Finural® 5 mg Filmtabletten
1 Filmtablette enthält:5 mg Finasterid
Sonstige Bestandteil mit bekannter Wirkung:
Eine Filmtablette enthält 77,45 mg Lactose-Monohydrat.
Vollständige Auflistung der sonstigen Bestandteile, siehe Abschnitt 6.1.
Filmtabletten.
Gelbe, runde, bikonvexe Filmtabletten mit einem Durchmesser von 7,1 mm.
Zur Behandlung der benignen Prostatahyperplasie (BPH).
Zur Reduzierung des Risikos einer akuten Harnretention und BPH-bedingter chirurgischer Eingriffe bei Patienten mit mäßigen bis schweren Symptomen einer BPH (siehe 5.1 Pharmakodynamische Eigenschaften).
Finural 5 mg sollte bei Patienten mit einer vergrößerten Prostata (Prostatavolumen ab ca. 40 cm3) angewendet werden.
Dosierung
Empfohlen wird täglich 1 Filmtablette Finural (5 mg Finasterid).
Art der Anwendung
Finural 5 mg kann entweder auf nüchternen Magen oder mit einer Mahlzeit mit ausreichend Flüssigkeit eingenommen werden.
Kombinationstherapie mit Doxazosin
Empfohlen wird eine Dosierung von:
Finural 5 mg: 1 Filmtablette (5 mg Finasterid) täglich
Doxazosin:
Woche 1: 1 mg Doxazosin täglich
Woche 2: 2 mg Doxazosin täglich
Woche 3: 4 mg Doxazosin täglich
Ab Woche 4: 4 mg oder 8 mg Doxazosin täglich
Eine Dosistitration auf mindestens 4 mg Doxazosin täglich ist erforderlich, um das Risiko einer klinischen Progression der BPH signifikant zu reduzieren (MTOPS-Studie siehe 5.1 Pharmakodynamische Eigenschaften).
Eingeschränkte Leberfunktion
Bisher stehen keine Erkenntnisse über den Einsatz von Finasterid bei Patienten mit eingeschränkter Leberfunktion zur Verfügung.
Niereninsuffizienz
Pharmakokinetische Untersuchungen zeigten, dass eine Dosisanpassung bei einer Kreatinin-Clearance von über 9 ml/min/1,73 m2 nicht erforderlich ist. Erkenntnisse über den Einsatz von Finasterid bei dialysepflichtigen Patienten liegen nicht vor.
Ältere Patienten
Die Elimination von Finasterid ist bei Patienten über 70 Jahre geringfügig vermindert. Eine Dosisanpassung ist jedoch nicht erforderlich.
Die Dauer der Anwendung bestimmt der Arzt.
Überempfindlichkeit gegen den Wirkstoff oder einen der in Abschnitt 6.1 genannten sonstigen Bestandteile.
Frauen, die schwanger sind oder schwanger sein könnten (siehe 4.6 Fertilität, Schwangerschaft und Stillzeit).
Finural 5 mg ist weder für Frauen noch für Kinder angezeigt.
Allgemeine Hinweise
Eine Behandlung mit Finasterid sollte in Abstimmung mit einem Arzt für Urologie erfolgen.
Eine Obstruktion aufgrund eines trilobären Wachstumsmusters der Prostata sollte vor Therapiebeginn ausgeschlossen werden.
Um obstruktive Komplikationen zu vermeiden, ist es wichtig, Patienten mit großem Restharnvolumen und/oder stark vermindertem Harnfluss sorgfältig zu überwachen. Die Möglichkeit eines chirurgischen Eingriffs sollte erwogen werden.
Wirkungen auf PSA und die Entdeckung von Prostatakarzinomen
Es wurde bisher kein klinischer Nutzen einer Behandlung mit Finasterid 5 mg bei Patienten mit Prostatakarzinom nachgewiesen.
Patienten mit BPH und erhöhten prostataspezifischen Antigen(PSA)-Spiegeln wurden in klinischen Studien mit regelmäßigen PSA-Spiegel-Kontrollen und Prostatabiopsien überwacht. Diese BPH-Studien waren nicht zur Feststellung eines Unterschiedes in der Rate der Prostatakarzinome ausgelegt.
In diesen Studien änderte Finasterid 5 mg die Rate der Entdeckung von Prostatakarzinomen nicht. Die Gesamthäufigkeit der Prostatakarzinome bei den Patienten unter Finasterid 5 mg war nicht signifikant unterschiedlich im Vergleich zu der bei Patienten unter Placebo.
Als Kontrolle vor und regelmäßig während der Behandlung mit Finasterid 5 mg sollte bei Patienten eine digitale rektale Untersuchung zur Früherkennung eines Prostatakarzinoms durchgeführt werden.
Die Bestimmung des prostataspezifischen Antigens (PSA) im Serum wird auch zur Diagnostik eines Prostatakarzinoms verwendet. Im Allgemeinen erfordert ein PSA-Wert > 10 ng/ml (Hybritech) weitere Maßnahmen, eine Biopsie sollte erwogen werden. Bei PSA-Spiegeln zwischen 4 ng/ml und 10 ng/ml sind weitere Kontrollen zu empfehlen.
Die PSA-Wert-Bereiche von Männern mit und von Männern ohne Prostatakarzinom können sich deutlich überschneiden. Deshalb schließen bei Patienten mit benigner Prostatahyperplasie (BPH) PSA-Werte im Normbereich ein Prostatakarzinom, ungeachtet einer Behandlung mit Finasterid 5 mg, nicht aus. Auch PSA-Werte < 4 ng/ml schließen ein Prostatakarzinom nicht aus.
