (≤ 360 μmol/l). Bei Patienten mit cPKU führte die Behandlung mit Sepiapterin (60 mg/kg/Tag) zu einer signifikanten Abnahme der Phe-Konzentration im Blut gegenüber Baseline.
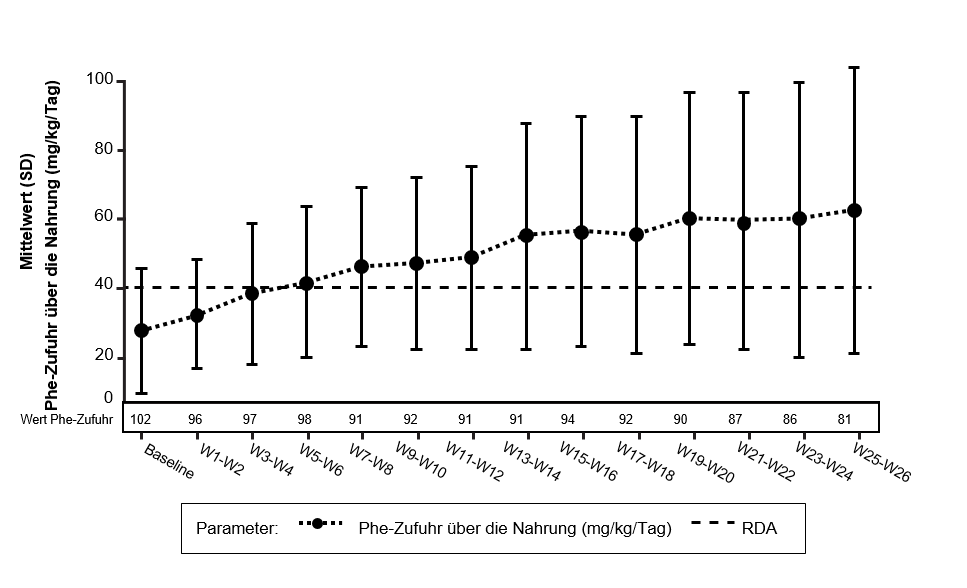
Studie 3 (PTC923-MD-004-PKU) ist eine laufende, multizentrische, offene klinische Phase-III-Studie zur Beurteilung der Sicherheit und Phe-Toleranz während der Langzeitbehandlung mit Sepiapterin bei Patienten mit PKU. Einhundertneunundsechzig (169) Patienten erhielten eine Behandlung mit Sepiapterin 7,5 mg/kg/Tag bei Teilnehmern im Alter von 0 bis < 6 Monaten, 15 mg/kg/Tag bei Teilnehmern im Alter von 6 bis < 12 Monaten, 30 mg/kg/Tag bei Teilnehmern im Alter von 12 Monaten bis < 2 Jahren oder 60 mg/kg/Tag bei Teilnehmern im Alter von ≥ 2 Jahren. Vorläufige Daten deuten darauf hin, dass die tägliche Verabreichung von Sepiapterin mit einer etwa 2,3‑fachen Erhöhung der mittleren täglichen Phe-Aufnahme assoziiert ist (27,6 mg/kg/Tag bei Baseline gegenüber 62,5 mg/kg/Tag in Woche 26) und dennoch Phe-Spiegel von < 360 μmol/l erhalten bleiben. Die Mehrzahl der Teilnehmer erreichte eine Reduktion der Phe-Werte im Blut von mindestens 15 % (76,7 % der Teilnehmer) oder 30 % (67,4 % der Teilnehmer) (Abbildung 1).
Abbildung 1: Mittlere (SD) Phe-Zufuhr über die Ernährung im Zeitverlauf während der Beurteilung der Phe-Toleranz (Phe-Toleranz-Analyseset)

Phe, Phenylalanin; PKU, Phenylketonurie; RDA, empfohlene Tagesdosis; SD, Standardabweichung; W, Woche
Hinweis: Baseline ist definiert als der Durchschnitt der täglichen Phe-Zufuhr über die Nahrung (mg/kg/Tag) in Monat 1. Die RDA beträgt 0,8 g Protein/kg, das entspricht etwa 40 mg/kg/Tag Phe. Die Baseline der Phe-Werte im Blut ist der Mittelwert des Zeitraums vor der Bewertung in Woche 1-2. 1 g Protein entspricht etwa 50 mg Phe.
