Eylea 40 mg/ml Injektionslösung in einer Fertigspritze
1 ml Injektionslösung enthält 40 mg Aflibercept*.
Eine Fertigspritze enthält ein entnehmbares Volumen von mindestens 0,09 ml, entsprechend mindestens 3,6 mg Aflibercept. Diese Menge reicht aus, um eine Einzeldosis von 0,05 ml, in denen 2 mg Aflibercept enthalten sind, bei erwachsenenen Patienten oder eine Einzeldosis von 0,01 ml, in denen 0,4 mg Aflibercept enthalten sind, bei Frühgeborenen anzuwenden.
*Fusionsprotein aus Fragmenten der extrazellulären Domänen der humanen VEGF-Rezeptoren (vaskulärer endothelialer Wachstumsfaktor) 1 und 2 und dem Fc-Fragment des humanen IgG1, hergestellt in Ovarialzellen chinesischer Hamster (CHO) vom Typ K1 mit Hilfe rekombinanter DNA-Technologie.
Sonstiger Bestandteil mit bekannter Wirkung
Jeder ml Injektionslösung enthält 0,3 mg Polysorbat 20 (E 432).
Vollständige Auflistung der sonstigen Bestandteile, siehe Abschnitt 6.1.
Injektionslösung (Injektionszubereitung)
Die Lösung ist eine klare, farblose bis blassgelbe und isoosmotische Lösung.
Eylea wird angewendet bei Erwachsenen zur Behandlung
der neovaskulären (feuchten) altersabhängigen Makuladegeneration (AMD) (siehe Abschnitt 5.1),
einer Visusbeeinträchtigung aufgrund eines Makulaödems infolge eines retinalen Venenverschlusses (RVV) (Venenastverschluss [VAV] oder Zentralvenenverschluss [ZVV]) (siehe Abschnitt 5.1),
einer Visusbeeinträchtigung aufgrund eines diabetischen Makulaödems (DMÖ) (siehe Abschnitt 5.1),
einer Visusbeeinträchtigung aufgrund einer myopen choroidalen Neovaskularisation (mCNV) (siehe Abschnitt 5.1).
Eylea wird angewendet bei Frühgeborenen zur Behandlung
einer Frühgeborenen-Retinopathie (retinopathy of prematurity; ROP) in Zone I (Stadium 1+, 2+, 3 oder 3+), Zone II (Stadium 2+ oder 3+) oder einer AP-ROP (aggressiven posterioren Frühgeborenen-Retinopathie).
Eylea ist nur als intravitreale Injektion anzuwenden.
Eylea darf nur von einem qualifizierten Arzt mit Erfahrung in der Durchführung intravitrealer Injektionen appliziert werden.
Dosierung
Feuchte AMD
Die empfohlene Dosis für Eylea beträgt 2 mg Aflibercept, entsprechend 0,05 ml.
Die Behandlung mit Eylea wird mit drei aufeinanderfolgenden monatlichen Injektionen initiiert. Das Behandlungsintervall wird danach auf zwei Monate verlängert.
Der Arzt kann basierend auf dem funktionellen und/oder morphologischen Befund das 2‑monatige Behandlungsintervall aufrecht erhalten oder entsprechend einem "Treat and Extend" Dosierungsschema weiter verlängern. Dabei werden die Injektionsintervalle in 2‑ oder 4‑wöchigen Schritten verlängert, um einen stabilen funktionellen und/oder morphologischen Befund aufrecht zu erhalten. Wenn sich der funktionelle und/oder morphologische Befund verschlechtert, sollte das Behandlungsintervall entsprechend verkürzt werden.
Eine Verlaufskontrolle zwischen den einzelnen Injektionen ist nicht notwendig. Nach Ermessen des Arztes kann das Kontrollintervall häufiger sein als das Injektionsintervall.
Behandlungsintervalle von mehr als 4 Monaten oder weniger als 4 Wochen zwischen den Injektionen wurden nicht untersucht (siehe Abschnitt 5.1).
Makulaödem infolge eines RVV (VAV oder ZVV)
Die empfohlene Dosis für Eylea beträgt 2 mg Aflibercept, entsprechend 0,05 ml.
Nach der Initialinjektion wird die Behandlung monatlich fortgeführt. Der Abstand zwischen zwei Dosierungen sollte nicht kürzer als ein Monat sein.
Wenn der funktionelle und morphologische Befund darauf hinweisen, dass der Patient nicht von einer weiteren Behandlung profitiert, sollte die Behandlung mit Eylea beendet werden.
Die monatliche Behandlung wird fortgeführt bis der maximale Visus erreicht ist und/oder keine Anzeichen von Krankheitsaktivität mehr zu erkennen sind. Drei oder mehr aufeinanderfolgende monatliche Injektionen können notwendig sein.
Unter Aufrechterhaltung des funktionellen und/oder morphologischen Befundes kann das Behandlungsintervall entsprechend einem "Treat and Extend"-Schema schrittweise verlängert werden, allerdings liegen zu wenige Daten vor, um auf die Länge dieser Intervalle schließen zu können. Wenn sich der funktionelle und/oder morphologische Befund verschlechtert, sollte das Behandlungsintervall entsprechend verkürzt werden.
Die Kontroll- und Behandlungstermine sollten durch den behandelnden Arzt basierend auf dem individuellen Ansprechen des Patienten festgesetzt werden.
Die Kontrolle der Krankheitsaktivität kann eine klinische Untersuchung, eine funktionelle Untersuchung oder bildgebende Verfahren (z. B. eine optische Kohärenztomographie oder eine Fluoreszenzangiographie) beinhalten.
Diabetisches Makulaödem
Die empfohlene Dosis für Eylea beträgt 2 mg Aflibercept, entsprechend 0,05 ml.
Die Behandlung mit Eylea wird mit fünf aufeinanderfolgenden monatlichen Injektionen initiiert, gefolgt von einer Injektion alle zwei Monate.
Der Arzt kann basierend auf dem funktionellen und/oder morphologischen Befund das 2‑monatige Behandlungsintervall aufrecht erhalten oder entsprechend einem "Treat and Extend" Dosierungsschema individuell festlegen. Dabei werden die Behandlungsintervalle in der Regel in 2‑wöchigen Schritten verlängert, um einen stabilen funktionellen und/oder morphologischen Befund aufrecht zu erhalten. Für Behandlungsintervalle von mehr als 4 Monaten liegen begrenzte Daten vor. Wenn sich der funktionelle und/oder morphologische Befund verschlechtert, sollte das Behandlungsintervall entsprechend verkürzt werden. Behandlungsintervalle von weniger als 4 Wochen wurden nicht untersucht (siehe Abschnitt 5.1).
Das Kontrollintervall sollte durch den behandelnden Arzt festgesetzt werden.
Wenn der funktionelle und morphologische Befund darauf hinweisen, dass der Patient nicht von einer weiteren Behandlung profitiert, sollte die Behandlung mit Eylea beendet werden.
Myope choroidale Neovaskularisation
Die empfohlene Dosis für Eylea beträgt 2 mg Aflibercept als einmalige Injektion, entsprechend 0,05 ml.
Wenn der funktionelle und/oder morphologische Befund darauf hinweisen, dass die Erkrankung weiterhin besteht, können weitere Injektionen erfolgen. Ein wiederholtes Auftreten sollte als erneute Manifestation der Krankheit behandelt werden.
Das Kontrollintervall sollte durch den behandelnden Arzt festgesetzt werden.
Der Abstand zwischen zwei Injektionen sollte nicht kürzer als ein Monat sein.
Frühgeborenen-Retinopathie (ROP)
Die empfohlene Dosis für Eylea beträgt 0,4 mg Aflibercept als einmalige intravitreale Injektion, entsprechend 0,01 ml.
Die Behandlung der ROP wird mit einer Einzelinjektion pro Auge initiiert, wobei am selben Tag in beide Augen injiziert werden kann. Insgesamt können innerhalb von 6 Monaten ab Behandlungsbeginn bis zu 2 Injektionen pro Auge angewendet werden, sofern Anzeichen einer Krankheitsaktivität vorliegen. Das Behandlungsintervall zwischen zwei Injektionen in dasselbe Auge sollte mindestens 4 Wochen betragen.
Spezielle Patientengruppen
Patienten mit Leber- und/oder Nierenfunktionsstörung
Bei Patienten mit Leber- und/oder Nierenfunktionsstörung wurden keine speziellen Studien mit Eylea durchgeführt.
Verfügbare Daten weisen nicht darauf hin, dass bei diesen Patienten eine Anpassung der Eylea‑Dosis erforderlich ist (siehe Abschnitt 5.2).
Ältere Patienten
Es sind keine speziellen Vorkehrungen erforderlich. Es gibt begrenzte Erfahrungen bei Patienten mit DMÖ, die älter als 75 Jahre sind.
Kinder und Jugendliche
Die Sicherheit und Wirksamkeit von Eylea bei Kindern und Jugendlichen unter 18 Jahren sind für andere Anwendungsgebiete als die ROP nicht erwiesen (siehe Abschnitt 4.4). Es gibt in den Anwendungsgebieten feuchte AMD, ZVV, VAV, DMÖ und mCNV keinen relevanten Nutzen von Eylea bei Kindern und Jugendlichen.
Art der Anwendung
Intravitreale Injektionen sind entsprechend medizinischer Standards und geltenden Richtlinien nur von einem qualifizierten Arzt mit Erfahrung in der Durchführung intravitrealer Injektionen durchzuführen. Generell müssen eine adäquate Anästhesie und Asepsis, einschließlich des Einsatzes eines topischen Breitbandmikrobizids (z. B. Povidon-Iod, das auf die periokulare Haut, das Augenlid und die Augenoberfläche aufgetragen wird) gewährleistet werden. Die chirurgische Händedesinfektion, sterile Handschuhe, ein steriles Abdecktuch und ein steriler Lidsperrer (oder ein vergleichbares Instrument) werden empfohlen.
Unmittelbar nach der intravitrealen Injektion sollten Patienten auf einen Anstieg des Augeninnendrucks kontrolliert werden. Eine angemessene Überwachung kann in einer Überprüfung der Perfusion des Sehnervenkopfes oder einer Tonometrie bestehen. Für den Bedarfsfall sollte steriles Besteck zur Durchführung einer Parazentese zur Verfügung stehen.
Nach einer intravitrealen Injektion sollten erwachsene Patienten instruiert werden, unverzüglich alle Symptome zu melden, die auf eine Endophthalmitis hinweisen (z. B. Augenschmerzen, Augenrötung, Photophobie, verschwommenes Sehen).
Patienten mit ROP sollten von Angehörigen der Gesundheitsberufe auf Anzeichen überwacht werden, die auf eine Endophthalmitis hinweisen (z. B. Rötung/Reizung des Auges, Augentränen, Lidschwellung, Photophobie).
Eltern und Betreuungspersonen sollten auch instruiert werden, auf alle Anzeichen, die auf eine Endophthalmitis hinweisen, zu achten und diese unverzüglich zu melden.
Jede Fertigspritze sollte nur zur Behandlung eines einzigen Auges verwendet werden. Die Entnahme von mehr als einer Dosis aus der Fertigspritze kann das Risiko einer Kontamination und nachfolgender Infektion erhöhen.
Erwachsene
Die Fertigspritze enthält mehr als die empfohlene Dosis von 2 mg Aflibercept (entsprechend 0,05 ml Injektionslösung). Das entnehmbare Volumen der Spritze ist die Menge, die aus der Spritze entnommen werden kann und nicht vollständig genutzt werden darf. Für die Eylea Fertigspritze beträgt das entnehmbare Volumen mindestens 0,09 ml. Die überschüssige Menge muss vor der Injektion der empfohlenen Dosis verworfen werden (siehe Abschnitt 6.6).
Injektion des gesamten Volumens der Fertigspritze könnte in einer Überdosierung resultieren. Um alle Luftbläschen und überschüssiges Arzneimittel zu entfernen, den Spritzenkolben langsam soweit eindrücken, bis die Grundfläche des kuppelförmigen Kolbens (nicht die Spitze der Kuppel) auf derselben Höhe ist wie die Dosierungslinie der Spritze (entsprechend 0,05 ml, d.h. 2 mg Aflibercept) (siehe Abschnitt 4.9 und 6.6).
Die Injektionskanüle wird 3,5-4,0 mm posterior zum Limbus in den Glaskörper eingebracht, dabei sollte der horizontale Meridian vermieden und in Richtung Bulbusmitte gezielt werden. Danach sollte das Injektionsvolumen von 0,05 ml injiziert werden; nachfolgende Injektionen sollten nicht an derselben skleralen Einstichstelle erfolgen.
Nicht verwendetes Produkt ist nach der Injektion zu verwerfen.
Kinder und Jugendliche
Bei der Behandlung von Frühgeborenen muss das pädiatrische Dosiergerät PICLEO zusammen mit der Fertigspritze angewendet werden, um eine Einzeldosis von 0,4 mg Aflibercept (entsprechend 0,01 ml Injektionslösung) anzuwenden (siehe Abschnitt 6.6).
Die Injektionskanüle sollte 1,0 bis 2,0 mm vom Limbus entfernt in Richtung des Sehnervs des betroffenen Auges eingebracht werden.
Nicht verwendetes Produkt ist nach der Injektion zu verwerfen.
Zur Handhabung des Arzneimittels vor Anwendung, siehe Abschnitt 6.6.