Jeder länger anhaltende Anstieg des PSA-Wertes während der Therapie mit Finasterid 5 mg sollte sorgfältig beurteilt werden, auch hinsichtlich der Möglichkeit, dass der Patient die Finasterid 5 mg Filmtabletten nicht einnimmt.
Der Anteil an freiem PSA ist unter der Therapie mit Finasterid 5 mg nicht signifikant erniedrigt. Das Verhältnis von freiem PSA zu Gesamt-PSA bleibt auch unter der Wirkung von Finasterid 5 mg konstant. Bei Heranziehung des PSA-Quotienten (= freies PSA/Gesamt-PSA) in der Prostatakarzinom-Diagnostik ist daher keine rechnerische Korrektur erforderlich.
Wechselwirkungen mit Labortests
Wirkung auf den PSA-Wert
Serum-Konzentrationen von PSA korrelieren mit dem Alter des Patienten und dem Prostatavolumen, das Prostatavolumen seinerseits korreliert mit dem Alter des Patienten. Bei der Beurteilung der PSA-Werte sollte berücksichtigt werden, dass PSA unter der Therapie mit Finasterid 5 mg um ca. 50 % absinkt. Bei der Mehrzahl der Patienten fällt der PSA-Spiegel innerhalb der ersten Behandlungsmonate rasch ab, danach stabilisiert sich der PSA-Wert auf einen Ausgangswert, der im Mittel der beobachteten Patienten etwa um die Hälfte niedriger liegt als vor Beginn der Behandlung. Daher sollten die PSA-Werte beim typischen Patienten, der mindestens sechs Monate mit Finasterid 5 mg behandelt wurde, verdoppelt werden im Vergleich zu den normalen Werten bei unbehandelten Männern. Dieser Abfall ist für den gesamten Bereich der PSA-Werte vorhersagbar, unterliegt allerdings interindividuell einer Streuung. Eine Analyse von Daten der PSA-Werte von über 3.000 Patienten in einer vierjährigen, doppelblinden, Placebo-kontrollierten Langzeitstudie mit Finasterid 5 mg (PLESS = Finasterid Long-Term Efficacy and Safety Study) bestätigte, dass bei einem typischen Patienten unter einer mindestens sechsmonatigen Therapie mit Finasterid 5 mg die PSA-Werte im Vergleich zu den Normalwerten bei unbehandelten Männern verdoppelt werden sollen. Diese Anpassung erhält die Empfindlichkeit und Spezifität der PSA-Bestimmung und ihrer Eignung für die Prostatakarzinom-Aufdeckung.
Brustkrebs bei Männern
In klinischen Studien und nach Markteinführung wurde Brustkrebs bei Männern unter Finasterid 5 mg berichtet.
Ärzte sollten ihre Patienten anweisen, unverzüglich jegliche Veränderungen des Brustgewebes wie Knoten, Schmerzen, Gynäkomastie oder Ausfluss aus der Brustwarze zu berichten.
Stimmungsänderungen und Depression
Bei Patienten, die mit Finasterid 5 mg behandelt wurden, wurde über Stimmungsänderungen einschließlich depressiver Verstimmung, Depression und, seltener, Suizidgedanken berichtet. Patienten sollten hinsichtlich psychiatrischer Symptome überwacht werden. Wenn solche Symptome auftreten, sollte dem Patienten geraten werden, medizinischen Rat einzuholen.
Leberinsuffizienz
Die Auswirkungen einer Leberinsuffizienz auf die Pharmakokinetik von Finasterid wurden nicht untersucht.
Anwendung bei Kindern
Da Erkenntnisse über den Einsatz von Finasterid bei Kindern nicht zur Verfügung stehen, ist dieser Personenkreis von der Behandlung auszunehmen.
Sonstige Bestandteile
Dieses Arzneimittel enthält Lactose. Patienten mit der seltenen hereditären Galactose-Intoleranz, völligem Lactase-Mangel oder Glucose-Galactose-Malabsorption sollten dieses Arzneimittel nicht einnehmen.
Natrium
Dieses Arzneimittel enthält weniger als 1 mmol (23 mg) Natrium pro Filmtablette, d. h., es ist nahezu „natriumfrei“.
Klinisch bedeutsame Wechselwirkungen sind nicht bekannt. Finasterid wird vor allem über das Cytochrom-P450-3A4-System metabolisiert, ohne dieses relevant zu beeinflussen. Obwohl das Risiko, dass sich Finasterid auf die Pharmakokinetik von anderen Medikamenten auswirkt, als gering eingeschätzt wird, ist es wahrscheinlich, dass Stoffe, die das Cytochrom P450 3A4 hemmen oder induzieren, die Plasmakonzentration von Finasterid beeinflussen. Wenn man die anerkannten Sicherheitsspannen zugrunde legt, ist es allerdings unwahrscheinlich, dass ein Anstieg, wie er durch die gleichzeitige Gabe solcher Hemmstoffe bedingt sein kann, von klinischer Bedeutung ist. Zu den beim Menschen überprüften Substanzen gehören Propranolol, Digoxin, Glibenclamid, Warfarin, Theophyllin und Phenazon, wobei keine klinisch bedeutsamen Wechselwirkungen beobachtet wurden.
Schwangerschaft
Die Anwendung von Finural 5 mg ist kontraindiziert bei Frauen, die schwanger sind oder bei denen eine Schwangerschaft nicht auszuschließen ist (siehe 4.3 Gegenanzeigen).
Durch Finasterid wird die Umwandlung von Testosteron in Dihydrotestosteron gehemmt. Wenn Finural 5 mg von einer Schwangeren eingenommen wird, kann dies zu Missbildungen der äußeren Geschlechtsorgane männlicher Feten führen.