Diese Daten deuten darauf hin, dass die Sepiapterin-Behandlung eine Lockerung der sehr restriktiven Ernährungsweise ermöglichen kann, die Patienten mit PKU einhalten müssen.
Patienten mit Allergien oder unerwünschten Reaktionen auf synthetisches BH4 in der Vorgeschichte wurden von den klinischen Studien ausgeschlossen.
Die Europäische Arzneimittel-Agentur hat für Sephience eine Zurückstellung von der Verpflichtung zur Vorlage von Ergebnissen zu Studien in einer oder mehreren pädiatrischen Altersklassen zu HPA gewährt (siehe Abschnitt 4.2 bzgl. Informationen zur Anwendung bei Kindern und Jugendlichen).
Resorption
Nach oraler Verabreichung wird Sepiapterin schnell resorbiert, und die Plasmaspitzenkonzentrationen treten innerhalb von etwa 1 bis 3 Stunden auf und fallen schnell (im Allgemeinen nach 12 Stunden) unter die Quantifizierungsgrenze (0,75 ng/ml) ab. Die maximale Sepiapterinkonzentration im Plasma (Cmax) betrug nach der einmal täglichen Dosis von 60 mg/kg/Tag über 7 Tage bei einer fettreichen, kalorienreichen Ernährung etwa 2,80 ng/ml. Nach wiederholter Gabe wurde keine Akkumulation von Sepiapterin beobachtet.
Sepiapterin im Plasma wird weitgehend zu dem pharmakologisch aktiven Metaboliten BH4 metabolisiert. Die scheinbare terminale Halbwertszeit für BH4 beträgt etwa 5 Stunden. Sowohl BH4 Cmax als auch die Fläche unter der Konzentrations-Zeit-Kurve vom Zeitpunkt Null bis 24 Stunden nach der Dosis (AUC0-24h) stiegen mit der Dosis an, allerdings war die Erhöhung bei einer Sepiapterin-Dosis über 20 mg/kg geringer als dosisproportional. Nach wiederholter Gabe von Sepiapterin bis zu 60 mg/kg über 7 Tage kommt es zu keiner Akkumulation von BH4.
Wirkung von Nahrungsmitteln
Wenn Sepiapterin zusammen mit einer fettarmen, kalorienarmen Mahlzeit im Dosisbereich von 20 bis 60 mg/kg verabreicht wurde, war die BH4-Exposition 1,69- bis 1,72-mal höher für Cmax und 1,62- bis 1,73-mal höher für AUC0‐24h als bei Verabreichung im Nüchternzustand. Wenn Sepiapterin mit einer fett- und kalorienreichen Mahlzeit verabreicht wurde, war die BH4-Exposition 2,21- bis 2,26-mal höher für Cmax und 2,51- bis 2,84-mal höher für AUC0‐24h als bei Verabreichung im Nüchternzustand.
Sepiapterin kann mit einer beliebigen Mahlzeit zu jeder beliebigen Tageszeit, aber jeden Tag zur gleichen Zeit eingenommen werden.
Verteilung
Die Bindung von Sepiapterin oder BH4 an das Plasmaprotein ist gering, und der Großteil von Sepiapterin und BH4 kann im Plasma frei pharmakologische Wirkungen entfalten. In-vitro-Studien zeigen, dass Sepiapterin in Gegenwart von 0,1 % Dithiothreitol im Konzentrationsbereich von 0,1 bis 10 μM an Plasmaprotein gebunden ist (Mittelwert 15,4 %). BH4 war in Gegenwart von 0,5 % β-Mercaptoethanol zu 41,3 % (bei 2 μM), 33,0 % (bei 5 μM) und 24,1 % (bei 15 μM) an Protein in menschlichem Plasma gebunden.
Bei gesunden Probanden wurde nach wiederholter oraler Gabe von Sepiapterin eine erhöhte BH4-Konzentration im Liquor beobachtet.
Biotransformation
Sepiapterin wird durch SR/Carbonylreduktase und DHFR in einem zweistufigen unidirektionalen Prozess zu BH4 metabolisiert. Es wird angenommen, dass der Metabolismus von BH4 dem gleichen Stoffwechselweg folgt wie endogenes BH4, das oxidiert wird, während es als Coenzym für aromatische Aminosäurehydroxylasen, wie PAH, Tyrosinhydroxylase, Tryptophanhydroxylase und Alkylglycerolmonoxygenase, und Stickstoffmonoxidsynthase sowie einige Metaboliten, wie 4α-Hydroxy-Tetrahydrobiopterin und Quinonoid-Dihydrobiopterin, fungiert, und zur Regeneration von BH4, vermittelt durch Pterin-4α-Carbinolamin-Dehydratase und Dihydropteridin-Reduktase, wiederaufbereitet werden könnte.