Überempfindlichkeit gegen den Wirkstoff Aflibercept oder einen der in Abschnitt 6.1 genannten sonstigen Bestandteile.
Bestehende oder vermutete okulare oder periokulare Infektion.
Bestehende schwere intraokulare Entzündung.
Rückverfolgbarkeit
Um die Rückverfolgbarkeit biologischer Arzneimittel zu verbessern, müssen die Bezeichnung des Arzneimittels und die Chargenbezeichnung des angewendeten Arzneimittels eindeutig dokumentiert werden.
Durch die intravitreale Injektion bedingte Reaktionen
Intravitreale Injektionen, einschließlich solcher mit Eylea, können zu einer Endophthalmitis, intraokularer Entzündung, rhegmatogener Netzhautablösung, Einriss der Netzhaut oder iatrogener traumatischer Katarakt führen (siehe Abschnitt 4.8). Bei der Anwendung von Eylea sind immer angemessene aseptische Injektionsmethoden anzuwenden. Des Weiteren sollten die Patienten innerhalb der ersten Woche nach der Injektion überwacht werden, um im Falle einer Infektion eine frühzeitige Behandlung zu ermöglichen.
Erwachsene Patienten sollten instruiert werden, unverzüglich alle Symptome zu melden, die auf eine Endophthalmitis oder auf eines der oben aufgeführten Ereignisse hinweisen.
Patienten mit ROP sollten von Angehörigen der Gesundheitsberufe auf Anzeichen überwacht werden, die auf eine Endophthalmitis hinweisen (z. B. Rötung/Reizung des Auges, Augentränen, Lidschwellung, Photophobie).
Eltern und Betreuungspersonen sollten auch instruiert werden, auf alle Anzeichen, die auf eine Endophthalmitis hinweisen, zu achten und diese unverzüglich zu melden.
Die Fertigspritze enthält mehr als die empfohlene Dosis von 2 mg Aflibercept (entsprechend 0,05 ml) für erwachsene Patienten. Die überschüssige Menge muss vor der Anwendung verworfen werden (siehe Abschnitt 4.2 und 6.6).
Die Fertigspritze enthält mehr als die empfohlene Dosis von 0,4 mg Aflibercept (entsprechend 0,01 ml) für Frühgeborene (siehe Abschnitt 6.6). Die Fertigspritze muss zusammen mit dem pädiatrischen Dosiergerät PICLEO verwendet werden, um ein größeres als das empfohlene Volumen zu vermeiden, was zu einem erhöhten Augeninnendruck führen könnte (siehe Abschnitt 4.9 und 6.6).
Ein Ansteigen des Augeninnendrucks wurde innerhalb von 60 Minuten nach intravitrealen Injektionen, einschließlich derer mit Eylea, beobachtet (siehe Abschnitt 4.8). Besondere Vorsicht ist bei Patienten mit einem schlecht eingestellten Glaukom geboten (Eylea darf nicht injiziert werden, solange der Augeninnendruck bei ≥ 30 mmHg liegt). In allen Fällen müssen daher sowohl der Augeninnendruck als auch die Perfusion des Sehnervenkopfes überwacht und bei Bedarf angemessen behandelt werden.
Immunogenität
Da Eylea ein therapeutisches Protein ist, besteht die Möglichkeit einer Immunogenität (siehe Abschnitt 4.8). Patienten sollen dazu angehalten werden, alle Anzeichen oder Symptome einer intraokularen Entzündung, z. B. Schmerzen, Photophobie oder Rötung, zu berichten, da diese klinische Anzeichen einer Überempfindlichkeit sein könnten.
Systemische Effekte
Systemische Nebenwirkungen inklusive nicht-okularer Hämorrhagien und arterieller thromboembolischer Ereignisse wurden nach intravitrealer Injektion von VEGF-Hemmern berichtet. Es besteht ein theoretisches Risiko, dass diese in Zusammenhang mit der VEGF-Hemmung stehen können. Es gibt begrenzte Daten zur Sicherheit bei der Behandlung von Patienten mit ZVV, VAV, DMÖ oder mCNV, die innerhalb der letzten 6 Monate einen Schlaganfall oder transitorische ischämische Attacken oder einen Myokardinfarkt in der Vorgeschichte hatten. Die Behandlung entsprechender Patienten sollte mit Umsicht erfolgen.
Weitere Angaben
Wie bei anderen intravitrealen anti-VEGF-Behandlungen einer AMD, eines ZVV, eines VAV, eines DMÖ und einer mCNV gilt auch Folgendes:
Die Sicherheit und Wirksamkeit einer gleichzeitigen Behandlung beider Augen mit Eylea wurde nicht systematisch untersucht (siehe Abschnitt 5.1). Falls beide Augen gleichzeitig behandelt werden, kann die systemische Exposition und damit das Risiko systemischer unerwünschter Ereignisse erhöht sein.
Gleichzeitige Behandlung mit anderen anti-VEGF (vaskulärer endothelialer Wachstumsfaktor) Arzneimitteln
Bisher liegen keine Erfahrungen zur gleichzeitigen Behandlung von Eylea mit anderen anti-VEGF Arzneimitteln (systemisch oder okular) vor.
Zu den Risikofaktoren, die nach einer anti-VEGF-Therapie bei feuchter AMD zur Entwicklung eines retinalen Pigmentepitheleinrisses führen können, gehören großflächige und/oder hohe Abhebungen des retinalen Pigmentepithels. Zu Beginn einer Eylea-Therapie ist Vorsicht bei Patienten geboten, die diese Risikofaktoren für das Auftreten von retinalen Pigmentepitheleinrissen aufweisen.
Bei Patienten mit rhegmatogener Netzhautablösung oder Makulalöchern Grad 3 oder 4 sollte die Behandlung ausgesetzt werden.
Im Falle eines Einriss der Retina sollte die Behandlung unterbrochen und erst wieder aufgenommen werden, wenn der Riss adäquat verheilt ist.
In folgenden Fällen sollte die Behandlung ausgesetzt und nicht vor dem nächsten geplanten Termin fortgesetzt werden:
bei Verminderung der bestmöglich korrigierten Sehschärfe (BCVA) von ≥ 30 Buchstaben im Vergleich zur zuletzt gemessenen Sehschärfe;
bei subretinaler Blutung, bei der das Zentrum der Fovea betroffen ist oder die Größe der Blutung ≥ 50 % der gesamten Läsion ausmacht.
Die Behandlung sollte 28 Tage vor oder nach einem durchgeführten oder geplanten intraokularen Eingriff ausgesetzt werden.
Eylea sollte während der Schwangerschaft nicht angewendet werden, es sei denn der mögliche Nutzen überwiegt das potenzielle Risiko für den Fetus (siehe Abschnitt 4.6).
Frauen im gebärfähigen Alter müssen während der Behandlung und für mindestens 3 Monate nach der letzten intravitrealen Injektion von Aflibercept eine zuverlässige Verhütungsmethode anwenden (siehe Abschnitt 4.6).
Es gibt begrenzte Erfahrung bei der Behandlung von Patienten mit ischämischem ZVV und VAV. Bei Patienten mit den klinischen Anzeichen eines irreversiblen, ischämischen Visusverlustes ist die Behandlung nicht empfohlen.
Kinder und Jugendliche
Die Warnhinweise und Vorsichtsmaßnahmen für Erwachsene gelten auch für Frühgeborene mit ROP. Das Langzeit-Sicherheitsprofil bei Frühgeborenen wurde nicht bestimmt.
Personengruppen mit begrenzten Daten
Es gibt nur begrenzte Erfahrungen bei der Behandlung von Personen mit einem aufgrund eines Typ I‑Diabetes verursachten DMÖ oder bei Diabetikern mit einem HbA1c über 12 % oder mit proliferativer diabetischer Retinopathie.
Eylea wurde nicht untersucht bei Patienten mit aktiven systemischen Infektionen oder bei Patienten, die gleichzeitig andere Augenerkrankungen wie eine Netzhautablösung oder ein Makulaloch hatten. Es gibt ebenfalls keine Erfahrungen bei der Behandlung mit Eylea bei Diabetikern mit nicht eingestelltem Bluthochdruck. Der Arzt sollte das Fehlen dieser Informationen bei der Behandlung entsprechender Patienten berücksichtigen.
Es gibt keine Erfahrungen zur Behandlung einer mCNV mit Eylea bei nicht-asiatischen Patienten, bei Patienten mit vorbehandelter mCNV und bei Patienten mit extrafovealen Läsionen.
Information über sonstige Bestandteile
Dieses Arzneimittel enthält
weniger als 1 mmol Natrium (23 mg) pro Dosiereinheit, d. h. es ist nahezu „natriumfrei“
0,003 mg Polysorbat 20 in jeder 0,01 ml Dosis oder 0,015 mg Polysorbat 20 in jeder 0,05 ml Dosis, entsprechend 0,3 mg/ml. Polysorbate können allergische Reaktionen hervorrufen.
Es wurden keine Studien zur Erfassung von Wechselwirkungen durchgeführt.
Eine kombinierte Anwendung einer photodynamischen Therapie (PDT) mit Verteporfin und Eylea wurde nicht untersucht, daher liegt hierzu kein Sicherheitsprofil vor.
Kinder und Jugendliche
Studien zu Wechselwirkungen wurden nicht durchgeführt.
Frauen im gebärfähigen Alter
Frauen im gebärfähigen Alter müssen während der Behandlung und für mindestens 3 Monate nach der letzten intravitrealen Injektion von Aflibercept eine zuverlässige Verhütungsmethode anwenden (siehe Abschnitt 4.4).
Schwangerschaft
Bisher liegen keine Erfahrungen mit der Anwendung von Aflibercept bei Schwangeren vor.
Tierexperimentelle Studien haben eine Embryo- und Fetotoxizität gezeigt (siehe Abschnitt 5.3).
Auch wenn die systemische Exposition nach einer okularen Anwendung sehr gering ist, sollte Eylea während der Schwangerschaft nicht angewendet werden, es sei denn der erwartete Nutzen überwiegt das potenzielle Risiko für den Fetus.
Stillzeit
Sehr begrenzte Daten beim Menschen weisen darauf hin, dass Aflibercept in geringen Mengen in die Muttermilch übergehen kann. Aflibercept ist ein großes Proteinmolekül und es ist zu erwarten, dass die Menge an Arzneimittel, die vom Säugling aufgenommen wird, gering ist. Die Auswirkungen von Aflibercept auf gestillte Neugeborene/Kinder sind nicht bekannt.
Als Vorsichtsmaßnahme wird das Stillen während der Anwendung von Eylea nicht empfohlen.
Fertilität
Ergebnisse aus tierexperimentellen Studien mit hohen systemischen Expositionen weisen darauf hin, dass Aflibercept die männliche und weibliche Fertilität beeinträchtigen kann (siehe Abschnitt 5.3). Diese Auswirkungen sind nach einer okularen Anwendung und der daraus resultierenden geringen systemischen Exposition nicht zu erwarten.
Die Injektion von Eylea hat durch mögliche, vorübergehende Sehstörungen aufgrund der Injektion oder der Augenuntersuchung geringen Einfluss auf die Verkehrstüchtigkeit und die Fähigkeit zum Bedienen von Maschinen. Patienten sollen solange kein Fahrzeug führen oder Maschinen bedienen, bis sich ihr Sehvermögen wieder ausreichend erholt hat.
Zusammenfassung des Sicherheitsprofils
In den acht Phase III-Studien stellten insgesamt 3.102 Patienten die Sicherheitspopulation dar. Von diesen erhielten 2.501 Patienten die empfohlene Dosis von 2 mg.
Schwerwiegende okulare Nebenwirkungen im Studienauge, die mit dem Injektionsverfahren in Zusammenhang standen, traten bei weniger als 1 von 1.900 intravitrealen Injektionen mit Eylea auf. Diese beinhalteten Erblindung, Endophthalmitis, Netzhautablösung, traumatische Katarakt, Katarakt, Glaskörperblutung, Glaskörperabhebung und erhöhten Augeninnendruck (siehe Abschnitt 4.4.).
Die am häufigsten beobachteten Nebenwirkungen (bei mindestens 5 % der mit Eylea behandelten Patienten) waren Bindehautblutung (25 %), Einblutung in die Retina (11 %), verminderte Sehschärfe (11 %), Augenschmerzen (10 %), Katarakt (8 %), erhöhter Augeninnendruck (8 %), Glaskörperabhebung (7 %) und Glaskörpertrübungen (7 %).
Tabellarische Auflistung der Nebenwirkungen
Die unten aufgeführten Sicherheitsdaten schließen alle Nebenwirkungen ein, die in den acht Phase III‑Studien in den Indikationen feuchte AMD, ZVV, VAV, DMÖ und mCNV auftraten und aller Wahrscheinlichkeit nach auf das Injektionsverfahren oder das Arzneimittel zurückzuführen sind.
Die Nebenwirkungen werden entsprechend der Systemorganklasse und der Häufigkeit gemäß folgender Konvention aufgelistet:
Sehr häufig (≥ 1/10), häufig (≥ 1/100 bis < 1/10), gelegentlich (≥ 1/1.000 bis < 1/100), selten (≥ 1/10.000 bis < 1/1.000), nicht bekannt (Häufigkeit auf Grundlage der verfügbaren Daten nicht abschätzbar).
Innerhalb jeder Häufigkeitsgruppe werden die Nebenwirkungen nach abnehmendem Schweregrad angegeben.