Finasterid-Exposition– Risiko für männliche Feten
Zerbrochene oder zerstoßene Finural 5 mg Filmtabletten sollten von Frauen, speziell des medizinischen Assistenzpersonals, die einem Gefährdungsrisiko unterliegen, wenn sie schwanger oder möglicherweise schwanger sind, nicht berührt werden, da eine Resorption von Finasterid und damit ein potenzielles Risiko für den männlichen Fetus nicht ausgeschlossen werden kann.
Finural 5 mg Filmtabletten haben einen Filmüberzug, der bei normaler Handhabung den Kontakt mit der aktiven Substanz verhindert, vorausgesetzt, dass die Filmtabletten nicht zerbrochen oder zerstoßen werden.
Geringe Mengen von Finasterid wurden im Samen von Männern, die 5 mg Finasterid/Tag
erhielten, wiedergefunden. Es ist nicht bekannt, ob ein männlicher Fetus, dessen Mutter mit dem Samen eines mit Finasterid behandelten Patienten in Kontakt kommt, geschädigt wird. Wenn die Partnerin des Patienten schwanger ist oder sein könnte, wird empfohlen, dass der Patient den Kontakt seiner Partnerin mit seinem Samen möglichst gering hält.
Stillzeit
Finural 5 mg ist nicht für die Anwendung bei Frauen angezeigt.
Es ist nicht bekannt, ob Finasterid in die Muttermilch übergeht.
Es gibt keine Daten, die vermuten lassen, dass Finural 5 mg die Verkehrstüchtigkeit oder die Fähigkeit zum Bedienen von Maschinen beeinträchtigt.
Die häufigsten Nebenwirkungen sind Impotenz und verminderte Libido. Bei der Mehrheit der Patienten treten diese Nebenwirkungen zu Beginn der Therapie auf und bilden sich im Verlauf der Therapie zurück.
Die Nebenwirkungen, die in klinischen Studien und/oder nach Markteinführung berichtet wurden, sind in der folgenden Tabelle aufgelistet.
Die Häufigkeit der Nebenwirkungen wird wie folgt definiert:
Sehr häufig (≥1/10); häufig (≥1/100 bis <1/10); gelegentlich (≥1/1.000 bis <1/100); selten (≥1/10.000 bis <1/1.000); sehr selten (<1/10.000) und nicht bekannt (auf Grundlage der verfügbaren Daten nicht abschätzbar).
Da die Nebenwirkungen, die nach Markteinführung für Finural 5 mg und/oder Finasterid in niedrigeren Dosierungen aus Spontanberichten aus einer Population unbestimmter Größe stammen, ist es nicht möglich, ihre Häufigkeit zuverlässig abzuschätzen bzw. einen Kausalzusammenhang mit der Anwendung des Arzneimittels nachzuweisen.
Systemorgan-Klasse |
Häufigkeit: Nebenwirkungen |
Erkrankungen des Immunsystems |
Nicht bekannt: Überempfindlichkeitsreaktionen wie Angioödeme (einschließlich Schwellung der Lippen, der Zunge, des Halses und des Gesichts). |
Psychiatrische Erkrankungen |
Häufig: verminderte Libido |
Herzerkrankungen |
Nicht bekannt: Palpitationen |
Leber- und Gallenerkrankungen |
Nicht bekannt: erhöhte Leberwerte |
Erkrankungen der Haut und des Unterhautgewebes |
Gelegentlich: Hautausschlag |
Erkrankungen der Geschlechtsorgane und der Brustdrüse |
Häufig: Impotenz |
Untersuchungen |
Häufig: vermindertes Ejakulatvolumen |
Zusätzlich wurde in klinischen Studien und nach Markteinführung folgendes berichtet: Brustkrebs beim Mann (siehe 4.4 Besondere Warnhinweise und Vorsichtsmaßnahmen für die Anwendung).
Kombinationstherapie mit Doxazosin
Die folgenden Nebenwirkungen wurden häufiger berichtet, wenn Finasterid 5 mg zusammen mit dem alpha-Rezeptorenblocker Doxazosin angewendet wurde: Asthenie 16,8 % (Placebo 7,1 %), posturale Hypotonie 17,8 % (Placebo 8,0 %), Schwindel 23,2 % (Placebo 8,1 %) und Ejakulationsstörungen 14,1 % (Placebo 2,3 %).
Laborparameter
Bei der Bestimmung des Spiegels des prostataspezifischen Antigens (PSA) muss berücksichtigt werden, dass der PSA-Wert unter Finural 5 mg um ca. 50 % erniedrigt ist (siehe 4.4 Besondere Warnhinweise und Vorsichtsmaßnahmen für die Anwendung).
Meldung des Verdachts auf Nebenwirkungen
Die Meldung des Verdachts auf Nebenwirkungen nach der Zulassung ist von großer Wichtigkeit. Sie ermöglicht eine kontinuierliche Überwachung des Nutzen-Risiko-Verhältnisses des Arzneimittels. Angehörige von Gesundheitsberufen sind aufgefordert, jeden Verdachtsfall einer Nebenwirkung dem Bundesinstitut für Arzneimittel und Medizinprodukte, Abt. Pharmakovigilanz, Kurt-Georg-Kiesinger Allee 3, D-53175 Bonn, Website: http://www.bfarm.de anzuzeigen.
Einzeldosen bis zu 400 mg Finasterid sowie kontinuierliche Verabreichung von bis zu 80 mg täglich über drei Monate blieben beim Menschen ohne Nebenwirkungen. Eine Empfehlung zur spezifischen Behandlung einer Überdosierung von Finural 5 mg kann nicht gegeben werden.