Nach einer oralen Einzeldosis von 14C‐Sepiapterin wurde beim Menschen ein umfangreicher Metabolismus von Sepiapterin beobachtet. Der wichtigste Stoffwechselweg umfasste Oxidation/Dehydrierung, Reduktion/Oxidation, oxidative Desaminierung, Dehydrierung, Seitenkettenspaltung und Methylierung usw., allein oder in Kombination.
Elimination
Nach oraler Verabreichung bei gesunden menschlichen Teilnehmern wurde Sepiapterin weitgehend metabolisiert und die Metaboliten wurden hauptsächlich im Stuhl ausgeschieden. Plasma-Sepiapterin sank nach Cmax rasch unter die Quantifizierungsgrenze, im Allgemeinen 12 Stunden nach Dosisgabe. Plasma-BH4 sank mono-exponentiell nach Cmax. Die terminale Halbwertszeit betrug etwa 5 Stunden.
Nach einer oralen Einzeldosis von 14C-Sepiapterin an erwachsene gesunde Probanden wurden im Durchschnitt 6,71 % der aufgenommenen Radioaktivität im Urin und 26,18 % im Stuhl gefunden, mit einer kombinierten gesamten Gesamtwiederfindung von 32,9 % nach 240 Stunden. Der Großteil dieser Radioaktivität wurde innerhalb der ersten 48 Stunden nach Dosisgabe wiedergefunden (28,2 %). Die gesamte renale Clearance der Radioaktivität aus 14C-Sepiapterin betrug 1,54 l/h (25,6 ml/min). Die Bildung von flüchtigen Metaboliten aus Sepiapterin im Magen-Darm-Trakt wurde in einer In-vitro-Untersuchung humaner intestinaler Mikrobiota bestätigt.
Besondere Patientengruppen
Alter
PKU-Patienten aller Altersgruppen waren in die klinischen Phase-III-Studien eingeschlossen. Mit Ausnahme der allometrischen Wirkung auf die Clearance und das Verteilungsvolumen wurde in der Populations-PK-Studie kein weiterer Alterseffekt festgestellt.
Ethnie und Abstammung
Bei asiatischen Teilnehmern wurden höhere BH4-Expositionen beobachtet. In der japanischen Ethno-Bridging-Studie wurden bei Japanern im Vergleich zu nicht-japanischen Patienten im Sepiapterin-Dosisbereich von 20 bis 60 mg/kg 10 % bis 24 % höhere AUC0-last und 14 % bis 29 % höhere Cmax von BH4 beobachtet.
Nierenfunktionsstörungen
Die PK und Sicherheit von Sepiapterin wurde bei Patienten mit Nierenfunktionsstörung nicht untersucht.
Leberfunktionsstörung
Die PK und Sicherheit von Sepiapterin wurde bei Patienten mit Leberfunktionsstörung nicht untersucht.
Arzneimittelwechselwirkungen
In-vitro-Studien
In-vitro-Studien deuten darauf hin, dass Sepiapterin und BH4 wahrscheinlich keine Verursacher des CYP450-vermittelten Metabolismus sind.
In vitro bewirkte Sepiapterin keine Hemmung von CYP1A2, CYP2B6, CYP2C8, CYP2C9, CYP2C19, CYP2D6 oder CYP3A4 oder Induktion von CYP1A2, CYP2B6 oder CYP3A4.
In-vivo-Studien
Bei gesunden Probanden erhöhte die gleichzeitige Verabreichung von Sepiapterin (20 mg/kg) mit einer Einzeldosis des Breast-Cancer-Resistance-Protein (BCRP)-Inhibitors Curcumin (2 g) die BH4-Exposition leicht. Die geschätzten Geometric Mean Ratios (GMR) (90-%-KI) für BH4 Cmax und die Fläche unter der Konzentrations-Zeit-Kurve vom Zeitpunkt Null bis zum Zeitpunkt der letzten quantifizierbaren Messung (AUC0-last) bei gleichzeitiger Verabreichung von Sepiapterin und Curcumin im Vergleich zu Sepiapterin allein betrugen 1, 24 (1,15–1,33) bzw. 1,20 (1,13–1,28). Dieser moderate Anstieg wird als klinisch nicht relevant angesehen.