Tabelle 1: Alle während der Behandlung aufgetretenen Arzneimittelnebenwirkungen, über die bei Patienten in Phase III Studien berichtet wurde (gepoolte Daten der Phase III Studien in den Indikationen feuchte AMD, ZVV, VAV, DMÖ und mCNV) oder aus Beobachtungen der Anwendung nach Markteinführung.
Systemorganklasse |
Häufigkeit |
Nebenwirkung |
Erkrankungen des Immunsystems |
Gelegentlich |
Überempfindlichkeit*** |
Augenerkrankungen |
Sehr häufig |
verminderte Sehschärfe, Einblutung in die Retina, Bindehautblutung, Augenschmerzen |
Häufig |
Einriss des retinalen Pigmentepithels*, Abhebung des retinalen Pigmentepithels, Netzhautdegeneration, Glaskörperblutung, Katarakt, kortikale Katarakt, Kernkatarakt, subkapsuläre Katarakt, Hornhauterosion, Hornhautabrasion, Anstieg des Augeninnendrucks, verschwommenes Sehen, Glaskörpertrübungen, Glaskörperabhebung, Schmerzen an der Injektionsstelle, Fremdkörpergefühl im Auge, erhöhter Tränenfluss, Augenlidödem, Blutung an der Injektionsstelle, Keratitis punctata, Bindehauthyperämie, okulare Hyperämie |
|
Gelegentlich |
Endophthalmitis**, Netzhautablösung, Netzhauteinriss, Iritis, |
|
Selten |
Erblindung, traumatische Katarakt, Vitritis, Hypopyon |
|
Nicht bekannt |
Skleritis**** |
* Zustände, von denen bekannt ist, dass sie mit einer feuchten AMD einhergehen. Nur in Studien zu feuchter AMD beobachtet.
** Kulturpositive und kulturnegative Endophthalmitis
*** Aus Beobachtungen der Anwendung nach Markteinführung Berichte von Überempfindlichkeit einschließlich Hautausschlag, Pruritus, Urtikaria und in Einzelfällen schwere anaphylaktische/ anaphylaktoide Reaktionen.
**** Aus Berichten nach Markteinführung
Beschreibung einiger ausgesuchter Nebenwirkungen
Die Phase-III-Studien zur feuchten AMD zeigten eine erhöhte Inzidenz von Bindehautblutungen bei Patienten, die antithrombotische Arzneimittel erhielten. Diese erhöhte Inzidenz war zwischen den Patienten, die mit Ranibizumab und Eylea behandelt wurden, vergleichbar.
Arterielle thromboembolische Ereignisse (ATE) sind Nebenwirkungen, die möglicherweise mit der systemischen VEGF-Hemmung in Verbindung stehen. Es besteht ein theoretisches Risiko arterieller thromboembolischer Ereignisse inklusive Schlaganfall und Myokardinfarkt nach intravitrealer Anwendung von VEGF-Hemmern.
Eine geringe Inzidenzrate arterieller thromboembolischer Ereignisse wurde in klinischen Studien mit Eylea bei Patienten mit feuchter AMD, DMÖ, RVV, mCNV und ROP beobachtet. Indikationsübergreifend wurde kein nennenswerter Unterschied zwischen Gruppen, die mit Aflibercept und den jeweiligen Vergleichsgruppen behandelt wurden, beobachtet.
Wie bei allen therapeutischen Proteinen besteht auch bei Eylea ein Potential für Immunreaktionen.
Kinder und Jugendliche
Die Sicherheit von Eylea bei der Behandlung der ROP wurde in einer 6-monatigen Phase III-Studie mit 75 Frühgeborenen untersucht, die zu Studienbeginn 0,4 mg Aflibercept erhielten. Das Langzeit-Sicherheitsprofil bei Frühgeborenen wurde nicht bestimmt.
Nebenwirkungen, die bei mehr als einem der mit 0,4 mg Aflibercept behandelten Patienten berichtet wurden, waren Netzhautablösung, Einblutung in die Retina, Bindehautblutung, Blutung an der Injektionsstelle, erhöhter Augeninnendruck und Augenlidödem.
Die für die Anwendungsgebiete bei Erwachsenen festgestellten Nebenwirkungen gelten auch für Frühgeborene mit ROP, obwohl nicht alle in der Phase III-Studie beobachtet wurden.
Meldung des Verdachts auf Nebenwirkungen
Die Meldung des Verdachts auf Nebenwirkungen nach der Zulassung ist von großer Wichtigkeit. Sie ermöglicht eine kontinuierliche Überwachung des Nutzen-Risiko-Verhältnisses des Arzneimittels. Angehörige von Gesundheitsberufen sind aufgefordert, jeden Verdachtsfall einer Nebenwirkung dem nationalen Meldesystem anzuzeigen.
Deutschland
Bundesinstitut für Arzneimittel und Medizinprodukte, Abt. Pharmakovigilanz, Kurt-Georg-Kiesinger-Allee 3, D-53175 Bonn, Website: http://www.bfarm.de
Österreich
Bundesamt für Sicherheit im Gesundheitswesen, Traisengasse 5, 1200 WIEN, ÖSTERREICH, Fax: + 43 (0) 50 555 36207, Website: http://www.basg.gv.at/
In klinischen Studien wurden monatliche Dosen von bis zu 4 mg angewendet und in Einzelfällen kam es zu Überdosierungen mit 8 mg.
Bei einer Überdosierung mit einem größeren Injektionsvolumen als üblich kann es zu einem Anstieg des Augeninnendrucks kommen. Daher sollte im Fall einer Überdosierung der Augeninnendruck überwacht werden und, falls dies vom behandelnden Arzt als notwendig erachtet wird, sollten geeignete Maßnahmen eingeleitet werden (siehe Abschnitt 6.6).
Pharmakotherapeutische Gruppe: Ophthalmika / Antineovaskuläre Mittel
ATC-Code: S01LA05
Aflibercept ist ein rekombinantes Fusionsprotein, bei dem Fragmente der extrazellulären Domänen der humanen VEGF-Rezeptoren 1 und 2 mit dem Fc-Fragment des humanen IgG1 fusioniert wurden.
Aflibercept wird in Ovarialzellen chinesischer Hamster (CHO) vom Typ K1 mit Hilfe rekombinanter DNA-Technologie hergestellt.
Aflibercept wirkt als löslicher Köderrezeptor, der VEGF-A und PlGF mit höherer Affinität als deren natürliche Rezeptoren bindet und so die Bindung und Aktivierung dieser artverwandten VEGF-Rezeptoren hemmt.
Wirkmechanismus
Der vaskuläre endotheliale Wachstumsfaktor A (VEGF-A) und der Plazenta-Wachstumsfaktor (PlGF) gehören zur VEGF-Familie der angiogenen Faktoren, die an den Endothelzellen als starke mitogene und chemotaktische Faktoren und als vaskuläre Permeabilitätsfaktoren wirken können. VEGF bindet an die beiden Rezeptor-Tyrosinkinasen VEGFR-1 und VEGFR-2, die sich an der Oberfläche von Endothelzellen befinden. PlGF bindet nur an VEGFR-1, welches auch auf der Oberfläche von Leukozyten zu finden ist. Eine zu starke Aktivierung dieser Rezeptoren durch VEGF-A kann zu pathologischer Neovaskularisation und erhöhter vaskulärer Permeabilität führen. Bei diesen Prozessen kann es zwischen PlGF und VEGF-A zu Synergieeffekten kommen. Weiter ist bekannt, dass PlGF die Leukozyteninfiltration und vaskuläre Entzündungen fördert.
Pharmakodynamische Wirkungen
Feuchte AMD
Die feuchte AMD zeichnet sich durch eine pathologische choroidale Neovaskularisation (CNV) aus. Das Austreten von Blut und Flüssigkeit aus der CNV kann zu einer Netzhautverdickung oder einem Netzhautödem und/oder sub-/intraretinalen Blutungen und damit zum Verlust der Sehschärfe führen.
Bei mit Eylea behandelten Patienten (initial drei Injektionen im monatlichen Abstand, gefolgt von einer Injektion alle 2 Monate) verringerte sich die zentrale Netzhautdicke [CRT] schon kurz nach Behandlungsbeginn und die mittlere CNV-Läsionsgröße verringerte sich, was sich mit den Ergebnissen von 0,5 mg Ranibizumab monatlich deckt.
In der VIEW1-Studie wurde bei beiden Studiengruppen eine mittlere Abnahme der CRT mit Hilfe der optischen Kohärenztomografie (OCT) gemessen (in Woche 52: -130 Mikrometer bei 2 mg Eylea alle zwei Monate bzw. -129 Mikrometer bei 0,5 mg Ranibizumab monatlich). Bei beiden Studiengruppen der VIEW2-Studie wurden in Woche 52 ebenfalls eine mittlere Abnahme der CRT mit Hilfe der OCT gemessen (-149 Mikrometer bei 2 mg Eylea alle zwei Monate bzw. -139 Mikrometer bei 0,5 mg Ranibizumab monatlich). Die Reduktion der CNV-Größe und die Abnahme der CRT wurden im zweiten Jahr der Studien weitgehend beibehalten.
Die ALTAIR‑Studie wurde bei japanischen Patienten mit therapienaiver feuchter AMD durchgeführt und zeigte ähnliche Ergebnisse wie die VIEW‑Studien mit 3 initialen monatlichen Injektionen von 2 mg Eylea, gefolgt von einer Injektion alle 2 Monate. Anschließend wurde die Behandlung entsprechend einem „Treat and Extend“‑Schema mit variablen Behandlungsintervallen (2‑wöchige oder 4‑wöchige Anpassungsschritte) bis zu einem maximalen 16 Wochen Intervall nach vorspezifizierten Kriterien fortgesetzt. In Woche 52 wurde eine mittlere Abnahme der CRT mit Hilfe der OCT von ‑134,4 und ‑126,1 Mikrometer für die Gruppe mit 2‑wöchigen bzw. 4‑wöchigen Anpassungsschritten gemessen. Der Anteil der Patienten ohne Flüssigkeit, im OCT gemessen, betrug 68,3 % bzw. 69,1 % in Woche 52 in der Gruppe mit 2‑wöchigen bzw. 4‑wöchigen Anpassungsschritten. Die Reduktion der CRT wurde in beiden Behandlungsarmen im zweiten Jahr der ALTAIR‑Studie im Allgemeinen aufrecht erhalten.
In der ARIES-Studie wurde die Nicht-Unterlegenheit eines 2 mg Eylea „Treat and Extend“ Dosierungsschemas untersucht, das unmittelbar nach der Anwendung von drei initialen Injektionen im monatlichen Abstand und einer weiteren Injektion nach 2 Monaten initiiert wurde, und mit einem „Treat and Extend“ Dosierungsschema verglichen, das nach einjähriger Behandlung initiiert wurde. Bei Patienten, die im Verlauf der Studie mindestens einmal eine häufigere als die Q8-Dosierung benötigten, blieb die CRT weiterhin höher. Jedoch war die mittlere Abnahme der CRT vom Ausgangswert bis Woche 104 -160,4 Mikrometer, vergleichbar mit den Patienten, die mit Q8 oder weniger häufigen Intervallen behandelt wurden.
Makulaödem infolge eines ZVV und eines VAV
Beim ZVV und VAV tritt eine Ischämie der Netzhaut auf, welche zur Freisetzung von VEGF führt, dies wiederum bedingt eine Destabilisierung der tight junctions und fördert die Proliferation von Endothelzellen. Eine Hochregulierung von VEGF ist mit dem Zusammenbruch der Blut-Netzhaut-Schranke, erhöhter vaskulärer Permeabilität, einem retinalen Ödem und Neovaskularisation assoziiert.
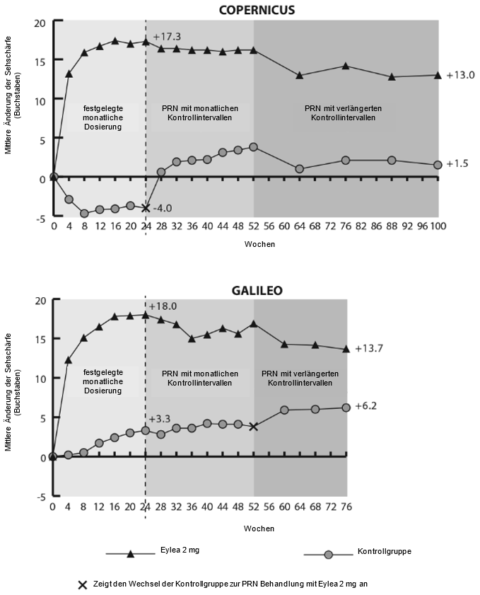
In Patienten, die mit 6 aufeinander folgenden monatlichen Injektionen von 2 mg Eylea behandelt wurden, wurde eine beständige, schnelle und deutliche morphologische Verbesserung (ermittelt durch Verbesserung der mittleren CRT) beobachtet. In Woche 24 war die Reduktion der CRT statistisch der jeweiligen Kontrollgruppe in allen drei Studien überlegen (COPERNICUS bei ZVV: ‑457 vs. ‑145 Mikrometer; GALILEO bei ZVV: -449 vs. -169 Mikrometer; VIBRANT bei VAV: -280 vs. -128 Mikrometer).
Die Abnahme der CRT im Vergleich zum Ausgangswert wurde bis zum Ende jeder Studie (Woche 100 in COPERNICUS, Woche 76 in GALILEO und Woche 52 in VIBRANT) aufrechterhalten.