Pharmakotherapeutische Gruppe: 4-Azasteroid, 5α-Reduktase-Hemmer,
Arzneimittel zur Behandlung der benignen Prostatahyperplasie
ATC-Code: G04C B01
Die benigne Prostatahyperplasie (BPH) tritt bei der Mehrzahl der Männer über 50 Jahre auf, und ihre Prävalenz steigt mit höherem Lebensalter. Epidemiologische Untersuchungen lassen vermuten, dass eine Vergrößerung der Prostata mit einem dreifach höheren Risiko für einen Harnverhalt und urologische Operationen assoziiert ist. Bei Männern mit einer vergrößerten Prostata ist die Wahrscheinlichkeit für das Auftreten von mäßigen bis schweren urologischen Symptomen oder einer Verringerung des Uroflows ebenfalls dreifach höher als bei Männern mit kleinerer Prostata. Das normale Wachstum der Prostata und ihre Vergrößerung sowie die Entwicklung einer BPH sind abhängig von Dihydrotestosteron (DHT), einem potenten Androgen. Testosteron, das von Hoden und Nebennieren sezerniert wird, wird hauptsächlich in der Prostata, Leber und Haut durch die Typ II 5α- Reduktase rasch zu DHT verstoffwechselt. In diesen Geweben erfolgt anschließend eine Bindung im
Zellkern und dadurch die Auslösung der Wirkungen des DHT.
Finasterid, der Wirkstoff von Finural 5 mg, ist ein kompetitiver Hemmer der humanen Typ II 5α- Reduktase, mit der dieser langsam einen stabilen Enzymkomplex bildet. Der Abbau dieses Komplexes erfolgt sehr langsam (t1/2 ca. 30 Tage). Finasterid erwies sich in vitro und in vivo als ein spezifischer Typ II 5α- Reduktase-Hemmer ohne Affinität zum Androgenrezeptor. Eine Einzeldosis von 5 mg Finasterid führte zu einem raschen Abfall der DHT-Konzentration im Plasma mit einem Maximum des Abfalls nach acht Stunden. Während die Plasmaspiegel von Finasterid schwanken, bleibt der DHT-Plasmaspiegel über 24 Stunden konstant. Dies zeigt, dass die Plasmakonzentrationen von Finasterid und DHT nicht direkt miteinander korrelieren.
Patienten mit BPH erhielten 5 mg Finasterid täglich über vier Jahre. Die DHT-Konzentration wurde dabei um ca. 70 % gesenkt, verbunden mit einer mittleren Reduktion des Prostatavolumens um ca. 20 % (Medianwert), das mittels transrektaler Sonographie gemessen wurde. Zusätzlich wurde auch das prostataspezifische Antigen (PSA) um ca. 50 % seines Ausgangswertes gesenkt. Dies lässt auf einen Rückgang des epithelialen Zellwachstums in der Prostata schließen. Die Reduktion der DHT-Spiegel und die Verkleinerung der hyperplastischen Prostata zusammen mit verminderten PSA-Spiegeln blieben in klinischen Studien von bis zu vier Jahren Therapiedauer erhalten. Die Testosteronspiegel stiegen dabei um etwa 10-20 % an und blieben damit innerhalb des physiologischen Bereichs.
Bei Patienten, die Finasterid 7-10 Tage vor Prostatektomie erhielten, führte Finasterid zu einer Senkung des DHT im Prostatagewebe um ca. 80 %. Die Testosteronkonzentration im Prostatagewebe stieg bis um das 10fache über den Ausgangswert an.
Bei Probanden erreichten die DHT-Spiegel nach Beendigung einer 14-tägigen Einnahme von Finasterid innerhalb von etwa zwei Wochen wieder die Ausgangswerte. Bei Patienten, die drei Monate behandelt wurden, stieg das Prostatavolumen, welches um ca. 20 % verringert war, ca. drei Monate nach Ende der Behandlung wieder annähernd auf den Ausgangswert an.
Finasterid hatte in Placebo-kontrollierten Studien keinen Einfluss auf die Spiegel von Hydrocortison, Östradiol, Prolaktin, thyreostimulierendem Hormon (TSH) und Thyroxin. Kein klinisch bedeutsamer Effekt wurde auf das Plasma-Lipidprofil (wie Gesamt-, LDL-, HDL- Cholesterin und Triglyzeride) oder auf die mineralische Knochendichte beobachtet. Bei Patienten, die 12 Monate behandelt wurden, stieg das luteinisierende Hormon (LH) bzw. das follikelstimulierende Hormon (FSH) um etwa 15 % bzw. 9 % an. Diese Werte blieben innerhalb des physiologischen Bereichs. Die durch das Gonadotropin-Releasing-Hormon (GnRH) stimulierten Spiegel von LH und FSH waren nicht verändert; dies bedeutet, dass die hypophysäre Kontrolle der Gonaden nicht beeinträchtigt wird.
Zur Beurteilung von Sperma-Parametern wurde Finasterid 5 mg über 24 Wochen gesunden Probanden verabreicht. Die Konzentration der Spermien, die Mobilität und die Morphologie der Spermien oder der pH-Wert wurden nicht klinisch relevant beeinflusst. Das Ejakulatvolumen nahm im Median um 0,6 ml ab bei einer gleichzeitigen Reduktion der Gesamtzahl der Spermien pro Ejakulat. Diese Parameter blieben innerhalb des normalen Bereichs und erreichten nach Beendigung der Therapie wieder die Ausgangswerte. Finasterid hemmt offensichtlich die Metabolisierung der C19- und C21-Steroide und scheint einen Hemmeffekt auf die Aktivität der hepatischen und peripheren Typ II 5α-Reduktase zu haben. Die Metaboliten von DHT im Serum, Androstendiolglucuronid und Androsteronglucuronid, waren ebenfalls signifikant vermindert. Dieses Metabolitenmuster ähnelt dem bei Personen mit hereditärem Typ II 5α-Reduktase-Mangel. Die Betroffenen weisen deutlich erniedrigte DHT-Spiegel und eine kleine Prostata auf. Sie entwickeln keine BPH. Bei ihnen zeigen sich Veränderungen im Urogenitalbereich bei der Geburt und Abweichungen bei biochemischen Parametern. Ansonsten bleibt der Typ II 5α-Reduktase-Mangel ohne klinisch bedeutsame Folgen.