Die gleichzeitige Verabreichung einer Einzeldosis Sepiapterin in der maximalen therapeutischen Dosis von 60 mg/kg mit dem BCRP-Substrat Rosuvastatin (10 mg) hatte keine Wirkung auf die PK von Rosuvastatin. Die geschätzten Gesamt-GMRs (90-%-KI) für Rosuvastatin Cmax und AUC0-last bei gleichzeitiger Verabreichung von Rosuvastatin mit Sepiapterin im Vergleich zu Rosuvastatin allein betrugen 1,13 (1,00–1,28) bzw. 1,02 (0,93–1,13).
Basierend auf den konventionellen Studien zur Sicherheitspharmakologie, Genotoxizität, zum kanzerogenen Potential und zur Reproduktions- und Entwicklungstoxizität lassen die präklinischen Daten keine besonderen Gefahren für den Menschen erkennen.
Bei Ratten wurden nach wiederholter oraler Gabe durch Sepiapterin bedingte renale Tubulusdegeneration/-regeneration, interstitielle Entzündung und Fibrose als Ergebnis einer Kristallablagerung in den papillären Sammelrohren festgestellt. Diese Befunde waren nach einem 4-wöchigen Erholungszeitraum teilweise reversibel und es trat keine Nierentoxizität bei BH4-Expositionswerten auf, die das 2‑fache der klinischen BH4-Expositionswerte bei der maximal empfohlenen humanen Dosis (MRHD) betrugen.
Mikrokristalline Cellulose (E460)
Isomaltitol (E953)
Mannitol (E421)
Croscarmellose-Natrium (E468)
Xanthangummi (E415)
Kolloidales wasserfreies Siliciumdioxid oder kolloidales Siliciumdioxid (E551)
Sucralose (E955)
Magnesiumstearat (E470)
Nicht zutreffend.
3 Jahre.
Nach Rekonstitution
Jede Dosis sollte sofort nach der Rekonstitution verabreicht werden. Die rekonstituierte Lösung ist zu entsorgen, wenn sie bei Aufbewahrung im Kühlschrank (2 °C – 8 °C) nicht innerhalb von 24 Stunden oder bei Aufbewahrung unter 25 °C nicht innerhalb von 6 Stunden verwendet wird.
Für dieses Arzneimittel sind bezüglich der Temperatur keine besonderen Lagerungsbedingungen erforderlich.
In der Originalverpackung aufbewahren, um den Inhalt vor Licht zu schützen.
Aufbewahrungsbedingungen nach der Rekonstitution des Arzneimittels, siehe Abschnitt 6.3.
Beutel aus hitzeversiegelter, laminierter Aluminiumfolie:
Polyethylenterephthalat, weißes extrudiertes Polyethylen (Polyester/Folienbindung), Aluminiumfolie (Feuchtigkeitsbarriere) und hitzeversiegeltes Ionomerharz (Klebstoff).
Jeder Karton enthält 30 Einzeldosis-Beutel.
Keine besonderen Anforderungen für die Beseitigung.
Nicht verwendetes Arzneimittel oder Abfallmaterial ist entsprechend den nationalen Anforderungen zu beseitigen.
Anweisungen für die Verabreichung über eine enterale Ernährungssonde
1) Vor der Verabreichung sicherstellen, dass die enterale Ernährungssonde (Größe 6 Fr oder 8 Fr) nicht blockiert ist.
2) Die enterale Ernährungssonde mit 10 ml Wasser spülen.
3) Die erforderliche Dosis von Sephience Pulver zum Einnehmen innerhalb von 30 Minuten nach dem Vermischen verabreichen (siehe Abschnitt 4.2).
4) Die enterale Ernährungssonde mit mindestens 5 ml (6-Fr-Sonde) oder 15 ml (8-Fr-Sonde) Wasser spülen und das Spülvolumen verabreichen.
Dieses Arzneimittel ist für die Verwendung mit einer enteralen Silikon- und Polyurethan-Ernährungssonde geeignet.
PTC Therapeutics International Limited
Unit 1, 52-55 Sir John Rogerson’s Quay
Dublin 2, D02 NA07
Irland
EU/1/25/1939/001
EU/1/25/1939/002
Datum der Erteilung der Zulassung: 19. Juni 2025
08/2025
Ausführliche Informationen zu diesem Arzneimittel sind auf den Internetseiten der Europäischen Arzneimittel-Agentur https://www.ema.europa.eu verfügbar.