Diabetisches Makulaödem
Das diabetische Makulaödem entsteht infolge einer diabetischen Retinopathie und zeichnet sich durch eine erhöhte Gefäßpermeabilität und Schädigung der Netzhautkapillaren aus, was zu einem Verlust der Sehschärfe führen kann.
Mit Eylea behandelte Patienten, die in der Mehrzahl als Typ II-Diabetiker eingestuft wurden, wurde ein schnelles und deutliches Ansprechen der Netzhautmorphologie (CRT, DRSS‑Auswertung) beobachtet.
In den Studien VIVIDDME und VISTADME wurden bei mit Eylea behandelten Patienten statistisch signifikant größere mittlere Abnahmen der CRT vom Ausgangswert beobachtet als bei Patienten der Laserkontrolle. Diese betrugen in Woche 52 ‑192,4 bzw. ‑183,1 Mikrometer in den Eylea 2Q8-Gruppen und ‑66,2 bzw. ‑73,3 Mikrometer in den Kontrollgruppen. Die Abnahmen der Netzhautdicke wurden in Woche 100 mit ‑195,8 bzw. ‑191,1 Mikrometer in den Eylea 2Q8-Gruppen und ‑85,7 bzw. ‑83,9 Mikrometer in den Kontrollgruppen aufrechterhalten.
Als Indikator für den Effekt auf die zugrundeliegende diabetische Retinopathie wurde eine Verbesserung um ≥ 2 Stufen im DRSS in VIVIDDME und VISTADME in vorspezifizierter Art und Weise ausgewertet. Der Wert auf der DRSS-Skala konnte bei 73,7 % der Patienten in VIVIDDME und 98,3 % der Patienten in VISTADME eingestuft werden. In Woche 52 verzeichneten 27,7 % bzw. 29,1 % in den Eylea 2Q8-Gruppen und 7,5 % bzw. 14,3 % in den Kontrollgruppen eine Verbesserung um ≥ 2 Stufen im DRSS. In Woche 100 waren die entsprechenden Anteile 32,6 % bzw. 37,1 % in den Eylea 2Q8-Gruppen und 8,2 % bzw. 15,6 % in den Kontrollgruppen.
In der VIOLET-Studie wurden drei verschiedene Dosierungsschemata von Eylea 2 mg zur Behandlung des diabetischen Makulaödems nach einer mindestens einjährigen Behandlung mit kontinuierlichen Intervallen verglichen. Dabei wurde die Behandlung mit 5 aufeinanderfolgenden monatlichen Dosen initiiert, gefolgt von einer Dosis alle 2 Monate. In Woche 52 und Woche 100 der Studie, d.h. im zweiten und dritten Behandlungsjahr, waren die mittleren Veränderungen der CRT für das „Treat and Extend“ (2T&E)-, pro re nata (2PRN)- bzw. 2Q8 Dosierungsschema mit -2,1, 2,2 und -18,8 Mikrometer in Woche 52 und 2,3, -13,9 und -15,5 Mikrometer in Woche 100 klinisch ähnlich.
Myope choroidale Neovaskularisation
Myope choroidale Neovaskularisation (mCNV) ist eine häufige Ursache für Sehverschlechterung bei Erwachsenen mit pathologischer Myopie. Sie entwickelt sich im Rahmen von Wundheilungsreaktionen infolge von Rissen der Bruch`schen Membran und stellt das schwerwiegendste das Sehvermögen bedrohende Ereignis im Rahmen der pathologischen Myopie dar.
Bei mit Eylea behandelten Patienten der MYRROR Studie (initial eine Injektion, zusätzliche Injektionen bei anhaltender Erkrankung oder Wiederauftreten) nahm die CRT schon kurz nach Behandlungsbeginn ab. Dieser Effekt zeigte sich in Woche 24 zugunsten von Eylea (‑79 Mikrometer in der Eylea‑Gruppe und ‑4 Mikrometer in der Kontrollgruppe). Bis Woche 48 konnte der Effekt von Eylea aufrechterhalten werden. Zusätzlich verringerte sich die mittlere CNV Läsionsgröße.
Klinische Wirksamkeit und Sicherheit
Feuchte AMD
Die Sicherheit und Wirksamkeit von Eylea wurde in zwei randomisierten, multizentrischen, doppelmaskierten, aktiv kontrollierten Studien bei Patienten mit feuchter AMD (VIEW1 und VIEW2) untersucht, wobei insgesamt 2.412 Patienten behandelt und der Wirksamkeit entsprechend ausgewertet wurden (1.817 bei Eylea). Das Alter der Patienten reichte von 49 bis 99 Jahren, mit einem durchschnittlichen Alter von 76 Jahren. In diesen klinischen Studien waren ungefähr 89 % (1.616/1.817) der Patienten, die in eine der Eylea-Behandlungsgruppen randomisiert wurden, 65 Jahre oder älter und ungefähr 63 % (1.139/1.817) waren 75 Jahre oder älter. In jeder Studie wurden die Patienten randomisiert in einem 1:1:1:1 Verhältnis einem von 4 Dosierungsschemata zugeordnet:
1) Anwendung von 2 mg Eylea alle 8 Wochen, nach initial 3 Injektionen im monatlichen Abstand (Eylea 2Q8);
2) Anwendung von 2 mg Eylea alle 4 Wochen (Eylea 2Q4);
3) Anwendung von 0,5 mg Eylea alle 4 Wochen (Eylea 0,5Q4); und
4) Anwendung von 0,5 mg Ranibizumab alle 4 Wochen (Ranibizumab 0,5Q4).
Im zweiten Studienjahr wurde bei den Patienten weiter die bei Studienbeginn randomisiert zugeteilte Dosis angewendet, allerdings basierend auf einem veränderten Dosierungsschema unter Berücksichtigung der funktionellen und morphologischen Wiederbehandlungskriterien und ein durch ein Protokoll definiertes maximales Dosierungsintervall von 12 Wochen.
In beiden Studien entsprach der primäre Wirksamkeitsendpunkt dem Anteil Patienten des Per-Protokoll-Sets, deren Sehvermögen erhalten blieb, d.h. der Visusverlust von weniger als 15 Buchstaben in Woche 52 im Vergleich zum Ausgangswert.
In der VIEW1-Studie blieb in Woche 52 bei 95,1 % der Patienten der Eylea 2Q8-Gruppe das Sehvermögen im Vergleich zu 94,4 % der Patienten der Ranibizumab 0,5Q4-Gruppe erhalten. In beiden Studien war Eylea der gegenüber der Ranibizumab 0,5Q4-Gruppe nicht unterlegen und klinisch äquivalent.
In der VIEW2-Studie blieb in Woche 52 bei 95,6 % der Patienten der Eylea 2Q8-Behandlungsgruppe das Sehvermögen im Vergleich zu 94,4 % der Patienten der Ranibizumab 0,5Q4-Gruppe erhalten. Die Behandlung mit Eylea war gegenüber der Ranibizumab 0,5Q4-Gruppe nicht unterlegen und klinisch äquivalent.
Ausführliche Ergebnisse der kombinierten Analyse beider Studien sind in nachfolgender Tabelle 2 und Abbildung 1 zu finden.
Tabelle 2: Wirksamkeitsendpunkte in Woche 52 (Primäre Analyse) und Woche 96; kombinierte Daten der VIEW1 und VIEW2 Studien B)
Wirksamkeitsendpunkt |
Eylea 2Q8 E) |
Ranibizumab 0,5Q4 (N = 595) |
||
Woche 52 |
Woche 96 |
Woche 52 |
Woche 96 |
|
Mittlere Anzahl an Injektionen seit Studienstart |
7,6 |
11,2 |
12,3 |
16,5 |
Mittlere Anzahl an Injektionen (von Woche 52 bis 96) |
4,2 |
4,7 |
||
Anteil der Patienten mit einem Verlust von < 15 Buchstaben im Vergleich zum Ausgangswert (PPS A)) |
95,33 %B) |
92,42 % |
94,42 % B) |
91,60 % |
Differenz C) |
0,9 % |
0,8 % |
||
Mittlere Veränderung der BCVA, ermittelt durch ETDRS A) Buchstabenergebnisse im Vergleich zum Ausgangswert |
8,40 |
7,62 |
8,74 |
7,89 |
Differenz entsprechend LS A) Änderung des Mittelwertes (ETDRS-Buchstaben) C) |
‑0,32 |
‑0,25 |
||
Anteil Patienten mit einem Gewinn von ≥ 15 Buchstaben im Vergleich zum Ausgangswert |
30,97 % |
33,44 % |
32,44 % |
31,60 % |
Differenz C) |
‑1,5 % |
1,8 % |
||
A) BCVA: Best Corrected Visual Acuity (Bestkorrigierte Sehschärfe)
ETDRS: Early Treatment Diabetic Retinopathy Study
LS: Kleinstquadrat-Mittelwerte berechnet aus ANCOVA
PPS: Per Protokoll Set
B) Full-Analysis-Set (FAS), Last Observation Carried Forward (LOCF) für alle Analysen außer Anteil der Patienten mit intakter Sehschärfe in Woche 52, was dem PPS entspricht
C) Die Differenz ist der Wert aus der Eylea-Gruppe minus dem Wert aus der Ranibizumab-Gruppe. Ein positiver Wert favorisiert Eylea.
D) Konfidenzintervall (KI) approximativ mit der Normalverteilung berechnet
E) Nach initial 3 Injektionen im monatlichen Abstand
F) Ein Konfidenzintervall, das komplett oberhalb -10 % liegt, weist auf eine Nicht-Unterlegenheit von Eylea bezüglich Ranibizumab hin
Abbildung 1. Mittlere Änderung der Sehschärfe zwischen Ausgangswert und Woche 96 für die kombinierten Daten der Studien View1 und View2

In einer Analyse der kombinierten Daten von VIEW1 und VIEW2 zeigte Eylea im Vergleich zum Ausgangswert klinisch relevante Änderungen beim vorbestimmten sekundären Wirksamkeitsendpunkt National Eye Institute Visual Function Questionnaire (NEI VFQ-25) ohne klinisch bedeutsame Unterschiede zu Ranibizumab. Das Ausmaß dieser Änderungen war mit denen veröffentlichter Studien vergleichbar und entsprach einer Verbesserung von 15 Buchstaben der bestkorrigierten Sehschärfe (BCVA).
Im zweiten Studienjahr konnte die Wirksamkeit bis zur Abschlussuntersuchung in Woche 96 aufrechterhalten werden. 2‑4 % der Patienten erhielten alle Injektionen in monatlichem Abstand, ein Drittel der Patienten benötigte zumindest eine Injektion in monatlichem Abstand.
Eine Abnahme der mittleren CNV-Fläche war in beiden Studien bei allen Dosierungsgruppen erkennbar.
Die Ergebnisse zur Wirksamkeit bei allen auswertbaren Untergruppen (z. B. Alter, Geschlecht, Rasse, Ausgangswert Sehschärfe, Läsionstyp, Läsionsgröße) jeder Studie und der Gesamtanalyse stimmten mit den Ergebnissen aus der Gesamtpopulation überein.
ALTAIR war eine 96‑wöchige multizentrische, randomisierte, offene Studie bei 247 japanischen Patienten mit therapienaiver feuchter AMD, welche die Wirksamkeit und Sicherheit von Eylea mit zwei verschiedenen Intervallen (2 Wochen und 4 Wochen) eines „Treat and Extend“ Dosierungsschemas untersucht.
Alle Patienten erhielten drei aufeinander folgende monatliche Injektionen von 2 mg Eylea, gefolgt von einer Injektion alle 2 Monate. In Woche 16 wurden die Patienten 1:1 in zwei Behandlungsgruppen randomisiert: 1) Eylea „Treat and Extend“ mit 2‑wöchigen Anpassungsschritten und 2) Eylea „Treat and Extend“ mit 4‑wöchigen Anpassungsschritten. Die Verlängerung oder Verkürzung des Behandlungsintervalls wurde basierend auf visuellen und/oder anatomischen, durch ein Protokoll definierte Kriterien entschieden, wobei das maximale Behandlungsintervall 16 Wochen für beide Gruppen betrug.
Der primäre Wirksamkeitsendpunkt war die mittlere Veränderung der BCVA in Woche 52 im Vergleich zum Ausgangswert. Die sekundären Wirksamkeitsendpunkte waren der Anteil der Patienten, die ≥ 15 Buchstaben nicht verloren haben, und der Anteil der Patienten, die mindestens 15 Buchstaben der BCVA im Vergleich zum Ausgangswert bis zur Woche 52 gewonnen haben.