Die Ergebnisse der nachstehend beschriebenen Studien, die ein vermindertes Risiko für einen akuten Harnverhalt und für die Notwendigkeit chirurgischer Interventionen, Linderung der BPH-bedingten Symptome, verstärkten maximalen Harnfluss und ein vermindertes Prostatavolumen zeigten, lassen darauf schließen, dass Finasterid 5 mg bei Männern mit vergrößerter Prostata ein Aufhalten der BPH-Progression bewirkt.
Eine erste klinische Prüfung von Finasterid (5 mg/Tag) bei Patienten mit BPH-Symptomen und durch digitale rektale Untersuchung festgestellter Prostatavergrößerung erfolgte in zwei einjährigen Placebo-kontrollierten, randomisierten Doppelblindstudien der Phase III und in deren fünfjährigen offenen Anschlussstudien. Die zusätzlichen fünf Behandlungsjahre schlossen 234 der 536 Patienten ab, die in den Doppelblindstudien randomisiert der Behandlung mit Finasterid (5 mg/Tag) zugeordnet worden waren; die Auswertung erfolgte anhand der Daten dieser 234 Patienten. Die Zielkriterien der Wirksamkeit waren der Symptomenscore, die maximale Harnflussrate und das Prostatavolumen.
Des Weiteren wurde Finasterid 5 mg in der Long-Term Efficacy and Safety Study (PLESS), einer vierjährigen, doppelblinden, randomisierten, Placebo-kontrollierten Multicenterstudie, geprüft. In dieser Studie wurde untersucht, welche Auswirkungen die Therapie mit Finasterid (5 mg/Tag) auf die Symptome der BPH und die BPH-bezogenen urologischen Ereignisse hat (chirurgische Intervention [z. B. transurethrale Resektion der Prostata, TURP, oder Prostatektomie] oder akuter Harnverhalt, der eine Katheterisierung erfordert). Insgesamt 3.040 Patienten (Alter 45-78 Jahre) mit mäßiggradigen bis schweren BPH-Symptomen und einer durch digitale rektale Untersuchung festgestellten Prostatavergrößerung wurden randomisiert der Behandlung mit Finasterid (n = 1.524) bzw. Placebo (n = 1.516) zugeführt; 3.016 Patienten waren auswertbar. Insgesamt 1.883 Patienten schlossen die vierjährige Studie ab (1.000 in der Finasterid- und 883 in der Placebogruppe). Geprüft wurden auch die Wirkungen auf die maximale Harnflussrate und das Prostatavolumen.
Wirkung auf akute Harnretention und die Notwendigkeit chirurgischer Interventionen
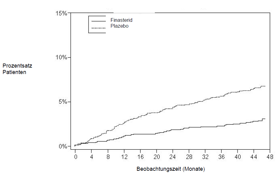
In der vierjährigen PLESS-Studie wurde bei 13,2 % der Patienten unter Placebo im Vergleich zu 6,6 % der Patienten unter Finasterid 5 mg ein chirurgischer Eingriff oder eine Katheterisierung wegen eines akuten Harnverhalts erforderlich, wodurch gezeigt wurde, dass im Zeitraum von vier Jahren durch die Gabe von Finasterid 5 mg das Risiko für eine chirurgische Intervention oder akute Harnretention um insgesamt 51 % verringert wurde. Das Risiko für eine chirurgische Intervention sank unter Finasterid 5 mg um 55 % (10,1 % unter Placebo vs. 4,6 % unter Finasterid 5 mg), das Risiko für eine akute Harnretention wurde um 57 % vermindert (6,6 % unter Placebo vs. 2,8 % unter Finasterid 5 mg). Diese Risikoverringerung war schon bei der ersten Nachuntersuchung nach vier Monaten evident und blieb während der gesamten vierjährigen Studiendauer aufrechterhalten (siehe Abb. 1 und 2). In Tabelle 1 sind die Häufigkeiten und die Risikoverringerung urologischer Ereignisse während der Studie zusammengestellt.
Abbildung 1
Prozentsatz Patienten, bei denen ein chirurgischer Eingriff wegen BPH (einschließlich TURP) erfolgte

Abbildung 2
Prozentsatz Patienten, bei denen ein akuter Harnverhalt (spontan und von anderen Faktoren ausgelöst) auftrat


Wirkung auf den Symptomenscore
In den beiden einjährigen Phase III-Studien fand sich schon in der zweiten Woche eine Verringerung des durchschnittlichen Symptomenscores im Vergleich zum Ausgangswert. Nach sieben und nach zehn Monaten wurde in diesen Studien eine signifikante Besserung der Beschwerden im Vergleich zum Befund unter Placebo festgestellt. In einigen Fällen kam es schon sehr früh zu einer Besserung der urologischen Symptome, in der Regel war jedoch ein Behandlungszeitraum von sechs Monaten erforderlich, um günstige Wirkungen im Sinne einer symptomatischen Besserung festzustellen. Die Besserung der BPH-Symptome blieb während des ersten Studienjahres und während der fünfjährigen Verlängerungsstudie aufrechterhalten. In der vierjährigen PLESS-Studie litten die Patienten zu Beginn unter mäßiggradigen bis schweren Symptomen (im Durchschnitt ca. 15 Punkte auf einer Skala mit 0-34 Punkten). Bei den Patienten, bei denen die Therapie während der gesamten Dauer der vierjährigen Studie fortgeführt wurde, besserte sich unter Finasterid 5 mg der Symptomenscore um 3,3 Punkte im Vergleich mit 1,3 Punkten (p < 0,001) unter Placebo. Eine Besserung des Symptomenscores war bei den Patienten unter Behandlung mit Finasterid 5 mg schon im ersten Jahr festzustellen und diese Besserung setzte sich bis zum vierten Jahr fort. Bei den Patienten unter Placebo kam es in einigen Fällen zwar zu einer Besserung des Symptomenscores während des ersten Jahres, danach jedoch erfolgte eine Verschlechterung. Die stärkste Besserung des Symptomenscores fand sich meist bei Patienten, bei denen zu Studienbeginn mäßiggradige bis schwere Symptome vorgelegen hatten.