In Woche 52 gewannen die Patienten im Behandlungsarm mit 2‑wöchigen Anpassungsschritten durchschnittlich 9,0 Buchstaben im Vergleich zum Ausgangswert gegenüber 8,4 Buchstaben in der Gruppe mit 4‑wöchigen Anpassungsschritten [LS Mittelwertdifferenz in Buchstaben (95 % KI): ‑0,4 (‑3,8, 3,0), ANCOVA]. Der Anteil der Patienten, die nicht ≥ 15 Buchstaben in den beiden Behandlungsarmenverloren haben, war ähnlich (96,7 % in der Gruppe mit 2‑wöchigen und 95,9 % in der Gruppe mit 4‑wöchigen Anpassungsschritten). Der Anteil der Patienten, die in Woche 52 ≥ 15 Buchstaben gewonnen haben, betrug 32,5 % in der Gruppe mit 2‑wöchigen Anpassungsschritten und 30,9 % in der Gruppe mit 4‑wöchigen Anpassungsschritten. Der Anteil der Patienten, bei denen sich das Behandlungsintervall auf 12 Wochen oder darüber hinaus verlängerte, lag bei 42,3 % in der Gruppe mit 2‑wöchigen Anpassungsschritten und 49,6 % in der Gruppe mit 4‑wöchigen Anpassungsschritten. Darüber hinaus wurden in der Gruppe mit 4‑wöchigen Anpassungsschritten bei 40,7 % der Patienten die Intervalle auf 16 Wochen ausgedehnt. Beim letzten Besuch bis Woche 52 hatten 56,8 % und 57,8 % der Patienten in der Gruppe mit 2‑wöchigen bzw. 4‑wöchigen Anpassungsschritten ihre nächste Injektion im 12 Wochen Intervall oder darüber hinaus geplant.
Im zweiten Jahr der Studie wurde die Wirksamkeit im Allgemeinen bis einschließlich der letzten Bewertung in Woche 96 aufrecht erhalten, mit einem durchschnittlichen Gewinn von 7,6 Buchstaben für die Gruppe mit 2‑wöchigen Anpassungsschritten und 6,1 Buchstaben für die Gruppe mit 4‑wöchigen Anpassungsschritten. Der Anteil der Patienten, die ihr Behandlungsintervall auf 12 Wochen oder darüber hinaus verlängerten, betrug 56,9 % in der Gruppe mit 2‑wöchigen Anpassungsschritten und 60,2 % in der Gruppe mit 4‑wöchigen Anpassungsschritten. Beim letzten Besuch vor Woche 96 hatten 64,9 % und 61,2 % der Patienten in der Gruppe mit 2‑wöchigen bzw. 4‑wöchigen Anpassungsschritten ihre nächste Injektion im Abstand von 12 Wochen oder darüber hinaus geplant. Im zweiten Jahr der Behandlung erhielten die Patienten sowohl in der Gruppe mit 2‑wöchigen als auch 4‑wöchigen Anpassungsschritten durchschnittlich 3,6 bzw. 3,7 Injektionen. Über die 2‑jährige Behandlungsdauer erhielten die Patienten durchschnittlich 10,4 Injektionen.
Das okulare und systemische Sicherheitsprofil war den Zulassungsstudien VIEW1 und VIEW2 ähnlich.
ARIES war eine 104-wöchige multizentrische, randomisierte, offene, aktiv-kontrollierte Studie bei 269 Patienten mit therapienaiver feuchter AMD, welche die Nicht-Unterlegenheit in Bezug auf Wirksamkeit und Sicherheit untersuchte. Dabei wurde ein „Treat and Extend“ Dosierungsschema, das nach drei aufeinanderfolgenden monatlichen Dosen, gefolgt von einer Verlängerung auf ein 2‑monatiges Behandlungsintervall, initiiert wurde, mit einem „Treat and Extend“ Dosierungsschema, das nach dem ersten Behandlungsjahr initiiert wurde, verglichen.
Die ARIES-Studie untersuchte auch den Anteil der Patienten, die nach der Entscheidung des Prüfarztes eine häufigere Behandlung als alle 8 Wochen benötigten. Von den 269 Patienten erhielten 62 Patienten mindestens einmal im Verlauf der Studie eine häufigere Dosierung. Diese Patienten verblieben in der Studie und erhielten nach bester klinischer Beurteilung durch den Prüfarzt eine Behandlung, jedoch nicht häufiger als alle 4 Wochen. Die Behandlungsintervalle dieser Patienten konnten danach wieder verlängert werden. Das durchschnittliche Behandlungsintervall nach der Entscheidung für eine häufigere Behandlung betrug 6,1 Wochen. In Woche 104 war die BCVA bei den Patienten, die im Verlauf der Studie mindestens einmal häufiger behandelt werden mussten, niedriger im Vergleich zu Patienten, bei denen dies nicht der Fall war. Die mittlere Veränderung der BCVA im Vergleich zum Ausgangswert bis zum Ende der Studie betrug +2,3 ± 15,6 Buchstaben. Von den häufiger behandelten Patienten blieb bei 85,5 % das Sehvermögen erhalten, d. h. sie verloren weniger als 15 Buchstaben, 19,4 % gewannen 15 Buchstaben oder mehr. Die Sicherheitsdaten der Patienten, die häufiger als alle 8 Wochen behandelt wurden, waren mit den Sicherheitsdaten in VIEW 1 und VIEW 2 vergleichbar.
Makulaödem infolge eines ZVV
Die Sicherheit und Wirksamkeit von Eylea wurde in zwei randomisierten, multizentrischen, doppelmaskierten, Scheininjektions-kontrollierten Studien bei Patienten mit Makulaödem infolge eines ZVV (COPERNICUS und GALILEO) untersucht, wobei insgesamt 358 Patienten behandelt und hinsichtlich der Wirksamkeit ausgewertet wurden (217 bei Eylea). Das Alter der Patienten reichte von 22 bis 89 Jahren, mit einem durchschnittlichen Alter von 64 Jahren. In den ZVV-Studien waren ungefähr 52 % (112/217) der Patienten, die in die Eylea‑Behandlungsgruppe randomisiert wurden, 65 Jahre alt oder älter und ungefähr 18 % (38/217) waren 75 Jahre alt oder älter. In beiden Studien wurden die Patienten in einem 3:2 Verhältnis entweder einer Anwendung von 2 mg Eylea alle 4 Wochen (2Q4) oder der Kontrollgruppe mit Scheininjektionen alle 4 Wochen randomisiert zugeordnet. Beide Studienarme erhielten je 6 Injektionen.
Nach 6 aufeinander folgenden monatlichen Injektionen erhielten Patienten eine Behandlung nur, wenn sie die vorspezifizierten Wiederbehandlungskriterien erfüllten, ausgenommen Patienten der Kontrollgruppe in der GALILEO-Studie, die bis Woche 52 weiterhin Scheininjektionen erhielten (Kontrolle zur Kontrolle). Von diesem Zeitpunkt an wurden alle Patienten behandelt, wenn die vorspezifizierten Kriterien erfüllt waren.
In beiden Studien entsprach der primäre Wirksamkeitsendpunkt dem Anteil Patienten, die mindestens 15 Buchstaben im BCVA in Woche 24 im Vergleich zum Ausgangswert gewannen. Eine sekundäre Wirksamkeitsvariable war die Änderung der Sehschärfe in Woche 24 im Vergleich zum Ausgangswert.
In beiden Studien war der Unterschied zwischen den Behandlungsgruppen statistisch signifikant zugunsten von Eylea. Die maximale Verbesserung der Sehschärfe wurde nach 3 Monaten erreicht, mit nachfolgender Stabilisierung der Sehschärfe und CRT bis Monat 6. Der statistisch signifikante Unterschied blieb bis Woche 52 hindurch erhalten.
Ausführliche Ergebnisse der Analyse beider Studien sind in nachfolgender Tabelle 3 und Abbildung 2 zu finden.
Tabelle 3: Wirksamkeitsendpunkte in Woche 24, Woche 52 und Woche 76/100 (vollständiges Analyseset mit LOCFC)) in den Studien COPERNICUS und GALILEO
Wirksamkeitsendpunkt |
COPERNICUS |
GALILEO |
||||||||||
24 Wochen |
52 Wochen |
100 Wochen |
24 Wochen |
52 Wochen |
76 Wochen |
|||||||
Eylea |
Kontrolle |
Eylea |
Kontrolle E) |
Eylea F) |
Kontrolle E,F) |
Eylea |
Kontrolle |
Eylea |
Kontrolle |
Eylea G) |
Kontrolle G) |
|
Anteil Patienten mit einem Gewinn von ≥ 15 Buchstaben im Vergleich zum Ausgangswert |
56% |
12% |
55% |
30% |
49,1% |
23,3% |
60% |
22% |
60% |
32% |
57,3% |
29,4% |
Gewichtete DifferenzA,B, E) |
44,8 % |
25,9 % |
26,7 % |
38,3 % |
27,9 % |
28,0 % |
||||||
p-Wert |
p < 0,0001 |
p = 0,0006 |
p = 0,0003 |
p < 0,0001 |
p = 0,0004 |
p = 0,0004 |
||||||
Mittlere Veränderung der BCVAC), ermittelt durch Anzahl ETDRSC) Buchstaben im Vergleich zum Ausgangswert (SD) |
17,3 |
‑4,0 |
16,2 |
3,8 |
13,0 |
1,5 |
18,0 |
3,3 |
16,9 |
3,8 |
13,7 |
6,2 |
Differenz im mittleren LSA,C,D,E) |
21,7 |
12,7 |
11,8 |
14,7 |
13,2 |
7,6 |
||||||
p-Wert |
p < 0,0001 |
p < 0,0001 |
p < 0,0001 |
p < 0,0001 |
p < 0,0001 |
p = 0,0070 |
||||||
A) Differenz ist Eylea 2 mg Q4 minus Kontrolle
B) Differenz und Konfidenzintervall (KI) werden mittels Cochran-Mantel-Haenszel-Test (CMH) berechnet, adjustiert für Regionen (Amerika vs. Rest der Welt für COPERNICUS und Europa vs. Asien/Pazifik für GALILEO) und Kategorie Ausgangswert BCVA (> 20/200 und ≤ 20/200)
C) BCVA: Best Corrected Visual Acuity (Bestkorrigierte Sehschärfe)
ETDRS: Early Treatment Diabetic Retinopathy Study
LOCF: Last Observation Carried Forward
SD: Standardabweichung
LS: Kleinstquadrat-Mittelwerte abgeleitet aus ANCOVA
D) LS Kleinstquadrat-Mittelwert und Konfidenzintervall (KI) basierend auf einem ANCOVA Model mit den Faktoren Behandlungsgruppe, Region (Amerika vs. Rest der Welt für COPERNICUS und Europa vs. Asien/Pazifik für GALILEO) und Kategorien BCVA Ausgangswert (> 20/200 und ≤ 20/200)
E) In der COPERNICUS Studie konnten Patienten der Kontrollgruppe Eylea alle 4 Wochen von Woche 24 bis 52 nach Bedarf erhalten; Kontrolluntersuchungen fanden alle 4 Wochen statt
F) In der COPERNICUS Studie erhielten sowohl Patienten der Kontrollgruppe als auch Eylea 2 mg Patienten Eylea 2 mg nach Bedarf alle 4 Wochen beginnend ab Woche 52 bis Woche 96; Kontrolluntersuchungen waren vierteljährlich vorgeschrieben, konnten aber bis zu 4 wöchentlich stattfinden
G) In der GALILEO Studie erhielten sowohl Patienten der Kontrollgruppe als auch Eylea 2 mg Patienten Eylea 2 mg nach Bedarf alle 8 Wochen beginnend ab Woche 52 bis Woche 68; Kontrolluntersuchungen waren alle 8 Wochen vorgeschrieben.
Abbildung 2: Durchschnittliche Veränderung der Sehschärfe vom Ausgangswert zu Woche 76/100 nach Behandlungsgruppen für die COPERNICUS und GALILEO Studien (vollständiges Analyseset)

In der GALILEO Studie hatten 86,4 % (n = 89) der Eylea-Gruppe und 79,4 % (n = 54) der Scheinbehandlungsgruppe einen ZVV Perfusionsstatus zur Ausgangsmessung. In Woche 24 waren es 91,8 % (n = 89) in der Eylea-Gruppe und 85,5 % (n = 47) in der Scheinbehandlungsgruppe. Dieser Anteil wurde in Woche 76 mit 84,3 % (n = 75) in der Eylea-Gruppe und 84,0 % (n = 42) in der Scheinbehandlungsgruppe aufrechterhalten.
In der COPERNICUS Studie hatten 67,5 % (n = 77) der Eylea-Gruppe und 68,5 % (n = 50) der Scheinbehandlungsgruppe einen ZVV Perfusionsstatus zur Ausgangsmessung. In Woche 24 waren es 87,4 % (n = 90) in der Eylea-Gruppe und 58,6 % (n = 34) in der Scheinbehandlungsgruppe. Dieser Anteil wurde in Woche 100 mit 76,8 % (n = 76) in der Eylea-Gruppe und 78 % (n = 39) in der Scheinbehandlungsgruppe aufrechterhalten. Ab Woche 24 konnten Patienten der Scheinbehandlungsgruppe eine Behandlung mit Eylea erhalten.
In den Subgruppen nach Perfusionsstatus (unterteilt bei Ausgangsmessung in perfundiert/nicht perfundiert) war die positive Wirkung einer Eylea-Behandlung vergleichbar. Behandlungseffekte in allen auswertbaren Subgruppen (z. B. Alter, Geschlecht, Rasse, Ausgangswert der Sehschärfe, ZVV Dauer) in jeder Studie waren im Allgemeinen konsistent mit den Ergebnissen der Gesamtpopulation.
In der kombinierten Analyse der Daten von GALILEO und COPERNICUS konnten durch Eylea bedingte klinisch relevante Veränderungen im Vergleich zum Ausgangswert hinsichtlich des vorspezifizierten sekundären Wirksamkeitsendpunktes National Eye Institute Visual Function Questionnaire (NEI VFQ-25) gezeigt werden. Das Ausmaß dieser Änderungen war mit denen veröffentlichter Studien vergleichbar und entsprach einer Verbesserung von 15 Buchstaben der bestkorrigierten Sehschärfe (BCVA).
Makulaödem infolge eines VAV
Die Sicherheit und Wirksamkeit von Eylea wurde in einer randomisierten, multizentrischen, doppelmaskierten, aktiv kontrollierten Studie bei Patienten mit Makulaödem infolge eines VAV, inklusive hemisphärischer VAV (VIBRANT), untersucht. Insgesamt wurden 181 Patienten behandelt und waren hinsichtlich der Wirksamkeit auswertbar (91 mit Eylea). Das Alter der Patienten reichte von 42 bis 94 Jahren, mit einem durchschnittlichen Alter von 65 Jahren. In der VAV-Studie waren ungefähr 58 % (53/91) der Patienten, die in die Eylea‑Behandlungsgruppe randomisiert wurden, 65 Jahre alt oder älter und ungefähr 23 % (21/91) waren 75 Jahre alt oder älter. In der Studie wurden die Patienten in einem 1:1 Verhältnis randomisiert, entweder zu 2 mg Eylea angewendet alle 8 Wochen nach 6 initialen monatlichen Injektionen oder zu Laserkoagulation am Ausgangspunkt (Laserkontrollgruppe) zugeordnet. Patienten der Laserkontrollgruppe konnten zusätzliche Laserkoagulationen (sogenannte "Bedarfs-Laser-Behandlung") ab Woche 12 erhalten, wobei das kürzeste Intervall 12 Wochen war. Basierend auf vorspezifizierten Kriterien war es möglich, Patienten der Lasergruppe ab Woche 24 eine Bedarfsbehandlung mit 2 mg Eylea zukommen zu lassen. Diese wurde alle 4 Wochen für 3 Monate, nachfolgend alle 8 Wochen angewendet.
In der VIBRANT Studie war der primäre Wirksamkeitsendpunkt der Anteil Patienten, bei denen sich die BCVA in Woche 24 um mindestens 15 Buchstaben im Vergleich zum Ausgangswert verbessert hat. Dabei war die Eylea-Gruppe der Laserkontrollgruppe für den primären Endpunkt überlegen.
Ein sekundärer Wirksamkeitsendpunkt war die Änderung der Sehschärfe in Woche 24 im Vergleich zum Ausgangswert, die in der VIBRANT Studie zugunsten von Eylea statistisch signifikant war. Die Sehverbesserung trat schnell ein und erreichte ihren Höchstwert nach 3 Monaten mit Aufrechterhaltung des Effekts bis Monat 12.
Ab Woche 24 erhielten 67 Patienten der Lasergruppe die Bedarfsbehandlung mit Eylea (aktive Kontrolle/Eylea 2 mg Gruppe), was zu einer Verbesserung der Sehschärfe um ungefähr 5 Buchstaben von Woche 24 zu 52 führte.
Ausführliche Ergebnisse der Analyse der VIBRANT Studie sind in nachfolgender Tabelle 4 und Abbildung 3 zu finden.
Tabelle 4: Wirksamkeitsendpunkte in Woche 24 und Woche 52 (vollständiges Analyseset mit LOCF) in der VIBRANT Studie
Wirksamkeitsendpunkt |
VIBRANT |
|||
24 Wochen |
52 Wochen |
|||
|
Eylea 2 mg Q4 (N = 91) |
aktive Kontrolle (Laser) |
Eylea 2 mg Q8 (N = 91)D) |
aktive Kontrolle (Laser)/Eylea 2 mgE) |
|
Anteil Patienten mit einem Gewinn von ≥ 15 Buchstaben im Vergleich zum Ausgangswert (%) |
52,7 % |
26,7 % |
57,1 % |
41,1 % |
Gewichtete Differenz A,B) (%) |
26,6 % |
16,2 % |
||
Mittlere Veränderung der BCVA, ermittelt durch Anzahl ETDRS Buchstaben im Vergleich zum Ausgangswert |
17,0 |
6,9 |
17,1 |
12,2 |
Differenz im mittleren LS A,C) |
10,5 |
5,2 |
||
A) Differenz ist Eylea 2 mg Q4 Wochen minus Laser Kontrolle
B) Differenz und 95% KI sind mittels Mantel-Hänszel Gewichtung berechnet, adjustiert für Regionen (Nord-Amerika gegenüber Japan) und Kategorie BCVA Ausgangswert (> 20/200 und ≤ 20/200)
C) LS Mittelwertdifferenz und 95% KI basierend auf einem ANCOVA Model mit Behandlungsgruppe, Kategorie BCVA Ausgangswert (> 20/200 und ≤ 20/200) und Region (Nord-Amerika gegenüber Japan) als feste Effekte und Ausgangswert BCVA Messung als Kovariate
D) Beginnend ab Woche 24 bis Woche 48 wurden in der Eylea-Behandlungsgruppe bei allen Patienten das Behandlungsintervall von 4 Wochen auf 8 Wochen verlängert
E) Beginnend ab Woche 24 konnten Patienten der Lasergruppe eine Bedarfsbehandlung mit Eylea erhalten, sofern Sie mindestens ein vorspezifiziertes Kriterium erfüllten. Insgesamt erhielten 67 Patienten dieser Gruppe die Eylea Bedarfsbehandlung. Das kontinuierliche Regime für eine Bedarfsbehandlung mit Eylea war dreimal Eylea 2 mg alle 4 Wochen, gefolgt von Injektionen alle 8 Wochen
F) nominaler p-Wert
Abbildung 3: Mittlere Veränderung der BCVA, ermittelt durch Anzahl ETDRS Buchstaben im Vergleich zum Ausgangswert zu Woche 52 für die VIBRANT Studie

Der Anteil perfundierter Patienten war zur Ausgangsmessung in der Eylea-Gruppe 60 % und 68 % in der Lasergruppe. In Woche 24 betrugen die Perfusionsraten 80 % bzw. 67 %. In der Eylea-Gruppe wurde der Anteil perfundierte Patienten bis Woche 52 aufrechterhalten. In der Lasergruppe, in der Patienten für eine Bedarfsbehandlung mit Eylea ab Woche 24 geeignet waren, stieg der Anteil perfundierter Patienten auf 78 % in Woche 52 an.
Diabetisches Makulaödem
Die Sicherheit und Wirksamkeit von Eylea wurden in zwei randomisierten, multizentrischen, doppelmaskierten, aktiv kontrollierten Studien bei Patienten mit DMÖ (VIVIDDME und VISTADME) untersucht. Insgesamt wurden 862 Patienten behandelt und waren hinsichtlich der Wirksamkeit auswertbar, darunter 576 mit Eylea. Das Alter der Patienten reichte von 23 bis 87 Jahren, mit einem durchschnittlichen Alter von 63 Jahren. In den DMÖ‑Studien waren ungefähr 47 % (268/576) der Patienten, die in die Eylea‑Behandlungsgruppe randomisiert wurden, 65 Jahre alt oder älter und ungefähr 9 % (52/576) waren 75 Jahre alt oder älter. Bei der Mehrheit der Patienten beider Studien lag ein Typ II‑Diabetes vor.
In beiden Studien wurden die Patienten randomisiert in einem 1:1:1 Verhältnis einem von 3 Dosierungsschemata zugeordnet:
1) Anwendung von 2 mg Eylea alle 8 Wochen, nach initial 5 Injektionen im monatlichen Abstand (Eylea 2Q8);
2) Anwendung von 2 mg Eylea alle 4 Wochen (Eylea 2Q4); und
3) Laserkoagulation der Makula (aktive Kontrollgruppe).
Ab Woche 24 war es möglich, Patienten, die einen vorspezifizierten Schwellenwert des Visusverlustes erlitten hatten, eine zusätzliche Behandlung zukommen zu lassen: Patienten der Eylea-Gruppen konnten eine Laserbehandlung und Patienten der Kontrollgruppe konnten Eylea erhalten.
In beiden Studien war der primäre Wirksamkeitsendpunkt die mittlere Veränderung der BCVA in Woche 52 im Vergleich zum Ausgangswert. Beide Eylea-Gruppen (2Q8 und 2Q4) zeigten statistische Signifikanz und waren der Kontrollgruppe überlegen. Der Nutzen wurde bis Woche 100 hindurch erhalten.
Ausführliche Ergebnisse der Analyse der VIVIDDME und VISTADME Studien sind in nachfolgender Tabelle 5 und Abbildung 4 zu finden.
Tabelle 5: Wirksamkeitsendpunkte in Woche 52 und Woche 100 (vollständiges Analyseset mit LOCF) in den VIVIDDME und VISTADME Studien
Wirksamkeitsendpunkt |
VIVIDDME |
VISTADME |
||||||||||
52 Wochen |
100 Wochen |
52 Wochen |
100 Wochen |
|||||||||
Eylea |
Eylea |
aktive Kontrolle |
Eylea |
Eylea |
aktive Kontrolle |
Eylea |
Eylea |
aktive Kontrolle |
Eylea |
Eylea |
aktive Kontrolle |
|
Mittlere Veränderung der BCVA, ermittelt durch Anzahl ETDRS E Buchstaben im Vergleich zum Ausgangswert |
10,7 |
10,5 |
1,2 |
9,4 |
11,4 |
0,7 |
10,7 |
12,5 |
0,2 |
11,1 |
11,5 |
0,9 |
Differenz im mittleren LS B,C,E |
9,1 |
9,3 |
8,2 |
10,7 |
10,45 |
12,19 |
10,1 |
10,6 |
||||
Anteil Patienten mit einem Gewinn von ≥ 15 Buchstaben im Vergleich zum Ausgangswert |
33 % |
32 % |
9 % |
31,1 % |
38,2 % |
12,1 % |
31 % |
42 % |
8 % |
33,1 % |
38,3 % |
13,0 % |
adjustierte Differenz D,C,E |
24 % |
23 % |
19,0 % |
26,1 % |
23 % |
34 % |
20,1 % |
25,8 % |
||||
A Nach initial 5 Injektionen im monatlichen Abstand
B mittlerer LS und KI basierend auf einem ANCOVA Model mit Ausgangswert BCVA Messung als Kovariate und einem Faktor für Behandlungsgruppe. Zusätzlich wurden Regionen (Europa/Australien gegenüber Japan) als Faktoren für VIVIDDME und MI und/oder CVA in der Anamnese als Faktoren für VISTADME eingeschlossen
C Differenz ist Eylea-Gruppe minus aktive Kontroll-Gruppe (Laser)
D Differenz mit Konfidenzintervall (KI) und statistischer Test wird mittels Mantel-Hänszel Gewichtung berechnet, adjustiert für Regionen (Europa/Australien gegenüber Japan) für VIVIDDME und MI oder CVA in der Anamnese für VISTADME
E BCVA: Best Corrected Visual Acuity (Bestkorrigierte Sehschärfe)
ETDRS: Early Treatment Diabetic Retinopathy Study
LOCF: Last Observation Carried Forward
LS: Kleinstquadrat-Mittelwert abgeleitet aus ANCOVA
KI: Konfidenzintervall
Abbildung 4: Mittlere Veränderung der BCVA, ermittelt durch Anzahl ETDRS Buchstaben im Vergleich zum Ausgangswert zu Woche 100 für die VIVIDDME und VISTADME Studien

Im Allgemeinen stimmten die Behandlungseffekte in den auswertbaren Untergruppen (z. B. Alter, Geschlecht, Rasse, Ausgangswert HbA1c, Ausgangswert Sehschärfe, vorherige anti-VEGF-Therapie) in jeder Studie und in der kombinierten Analyse mit den Ergebnissen aus der Gesamtpopulation überein.
In den Studien VIVIDDME bzw. VISTADME hatten 36 (9 %) bzw. 197 (43 %) eine vorherige anti-VEGF-Therapie erhalten. Diese lag bei Studienbeginn mindestens 3 Monate zurück. Die Behandlungseffekte der Untergruppe von Patienten mit vorangegangener anti-VEGF-Therapie waren vergleichbar mit Behandlungseffekten bei Patienten, die nicht mit VEGF-Inhibitoren therapiert wurden.
Patienten mit beidseitiger Erkrankung konnten eine anti-VEGF Behandlung des Partnerauges erhalten, falls dies vom behandelten Arzt als erforderlich bewertet wurde. In der VISTADME Studie erhielten bis Woche 100 217 (70,7 %) der mit Eylea behandelten Patienten beidseitige Eylea-Injektionen. In der VIVIDDME Studie erhielten 97 (35,8 %) der mit Eylea behandelten Patienten eine andere anti-VEGF-Therapie des Partnerauges.
Eine unabhängige vergleichende Studie (DRCR.net Protocol T) wertete ein flexibles Dosierschema aus, das auf strikten OCT- und Visus Wiederbehandlungs‑Kriterien beruht. In der Aflibercept-Behandlungsgruppe (n = 224) erhielten Patienten mit diesem Behandlungsschema bis Woche 52 durchschnittlich 9,2 Injektionen, was der Anzahl der Injektionen in der Eylea 2Q8‑Gruppe von VIVIDDME und VISTADME ähnlich ist. Dabei war die Gesamtwirksamkeit der Aflibercept‑Behandlungsgruppe von Protocol T mit der Eylea 2Q8‑Gruppe von VIVIDDME und VISTADME vergleichbar. In Protocol T wurde ein mittlerer Visusgewinn von 13,3 Buchstaben beobachtet, wobei 42 % der Patienten mindestens 15 Buchstaben im Vergleich zum Ausgangswert gewannen. Ergebnisse zur Sicherheit zeigten, dass die Gesamtinzidenz der okularen und nicht-okularen Nebenwirkungen (inklusive ATEs) in allen Behandlungsgruppen in jeder der Studien und zwischen den Studien vergleichbar war.