Wirkung auf die maximale Harnflussrate
In den beiden einjährigen Phase III-Studien fand sich schon in der zweiten Woche ein signifikanter Anstieg der maximalen Harnflussrate im Vergleich zum Ausgangswert. Im vierten und im siebten Monat dieser Studien wurde ein signifikanter Anstieg der maximalen Harnflussrate im Vergleich zum Befund unter Placebo festgestellt. Diese Wirkung blieb während des ersten Studienjahres und während der fünfjährigen Verlängerungsstudie aufrechterhalten. In der vierjährigen PLESS-Studie fand sich ab dem vierten Monat ein deutlicher Unterschied zwischen den Behandlungsgruppen zugunsten von Finasterid 5 mg im Hinblick auf die maximale Harnflussrate. Dieser Unterschied blieb während der gesamten Studie aufrechterhalten. Bei Studienbeginn betrug die durchschnittliche maximale Harnflussrate in beiden Behandlungsgruppen ca. 11 ml/sek. Bei den Patienten, bei denen die Therapie über die gesamte Studiendauer fortgeführt wurde und bei denen auswertbare Harnflussdaten vorlagen, nahm die maximale Harnflussrate unter Finasterid 5 mg um durchschnittlich 1,9 ml/sek im Vergleich zu 0,2 ml/sek unter Placebo zu.
Wirkung auf das Prostatavolumen
In den beiden einjährigen Phase III-Studien betrug das Prostatavolumen bei Studienbeginn im Durchschnitt 40-50 cm3. In beiden Studien fand sich schon bei der ersten Nachuntersuchung nach drei Monaten eine signifikante Verringerung des Prostatavolumens, sowohl im Vergleich zum Ausgangswert als auch im Vergleich zu Placebo. Diese Wirkung blieb während des ersten Studienjahres und während der fünfjährigen Verlängerungsstudie aufrechterhalten. In der vierjährigen PLESS-Studie wurde in einer Untergruppe von Patienten (n = 284) das Prostatavolumen in jährlichen Abständen kernspintomographisch untersucht. Bei den Patienten unter Behandlung mit Finasterid 5 mg fand sich eine Verringerung des Prostatavolumens, sowohl im Vergleich zum Ausgangswert als auch im Vergleich zu Placebo während des gesamten vierjährigen Studienverlaufs. Bei den Patienten dieser Untergruppe, bei denen die Therapie während der gesamten Studiendauer fortgeführt wurde, senkte Finasterid 5 mg das Prostatavolumen um 17,9 % (von 55,9 cm3 zu
Beginn auf 45,8 cm3 nach vier Jahren), während es in der Placebogruppe zu einer Zunahme des Prostatavolumens um 14,1 % kam (von 51,3 cm3 auf 58,5 cm3) (p < 0,001).
Das Prostatavolumen als Prädiktor für den Therapieerfolg
Eine Metaanalyse aus sieben doppelblinden, Placebo-kontrollierten Einjahres-Studien mit ähnlichem Studiendesign mit insgesamt 4.491 Patienten mit symptomatischer BPH zeigte, dass bei den mit Finasterid 5 mg behandelten Patienten das Ausmaß der Symptomverbesserung und der Erhöhung der maximalen Harnflussrate bei Patienten mit einer vergrößerten Prostata (ab ca. 40 cm3) größer waren.
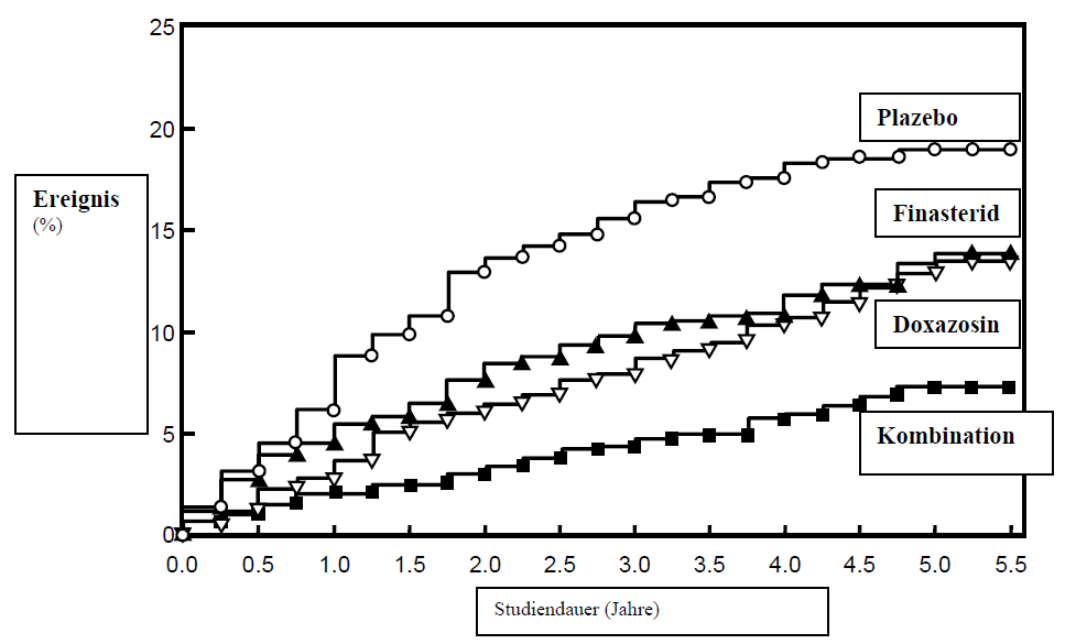
Wirkung auf die klinische Progression der BPH (Kombination mit Doxazosin)
Die Medical Therapy of Prostatic Symptoms (MTOPS) Studie war eine doppelblinde,
randomisierte, Placebo-kontrollierte Multicenterstudie über im Mittel fünf Jahre mit 3.047 Männern mit symptomatischer BPH, die randomisiert entweder Finasterid 5 mg/Tag (n=768), Doxazosin 4 oder 8 mg/Tag (n=756), die Kombination von Finasterid 5 mg/Tag mit Doxazosin 4 oder 8 mg/Tag (n=786), oder Placebo (n=737) erhielten.