In der VIOLET-Studie, einer 100-wöchigen multizentrischen, randomisierten, offenen, aktiv kontrollierten Studie bei Patienten mit diabetischem Makulaödem, wurden drei verschiedene Dosierungsschemata von Eylea 2 mg zur Behandlung des diabetischen Makulaödems nach einer einjährigen Behandlung mit kontinuierlichen Intervallen verglichen. Dabei wurde die Behandlung mit 5 aufeinanderfolgenden monatlichen Dosen initiiert, gefolgt von einer Dosis alle 2 Monate. Die Studie untersuchte die Nicht-Unterlegenheit von Eylea 2 mg nach einem "Treat and Extend" Dosierungschema (2T&E) und einem Dosierungsschema nach Bedarf (2PRN) im Vergleich zu Eylea 2 mg, das alle 8 Wochen (2Q8) dosiert wurde, für das zweite und dritte Jahr der Behandlung. Beim 2T&E Schema wurden die Injektionsintervalle mindestens 8 Wochen beibehalten und basierend auf dem klinischen und morphologischen Befund schrittweise verlängert, beim 2PRN Schema wurden die Patienten alle 4 Wochen beobachtet und basierend auf dem klinischen und morphologischen Befund nach Bedarf injiziert.
Der primäre Wirksamkeitsendpunkt (Veränderung der BCVA in Woche 52 im Vergleich zum Ausgangswert) betrug 0,5 ± 6,7 Buchstaben in der 2T&E-Gruppe und 1,7 ± 6,8 Buchstaben in der 2PRN-Gruppe im Vergleich zu 0,4 ± 6,7 Buchstaben in der 2Q8-Gruppe, wobei eine statistische Nicht-Unterlegenheit (p<0,0001 für beide Vergleiche; NI-Marge 4 Buchstaben) erreicht wurde. Die Veränderungen der BCVA in Woche 100 im Vergleich zum Ausgangswert waren konsistent mit den Ergebnissen der Woche 52: -0,1 ± 9,1 Buchstaben in der 2T&E-Gruppe und 1,8 ± 9,0 Buchstaben in der 2PRN-Gruppe im Vergleich zu 0,1 ± 7,2 Buchstaben in der 2Q8-Gruppe. Die mittlere Anzahl der Injektionen über 100 Wochen betrug 12,3, 10,0 und 11,5 für die 2Q8-, 2T&E- bzw. 2PRN-Gruppe.
Das okulare und systemische Sicherheitsprofil in allen 3 Behandlungsgruppen war den Zulassungsstudien VIVID und VISTA ähnlich.
In der 2T&E-Gruppe lag die Verlängerung und Verkürzung der Injektionsintervalle im Ermessen des Prüfarztes; in der Studie wurden Verlängerungsschritte von 2 Wochen empfohlen.
Myope choroidale Neovaskularisation
Die Sicherheit und Wirksamkeit von Eylea wurden in einer randomisierten, multizentrischen, doppelmaskierten, Scheininjektions-kontrollierten Studie bei therapienaiven, asiatischen Patienten mit mCNV untersucht. Insgesamt waren 121 behandelte Patienten hinsichtlich der Wirksamkeit auswertbar (90 mit Eylea). Das Alter der Patienten reichte von 27 bis 83 Jahren, mit einem durchschnittlichen Alter von 58 Jahren. In der Studie zur mCNV waren ungefähr 36 % (33/91) der Patienten, die in die Eylea‑Behandlungsgruppe randomisiert wurden, 65 Jahre alt oder älter und ungefähr 10 % (9/91) waren 75 Jahre alt oder älter.
Die Patienten wurden in einem 3:1 Verhältnis randomisiert und entweder zu 2 mg Eylea intravitreal oder zu Scheininjektion, einmalig zu Studienbeginn angewendet, zugeordnet. Weitere monatliche Injektionen konnten, bei anhaltender Erkrankung oder Wiederauftreten, bis Woche 24 (Zeitpunkt der Überprüfung des primären Endpunktes) angewendet werden. Ab Woche 24 konnten Patienten, die zu Studienbeginn der Gruppe mit Scheininjektion zugeordnet wurden, die erste Eylea-Injektion erhalten. Danach konnten Patienten beider Gruppen, bei anhaltender Erkrankung oder Wiederauftreten, weitere Injektionen erhalten.
Der Unterschied zwischen den Behandlungsgruppen war statistisch signifikant zugunsten von Eylea für den primären Endpunkt (Veränderung der BCVA) und den konfirmatorischen sekundären Wirksamkeitsendpunkt (Anteil Patienten, deren BCVA sich um 15 Buchstaben verbesserte) in Woche 24 im Vergleich zum Ausgangswert. Die Unterschiede für beide Endpunkte wurden bis Woche 48 aufrechterhalten.
Ausführliche Ergebnisse der Analyse der MYRROR Studie sind in nachfolgender Tabelle 6 und Abbildung 5 zu finden.
Tabelle 6: Wirksamkeitsendpunkte in Woche 24 (Primäre Analyse) und Woche 48 (vollständiges Analyseset mit LOCFA)) in der MYRROR Studie
Wirksamkeitsendpunkt |
MYRROR |
|||
24 Wochen |
48 Wochen |
|||
Eylea 2 mg |
Scheininjektion |
Eylea 2 mg |
Scheininjektion/ |
|
Mittlere Veränderung der BCVAB), erhoben mittels ETDRS Sehtafeln im Vergleich zum Ausgangswert (SD) B) |
12,1 |
-2,0 |
13,5 |
3,9 |
Differenz im mittleren LS C, D, E) |
14,1 |
9,5 |
||
Anteil Patienten mit einem Gewinn von ≥ 15 Buchstaben im Vergleich zum Ausgangswert |
38,9 % |
9,7 % |
50,0 % |
29,0 % |
gewichtete Differenz D, F) |
29,2 % |
21,0 % |
||
A) LOCF: Last Observation Carried Forward
B) BCVA: Best Corrected Visual Acuity (Bestkorrigierte Sehschärfe)
ETDRS: Early Treatment Diabetic Retinopathy Study
SD: Standardabweichung
C) LS: Kleinstquadrat-Mittelwert abgeleitet aus ANCOVA
D) KI: Konfidenzintervall
E) LS Kleinstquadrat-Mittelwert und 95% KI basierend auf einem ANCOVA Model mit Behandlungsgruppe und Länder (Länderbezeichnungen) als feste Effekte und Ausgangswert BCVA Messung als Kovariate
F) Differenz und 95% KI sind mittels Cochran-Mantel-Hänszel (CMH) Test berechnet, adjustiert für Länder (Länderbezeichnungen)
Abbildung 5: Durchschnittliche Veränderung der Sehschärfe vom Ausgangswert zu Woche 48 nach Behandlungsgruppen für die MYRROR Studie (vollständiges Analyseset, LOCF)

Kinder und Jugendliche
Frühgeborenen-Retinopathie (ROP)
Die Wirksamkeit, Sicherheit und Verträglichkeit von Eylea 0,4 mg bei der Behandlung der ROP bei Frühgeborenen wurden auf Basis der 6‑Monats-Daten der multizentrischen, randomisierten, 2-armigen, offenen Parallelgruppenstudie FIREFLEYE bewertet. In dieser Studie wurde die intravitreale Injektion von Eylea 0,4 mg mit einer Laserphotokoagulations-Behandlung (Laser) verglichen. Geeignete Patienten hatten eine therapienaive ROP, die nach der International Classification for Retinopathy of Prematurity eingestuft wurde und in mindestens einem Auge einen der folgenden Netzhautbefunde aufwies:
ROP in Zone I, Stadium 1+, 2+, 3 oder 3+ oder
ROP in Zone II, Stadium 2+ oder 3+ oder
AP-ROP (aggressive posteriore ROP)
Geeignete Patienten hatten bei der Geburt ein Gestationsalter von höchstens 32 Wochen oder ein Geburtsgewicht von maximal 1.500 g. Am Behandlungstag betrug das Gewicht der Patienten ≥ 800 g.
Die Patienten wurden im Verhältnis 2:1 randomisiert und erhielten Eylea 0,4 mg intravitreal oder eine Laserbehandlung. Alle 113 zu Studienbeginn behandelten Patienten (Eylea 0,4 mg n = 75; Laser n = 38) wurden in der primären Wirksamkeitsanalyse ausgewertet.
Der Behandlungserfolg war definiert als Ausbleiben einer aktiven ROP und ungünstiger struktureller Auswirkungen in beiden Augen 24 Wochen nach Beginn der Studienbehandlung. Das Erfolgskriterium (Nicht-Unterlegenheit der Therapie mit Eylea 0,4 mg gegenüber der konventionellen Lasertherapie) wurde statistisch nicht erfüllt, obwohl der Behandlungserfolg mit Eylea 0,4 mg (85,5 %) im Vergleich zum Laser (82,1 %) nach 24 Wochen numerisch leicht erhöht war. Die verfügbaren Daten von Kleinkindern im Alter von 2 Jahren aus der FIREFLEYE NEXT-Extensionsstudie (54 Kleinkinder: 36 in der Eylea 0,4 mg Gruppe und 18 in der Lasergruppe) bestätigen jedoch tendenziell die Langzeitwirksamkeit von Eylea 0,4 mg.
Die Mehrzahl der Patienten, die mit Eylea 0,4 mg behandelt wurden, erhielt eine einzige Injektion pro Auge (78,7 %) und wurde auf beiden Augen gleichzeitig behandelt (94,7 %). Kein Patient erhielt mehr als 2 Injektionen pro Auge.
Tabelle 7: Ergebnisse in Woche 24 (FIREFLEYE)
Behandlungserfolg |
|||||
Behandlung |
Geschätzte Ansprechwahrscheinlichkeit1 |
90 %‑KI2 |
Vergleich |
Behandlungsunterschied1 |
90 %‑KI2, 3 |
Eylea 0,4 mg |
85,5 % |
(78,0 %, 91,3 %) |
Eylea 0,4 mg |
3,4 % |
(‑8 %, 16,2 %) |
Laser |
82,1 % |
(70,5 %, 90,8 %) |
|||
Ergebnisse basierend auf einer Bayes-Analyse mit nicht informativen A-priori-Verteilungen.
1 Median der posterioren Verteilung
2 KI: Konfidenzintervall
3 Erfolgskriterium: Untere Grenze des 90 %‑KI über ‑5 %
Während der 24 Wochen der Studie wechselte ein geringerer Anteil der Patienten aus der Eylea 0,4 mg-Behandlungsgruppe aufgrund fehlenden Ansprechens zu einem anderen Behandlungsmodus als in der Lasertherapie-Gruppe (10,7 % vs. 13,2 %). Ungünstige strukturelle Befunde wurden von einem ähnlichen Anteil der Patienten in der Eylea 0,4 mg-Behandlungsgruppe (6 Patienten, 8 %) im Vergleich zur Lasertherapie-Gruppe (3 Patienten, 7,9 %) berichtet.
Kinder und Jugendliche
Die Europäische Arzneimittel-Agentur hat für Eylea eine Freistellung von der Verpflichtung zur Vorlage von Ergebnissen zu Studien in allen pädiatrischen Altersklassen bei der feuchten AMD, des ZVV, des VAV, des DMÖ und der mCNV gewährt (siehe Abschnitt 4.2 bzgl. Informationen zur Anwendung bei Kindern und Jugendlichen). Zudem hat die Europäische Arzneimittel-Agentur für Eylea eine Freistellung von der Verpflichtung zur Vorlage von Ergebnissen zu Studien in den folgenden pädiatrischen Altersklassen für ROP gewährt: termingerechte Neugeborene, Säuglinge, Kinder und Jugendliche.
Eylea wird direkt in dem Glaskörper angewendet, um eine lokale Wirkung im Auge zu erreichen.
Resorption / Verteilung
Aflibercept unterliegt nach intravitrealer Anwendung einer langsamen systemischen Resorption aus dem Auge und wird im systemischen Kreislauf überwiegend als inaktiver, stabiler Komplex mit VEGF beobachtet; allerdings ist nur "freies Aflibercept" in der Lage, endogenes VEGF zu binden.
In einer pharmakokinetischen Teilstudie mit 6 Patienten mit neovaskulärer feuchter AMD, denen regelmäßig Blutproben entnommen wurden, waren die maximalen Plasmakonzentrationen des freien Aflibercept (systemische Cmax) innerhalb von 1 bis 3 Tagen nach einer intravitrealen Injektion von 2 mg mit einem mittleren Wert von ungefähr 0,02 Mikrogramm/ml (Bereich 0 bis 0,054) gering und zwei Wochen nach der Dosisgabe bei fast allen Patienten nicht mehr nachweisbar. Aflibercept reichert sich auch nach intravitrealer Anwendung alle 4 Wochen nicht im Plasma an.