Die Doxazosindosis wurde wöchentlich erhöht, beginnend von 1 mg, über 2 mg, dann 4 mg bis hin zu 8 mg. Nur die Patienten, die eine Dosierung von 4 mg oder 8 mg vertrugen, verblieben in der Studie.
Der primäre Endpunkt war die Zeitdauer von Randomisierung bis zur klinischen Progression der BPH, die definiert wurde als erstmaliges Auftreten von einem der folgenden Ereignisse: ein um ≥ 4 Punkte gesicherter Anstieg im Symptomenscore, akute Harnretention, BPH-abhängige Niereninsuffizienz (Kreatininanstieg), wiederholte Infektionen der Harnwege oder Urosepsis, oder Inkontinenz.
Im Vergleich zu Placebo verringerte die Behandlung mit Finasterid, Doxazosin oder der Kombinationstherapie signifikant das Risiko einer klinischen Progression der BPH. Die Kombinationstherapie reduzierte das Risiko einer klinischen Progression der BPH in signifikant größerem Ausmaß als Finasterid oder Doxazosin allein. Letztere unterschieden sich nicht signifikant (siehe Abb. 3).
Abbildung 3
Kumulative Inzidenz der klinischen Progression einer BPH bei den Behandlungsgruppen

Weitere klinische Studien
Aus einer 7-jährigen Placebo-kontrollierten Studie an 18.882 gesunden Männern (≥ 55 Jahre), mit normalem rektalen Tastbefund und einem PSA ≤ 3,0 ng/ml lagen für 9.060 Männer die Daten einer Nadelbiopsie der Prostata zur Analyse vor. Dabei wurden Prostatakarzinome bei 803 Männern (18,4 %) unter Finasterid 5 mg und bei 1.147 Männern (24,4 %) unter Placebo festgestellt.
In der Gruppe unter Finasterid 5 mg wurden durch die Nadelbiopsie bei 280 Männern (6,4 %) Prostatakarzinome mit einem Gleason-Score zwischen 7-10 entdeckt, in der Placebo-Gruppe dagegen bei 237 Männern (5,1 %). Zusätzliche Analysen legen nahe, dass die erhöhte Prävalenz von Prostatakarzinomen mit einem schlechteren Differenzierungsgrad in der Gruppe unter Finasterid 5 mg durch eine systematische Erfassungsabweichung auf Grund der Wirkung von Finasterid 5 mg auf das Prostatavolumen erklärt werden kann. Ca. 98 % aller in dieser Studie diagnostizierten Fälle von Prostatakarzinomen wurden bei Diagnosestellung als intrakapsulär klassifiziert (klinisches Stadium T1 oder T2). Die klinische Bedeutung dieser Ergebnisse (Gleason 7-10 Daten) ist unklar.
Diese Informationen könnten für Männer, die derzeit auf Grund einer BPH mit Finasterid 5 mg therapiert werden, von Bedeutung sein. Finasterid 5 mg ist nicht zur Verminderung des Risikos der Entwicklung von Prostatakarzinomen indiziert.
Nach oraler Gabe von 14C-Finasterid wurden beim Menschen von der verabreichten Dosis 39 % in Form von Metaboliten im Harn und 57 % mit den Faeces ausgeschieden. Praktisch erscheint kein unverändertes Finasterid im Harn. Es wurden bei dieser Untersuchung zwei Metaboliten identifiziert, die nur einen Bruchteil der 5α-Reduktase-Hemmaktivität von Finasterid aufweisen.
Plasmaspitzenspiegel werden etwa zwei Stunden nach Einnahme erreicht. Die Resorptionsdauer beträgt 6-8 Stunden. Die mittlere Eliminationshalbwertszeit beträgt ca. 6 Stunden. Die Plasma-Proteinbindung liegt bei etwa 93 %. Die Plasma-Clearance beträgt ca. 165 ml/min, das scheinbare Verteilungsvolumen ca. 76 Liter. In einer Studie mit wiederholten Gaben zeigte sich eine langsame Kumulation geringer Mengen von Finasterid, der Talspiegel liegt bei einer täglichen Gabe von 5 mg im Steady State kontinuierlich bei 8-10 ng/ml.
Die Elimination von Finasterid ist geringfügig erniedrigt bei älteren Patienten. Die Eliminationshalbwertszeit verlängert sich mit steigendem Alter von etwa 6 Stunden bei Männern von 18-60 Jahren auf ca. 8 Stunden bei Männern über 70. Da dieser Befund ohne klinische Relevanz ist, wird eine Dosisreduktion nicht erforderlich. Bei Patienten mit chronischer Niereninsuffizienz (Kreatinin-Clearance von 9 bis 55 ml/min/1,73 m2) unterschied sich die charakteristische Kinetik nach einer Einmalgabe von 14C-Finasterid nicht von derjenigen bei Probanden. Auch bei der Proteinbindung gab es keine Unterschiede. Ein Teil der Metaboliten, der sonst über die Nieren ausgeschieden wird, erschien hier in den Faeces. Die vermehrte Ausscheidung über die Faeces kompensiert offenbar die verminderte Ausscheidung der Metaboliten über die Nieren. Eine Dosisanpassung ist bei nicht dialysepflichtigen Patienten mit einer Niereninsuffizienz nicht erforderlich. Erkenntnisse mit Finasterid bei dialysepflichtigen Patienten liegen nicht vor. Finasterid wurde im Liquor (CSF) von Patienten nach einer 7-10-tägigen Behandlung nachgewiesen; es scheint sich jedoch nicht bevorzugt im Liquor anzureichern. Finasterid wurde auch in der Samenflüssigkeit von Männern nachgewiesen, die eine Dosis von 5 mg/Tag erhielten. Die Menge entsprach höchstens 1/50 bis 1/100 der Mindestdosis (5 µg), die erforderlich ist, um beim Mann den zirkulierenden DHT-Spiegel zu senken.
Bezogen auf eine intravenöse Referenzdosis beträgt die Bioverfügbarkeit etwa 80 %. Diese wird durch Nahrungsaufnahme nicht beeinträchtigt.
Basierend auf den konventionellen Studien zur Toxizität bei wiederholter Gabe, Genotoxizität und zum kanzerogenen Potenzial lassen die präklinischen Daten keine besonderen Gefahren für den Menschen erkennen. In Reproduktionstoxizitätsstudien an männlichen Ratten kam es zu einer Gewichtsreduktion der Prostata und der Samenbläschen, einer verminderten Sekretion der akzessorischen Geschlechtsdrüsen und einem geringeren Fertilitätsindex (aufgrund der primären pharmakologischen Wirkung von Finasterid). Die klinische Bedeutung dieser Beobachtungen ist noch unklar.
Wie bei anderen 5α-Reduktase-Hemmern zeigte sich nach Finasteridgabe in der Gravidität eine Feminisierung männlicher Feten bei Ratten. Eine intravenöse Gabe von Finasterid bei trächtigen Rhesusaffen in Dosen bis zu 800 ng/Tag während der gesamten embryonalen und fetalen Entwicklungsphase führte nicht zu Anomalien der männlichen Feten. Diese Dosis liegt ca. 60-120-mal höher als die geschätzte Menge im Samen eines Mannes, der 5 mg Finasterid eingenommen hat, und der eine Frau durch den Samen ausgesetzt sein könnte. Die Relevanz des Modells der Rhesusaffen für die Entwicklung eines menschlichen Fetus wurde dadurch bestätigt, dass 2 mg/kg/Tag Finasterid oral bei trächtigen Affen zu Anomalien bei den männlichen Feten führten (die systemische Exposition [AUC] bei Affen war etwas höher [3x] als die bei Männern unter 5 mg Finasterid oder das 1-2 Millionenfache der geschätzten Menge Finasterid im Samen). Unter allen Dosierungen wurden keine anderen Anomalien bei männlichen Feten und keine mit Finasterid assoziierten Anomalien bei weiblichen Feten beobachtet.
Tablettenkern:
Lactose-Monohydrat,
Maisstärke,
Povidon 30,
Carboxymethylstärke-Natrium (Typ A) (Ph. Eur.),
Docusat-Natrium,
Magnesiumstearat (Ph. Eur.) [pflanzlich]
Filmüberzug:
Hypromellose 2910/5,
Macrogol 6000,
Talkum,
Titandioxid (E 171),
Simeticon – (2E,4E)-Hexa-2,4-diensäure-Methylcellulose-Wasser,
Eisen(III)-hydroxid-oxid x H2O (E172).
Nicht zutreffend.
3 Jahre.
Für dieses Arzneimittel sind keine besonderen Lagerungsbedingungen erforderlich.
Durchsichtige PVC/PVDC-Aluminiumblisterpackung
Packungsgrößen: 30, 50 und 100 Filmtabletten.
Es werden möglicherweise nicht alle Packungsgrößen in den Verkehr gebracht.
Frauen, die schwanger sind oder schwanger werden könnten, sollten wegen der Möglichkeit einer Resorption von Finasterid und wegen des resultierenden potenziellen Risikos für einen männlichen Feten keine zerstoßenen oder zerbrochenen Finasterid Filmtabletten berühren (siehe Abschnitt 4.6). Die Filmtabletten besitzen einen Filmüberzug, der den Kontakt mit dem arzneilich wirksamen Bestandteil verhindert, solange die Filmtabletten nicht zerbrochen oder zerstoßen wurden.
Nicht verwendetes Arzneimittel oder Abfallmaterial ist entsprechend den nationalen Anforderungen zu beseitigen.
Dr. Pfleger Arzneimittel GmbH
D-96045 Bamberg
Telefon: (0951) 6043-0
Telefax: (0951) 6043-29
E-Mail: info@dr-pfleger.de
90958.00.00
Datum der Erteilung der Zulassung: 09.04.2014
Datum der letzten Verlängerung der Zulassung: 11.09.2020
September 2025
Verschreibungspflichtig