Die mittlere maximale Plasmakonzentration von freiem Aflibercept liegt ungefähr 50- bis 500-mal unter der Aflibercept-Konzentration, die zur Hemmung der biologischen Aktivität des systemischen VEGF um 50 % in Tiermodellen nötig ist. In diesen wurden nach Erreichen systemischer Spiegel von freiem Aflibercept von ungefähr 10 Mikrogramm/ml Änderungen des Blutdrucks beobachtet, die sich normalisierten, wenn die Spiegel unter ungefähr 1 Mikrogramm/ml fielen. Es wird angenommen, dass nach einer intravitrealen Anwendung von 2 mg die mittlere maximale Plasmakonzentration von freiem Aflibercept bei Patienten mehr als 100-mal geringer ist als die Konzentration von Aflibercept, die nötig war, um systemisches VEGF (2,91 Mikrogramm/ml) in einer Studie mit gesunden Probanden halbmaximal zu binden. Daher sind systemische pharmakodynamische Wirkungen wie Änderungen des Blutdrucks unwahrscheinlich.
In den pharmakokinetischen Sub-Studien bei Patienten mit ZVV, VAV, DMÖ oder mCNV war die mittlere Cmax von freiem Aflibercept im Plasma vergleichbar mit Werten im Bereich von 0,03 bis 0,05 Mikrogramm/ml und individuelle Werte überschritten nicht 0,14 Mikrogramm/ml. Im Allgemeinen sanken danach die Plasmakonzentrationen von freiem Aflibercept innerhalb einer Woche auf Werte unterhalb oder nah an den unteren Bereichen der Bestimmungsgrenze. Nicht nachweisbare Konzentrationen wurden bei allen Patienten vor der nächsten Anwendung nach 4 Wochen erreicht.
Elimination
Da Eylea ein protein-basiertes Therapeutikum ist, wurden keine Studien zur Verstoffwechselung durchgeführt.
Freies Aflibercept bindet VEGF und formt so einen stabilen und inerten Komplex. Wie bei anderen großen Proteinen ist auch beim freien und gebundenen Aflibercept zu erwarten, dass es durch proteolytischen Abbau entfernt wird.
Nierenfunktionsstörung
Es wurden keine speziellen Studien mit Eylea bei Patienten mit Nierenfunktionsstörungen durchgeführt.
Pharmakokinetische Analysen von Patienten aus der VIEW2-Studie, von denen 40 % eine Nierenfunktionsstörung aufwiesen (24 % leicht, 15 % mittelschwer und 1 % schwer), zeigten keine Unterschiede hinsichtlich der Plasmakonzentrationen des Wirkstoffs nach intravitrealer Anwendung alle 4 oder 8 Wochen.
Ähnliche Ergebnisse wurden bei Patienten mit ZVV in der GALILEO-Studie, bei Patienten mit DMÖ in der VIVIDDME-Studie und bei Patienten mit mCNV in der MYRROR Studie beobachtet.
Kinder und Jugendliche
Die pharmakokinetischen Eigenschaften von Aflibercept wurden bei Frühgeborenen mit ROP in einer Dosis von 0,4 mg Aflibercept (pro Auge) untersucht. Nach intravitrealer Injektion waren die Konzentrationen von freiem und gebundenem Aflibercept höher als bei erwachsenen Patienten mit feuchter AMD nach Gabe von 2 mg (in ein Auge), aber niedriger als nach i.v.-Gabe der maximal verträglichen Dosis von 1 mg/kg bei erwachsenen Patienten. Die mittleren Konzentrationen von freiem Aflibercept sanken in Woche 4 nach der Gabe auf ungefähr 0,13 µg/ml ab. Die Plasmakonzentrationen von freiem Aflibercept sanken innerhalb von ungefähr 8 Wochen auf Werte unterhalb oder nah an den unteren Bereich der Bestimmungsgrenze ab. Die mittleren Konzentrationen vom angepassten gebundenen Aflibercept stiegen in Woche 4 auf bis zu 1,34 µg/ml an und nahmen danach ab.
Eine explorative pharmakokinetische/pharmakodynamische Analyse zeigte keinen Zusammenhang zwischen der systemischen Aflibercept-Konzentration und pharmakodynamischen Wirkungen wie z.B. Blutdruckänderungen.
Präklinische Effekte hinsichtlich der Toxizität bei wiederholter Gabe wurden nur nach systemischen Expositionen beobachtet, die wesentlich über der üblichen klinischen maximalen humantherapeutischen Exposition nach intravitrealer Anwendung lagen. Die Relevanz für die klinische Anwendung wird als gering bewertet.
Erosionen und Geschwürbildungen des respiratorischen Flimmerepithels der Nasenmuscheln wurden bei Affen beobachtet, die intravitreal mit Aflibercept behandelt wurden und einer systemischen Exposition ausgesetzt waren, die weit über der maximalen humanen Exposition lag. Beim No Observed Adverse Effect Level (NOAEL) von 0,5 mg/Auge war die systemische Exposition für freies Aflibercept, basierend auf Cmax und AUC, bei Affen um das 42- bzw. 56-Fache erhöht im Vergleich zu den entsprechenden Werten, die bei erwachsenen Patienten beobachtet wurden und um das 2-Fache erhöht, basierend auf Cmax, im Vergleich zu den entsprechenden Werten, die bei Frühgeborenen beobachtet wurden.
Es wurden keine Studien zum mutagenen oder kanzerogenen Potenzial von Aflibercept durchgeführt.
Es wurde ein Effekt von Aflibercept auf die intrauterine Entwicklung in Studien zur embryonalen und fetalen Entwicklung bei trächtigen Kaninchen, bei denen Aflibercept sowohl intravenös (3 bis 60 mg/kg) als auch subkutan (0,1 bis 1 mg/kg) angewendet wurde, gezeigt. Der mütterliche NOAEL war bei Dosen von 3 mg/kg bzw. 1 mg/kg. Ein entwicklungsbezogener NOAEL wurde nicht identifiziert. Bei der 0,1 mg/kg Dosis war im Vergleich zu den entsprechenden Werten, die beim Menschen nach einer intravitreal angewendeten Dosis von 2 mg beobachtet wurden, die systemische Exposition, die auf Cmax und kumulativer AUC des freien Aflibercept basierte, ungefähr 17- bzw. 10-mal höher.
Wirkungen auf die männliche und weibliche Fertilität wurden im Rahmen einer 6-monatigen Studie bei Affen, die Aflibercept intravenös in Dosen von 3 bis 30 mg/kg angewendet bekamen, untersucht. Bei allen Dosierungen wurden ausbleibende oder unregelmäßig auftretende Regelblutungen, die aufgrund der Änderungen der Spiegel weiblicher Fortpflanzungshormone auftraten, und Veränderungen der Morphologie und Motilität der Spermien beobachtet. Basierend auf Cmax und AUC des freien Aflibercept bei 3 mg/kg intravenös angewendeter Dosis waren die systemischen Expositionen ungefähr um das 4.900- bzw. 1.500-Fache höher als beim Menschen nach einer intravitreal angewendeten Dosis von 2 mg. Alle Änderungen waren reversibel.
Polysorbat 20 (E 432)
Natriumdihydrogenphosphat 1 H2O (zur Einstellung des pH-Wertes)
Dinatriumhydrogenphosphat 7 H2O (zur Einstellung des pH-Wertes)
Natriumchlorid
Sucrose
Wasser für Injektionszwecke
Da keine Kompatibilitätsstudien durchgeführt wurden, darf dieses Arzneimittel nicht mit anderen Arzneimitteln gemischt werden.
2 Jahre
Im Kühlschrank lagern (2 °C ‑ 8 °C).
Nicht einfrieren.
In der Originalverpackung aufbewahren, um den Inhalt vor Licht zu schützen.
Die ungeöffnete Blisterpackung darf außerhalb des Kühlschranks bis zu 24 Stunden unter 25 °C aufbewahrt werden. Nach dem Öffnen der Blisterpackung muss die weitere Handhabung unter aseptischen Bedingungen erfolgen.
Lösung in Fertigspritze (Typ I Glas), die mit einer Dosierungslinie markiert und einem Kolbenverschluss (aus elastischem Gummi) und einem Luer-Lock-Adapter mit Abdeckkappe (aus elastischem Gummi) versehen ist. Jede Fertigspritze enthält ein entnehmbares Volumen von mindestens 0,09 ml. Packungsgröße: 1 Fertigspritze.
Fertigspritze nur für einmaligen Gebrauch in einem Auge. Die Entnahme von mehr als einer Dosis aus der Fertigspritze kann das Risiko einer Kontamination und nachfolgender Infektion erhöhen.
Die sterile Blisterpackung der Fertigspritze nicht außerhalb des sauberen Behandlungsraums öffnen.
Nicht verwendetes Arzneimittel oder Abfallmaterial ist entsprechend den nationalen Anforderungen zu beseitigen.
Die Fertigspritze enthält mehr als die empfohlene Dosis von 2 mg Aflibercept (entsprechend 0,05 ml) für erwachsene Patienten und mehr als die empfohlene Dosis von 0,4 mg Aflibercept (entsprechend 0,01 ml) für Frühgeborene. Siehe die nachfolgenden Abschnitte „Anwendung bei Erwachsenen" und „Anwendung bei Kindern und Jugendlichen“.
Die Lösung sollte vor der Anwendung visuell auf Schwebstoffe und/oder Verfärbung oder jegliche Veränderung der äußeren Erscheinung überprüft werden und ist in diesem Falle zu verwerfen.
Für die intravitreale Injektion ist eine 30 G x 1/2 Zoll Injektionsnadel zu verwenden.
Anweisungen zur Anwendung der Fertigspritze:
Anwendung bei Kindern und Jugendlichen
Bei der Vorbereitung der Fertigspritze zur Anwendung bei Frühgeborenen sind die Schritte 1 und 2 unten und dann die Gebrauchsanweisung zu befolgen, die der Packung des pädiatrischen Dosiergeräts PICLEO beiliegt.
Anwendung bei Erwachsenen
Bei der Vorbereitung der Fertigspritze zur Anwendung bei Erwachsenen sind alle folgenden Schritte zu befolgen.
1. |
Erst vor der Anwendung von Eylea den Umkarton öffnen und die sterile Blisterpackung entnehmen. Die Blisterpackung vorsichtig öffnen, so dass der Inhalt weiterhin steril bleibt. Die Spritze bis zum weiteren Gebrauch in der sterilen Ablage liegen lassen. |
|
2. |
Unter sterilen Bedingungen die Spritze aus der sterilen Blisterpackung nehmen. |
|
3. |
Um die Kappe der Spritze zu entfernen, mit einer Hand die Spritze halten, während Daumen und Zeigefinger der anderen Hand die Kappe der Spritze festhalten. Hinweis: Die Kappe der Spritze muss abgeschraubt werden (nicht abbrechen). |
![]() |
4. |
Um die Sterilität des Arzneimittels nicht zu gefährden, darf der Spritzenkolben nicht herausgezogen werden. |
|
5. |
Unter sterilen Bedingungen die Injektionsnadel fest auf die Spitze des Luer-Lock-Adapters aufschrauben. |
![]() |
6. |
Die Spritze mit der Nadel nach oben halten und auf Bläschen hin prüfen. Wenn Bläschen zu sehen sind, leicht mit dem Finger gegen die Spritze klopfen, bis die Bläschen nach oben steigen. |
![]() |
7. |
Die überschüssige Menge muss vor der Anwendung verworfen werden. Um alle Bläschen und überschüssiges Arzneimittel zu entfernen, den Spritzenkolben langsam soweit eindrücken, bis die Grundfläche des kuppelförmigen Kolbens (nicht die Spitze der Kuppel) auf derselben Höhe ist wie die Dosierungslinie der Spritze (entsprechend 0,05 ml, d.h. 2 mg Aflibercept). Hinweis: Diese genaue Positionierung des Kolbens ist sehr wichtig, da eine fehlerhafte Positionierung des Kolbens zur Anwendung einer höheren oder geringeren als der empfohlenen Dosis führen kann. |
|
![]() |
![]() |
|
8. |
Injektion unter vorsichtigem Drücken des Kolbens und mit konstantem Druck. Es darf kein zusätzlicher Druck ausgeübt werden, sobald der Kolben den Boden der Spritze erreicht hat. Eine sichtbare Restlösung in der Spritze darf nicht angewendet werden. |
|
9. |
Fertigspritze nur für einmaligen Gebrauch. Die Entnahme von mehr als einer Dosis aus der Fertigspritze kann das Risiko einer Kontamination und nachfolgender Infektion erhöhen. Nicht verwendetes Arzneimittel oder Abfallmaterial ist entsprechend den nationalen Anforderungen zu beseitigen. |
|
Bayer AG
51368 Leverkusen
Deutschland
EU/1/12/797/001
Datum der Erteilung der Zulassung: 22. November 2012
Datum der letzten Verlängerung der Zulassung: 13. Juli 2017
Dezember 2024
Ausführliche Informationen zu diesem Arzneimittel sind auf den Internetseiten der Europäischen Arzneimittel-Agentur https://www.ema.europa.eu verfügbar.
VERKAUFSABGRENZUNG IN DEUTSCHLAND
Verschreibungspflichtig
REZEPTPFLICHT/APOTHEKENPFLICHT IN ÖSTERREICH
Rezept- und apothekenpflichtig, wiederholte Abgabe verboten
Bayer Vital GmbH
51368 Leverkusen
Tel.: +49 (0)214-30 513 48
Fax: +49 (0)214-2605 516 03
E-Mail: medical-information@bayer.com
KONTAKTADRESSE IN ÖSTERREICH
Bayer Austria Ges.m.b.H.
Tel: +43-(0)1-711 46-0
DE/11